Submitted:
05 August 2024
Posted:
07 August 2024
You are already at the latest version
Abstract
Keywords:
1. Introduction
2. Materials and Methods
2.1. Study Design
2.2. Patients
2.3. Dietary Advice
2.4. Questionnaires
2.4.1. Study Questionnaire
2.4.2. Rome IV Questionnaire
2.4.3. Irritable Bowel Syndrome-Severity Scoring System
2.4.4. Visual Analog Scale for Irritable Bowel Syndrome
2.5. Statistical Analyses
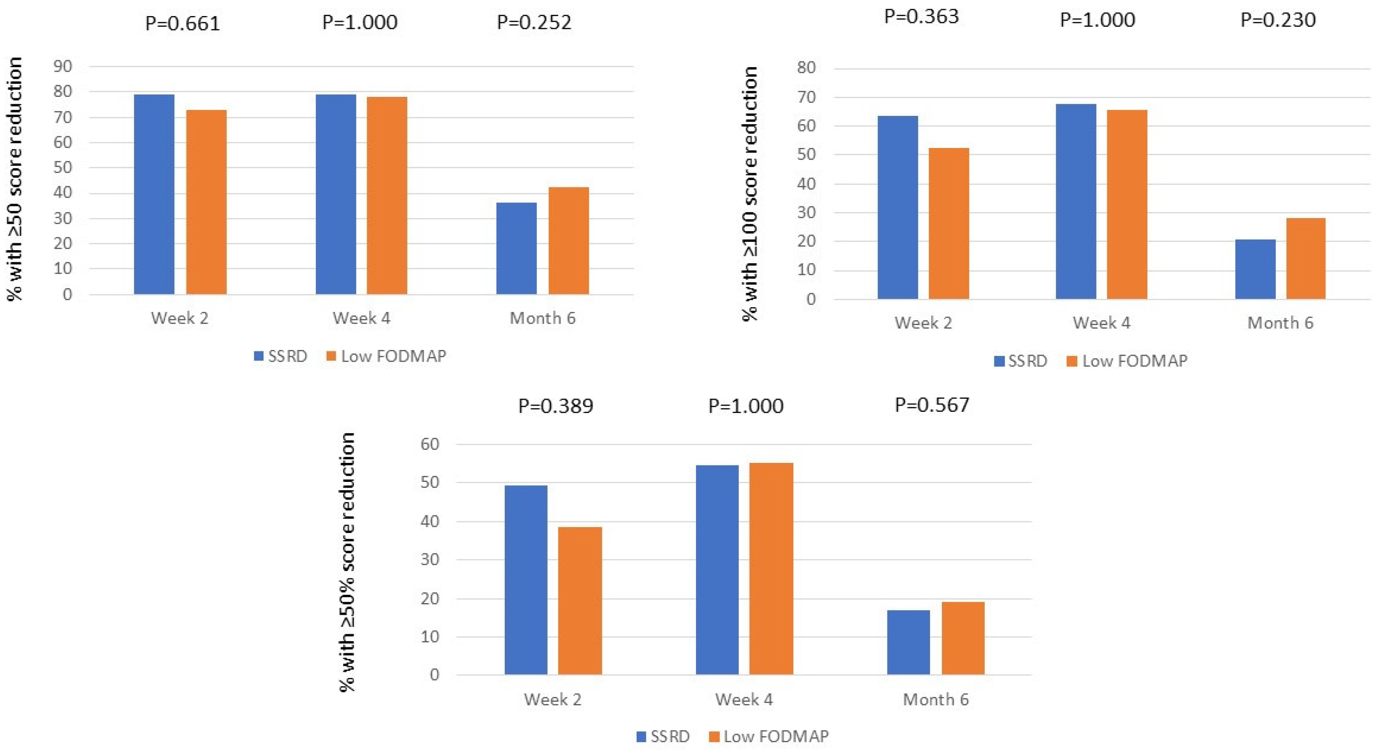
3. Results
3.1. Basal Characteristics
3.2. Gastrointestinal and Extraintestinal Symptoms
3.3. Anthropometric Data
3.4. Follow-Up
4. Discussion
Supplementary Materials
Author Contributions
Funding
Institutional Review Board Statement
Informed Consent Statement
Data Availability Statement
Acknowledgments
Conflicts of Interest
References
- Lacy, B.E.; Mearin, F.; Chang, L.; Chey, W.D.; Lembo, A.J.; Simren, M.; et al. Bowel disorders. Gastroenterology. 2016, 150, 1393–1407. [Google Scholar] [CrossRef]
- Sperber, A.D.; Bangdiwala, S.I.; Drossman, D.A.; Ghoshal, U.C.; Simren, M.; Tack, J.; Whitehead, W.E.; et al. Worldwide prevalence and burden of functional gastrointestinal disorders, results of Rome foundation global study. Gastroenterology. 2021, 160, 99–114. [Google Scholar] [CrossRef]
- Hayes, P.A.; Fraher, M.H.; Quigley, E.M. Irritable bowel syndrome: the role of food in pathogenesis and management. Gastroenterol. Hepatol. 2014, 10, 164–74. [Google Scholar]
- Algera, J.; Colomier, E.; Simrén, M. The Dietary Management of Patients with Irritable Bowel Syndrome: A Narrative Review of the Existing and Emerging Evidence. Nutrients. 2019, 11, 2162. [Google Scholar] [CrossRef]
- Mitchell, H.; Porter, J.; Gibson, P.R.; Barrett, J.; Garg, M. Review article: implementation of a diet low in FODMAPs for patients with irritable bowel syndrome-directions for future research. Aliment Pharmacol Ther. 2019, 49, 124–139. [Google Scholar] [CrossRef]
- Henström, M.; Diekmann, L.; Bonfiglio, F.; Hadizadeh, F.; Kuech, E.M.; von Köckritz-Blickwede, M.; Thingholm, L.B.; Zheng, T.; Assadi, G.; Dierks, C.; Heine, M.; Philipp, U.; Distl, O.; Money, M.E.; Belheouane, M.; Heinsen, F.A.; Rafter, J.; Nardone, G.; Cuomo, R.; Usai-Satta, P.; Galeazzi, F.; Neri, M.; Walter, S.; Simrén, M.; Karling, P.; Ohlsson, B.; Schmidt, P.T.; Lindberg, G.; Dlugosz, A.; Agreus, L.; Andreasson, A.; Mayer, E.; Baines, J.F.; Engstrand, L.; Portincasa, P.; Bellini, M.; Stanghellini, V.; Barbara, G.; Chang, L.; Camilleri, M.; Franke, A.; Naim, H.Y.; D'Amato, M. Functional variants in the sucrase-isomaltase gene associate with increased risk of irritable bowel syndrome. Gut. 2018, 67, 263–270. [Google Scholar] [CrossRef]
- Garcia-Etxebarria, K.; Zheng, T.; Bonfiglio, F.; Bujanda, L.; Dlugosz, A.; Lindberg, G.; Schmidt, P.T.; Karling, P.; Ohlsson, B.; Simren, M.; Walter, S.; Nardone, G.; Cuomo, R.; Usai-Satta, P.; Galeazzi, F.; Neri, M.; Portincasa, P.; Bellini, M.; Barbara, G.; Jonkers, D.; Eswaran, S.; Chey, W.D.; Kashyap, P.; Chang, L.; Mayer, E.A.; Wouters, M.M.; Boeckxstaens, G.; Camilleri, M.; Franke, A.; D'Amato, M. Increased Prevalence of Rare Sucrase-isomaltase Pathogenic Variants in Irritable Bowel Syndrome Patients. Clin Gastroenterol Hepatol. 2018, 16, 1673–1676. [Google Scholar] [CrossRef]
- Nilholm, C.; Roth, B.; Ohlsson, B. A Dietary Intervention with Reduction of Starch and Sucrose Leads to Reduced Gastrointestinal and Extra-Intestinal Symptoms in IBS Patients. Nutrients. 2019, 11, 1662. [Google Scholar] [CrossRef]
- Gayoso, L.; Garcia-Etxebarria, K.; Arzallus, T.; Montalvo, I.; Lizasoain, J.; D’Amato, M.; et al. The effect of starch- and sucrose-reduced diet accompanied by nutritional and culinary recommendations on the symptoms of irritable bowel syndrome patients with diarrhoea. Ther Adv Gastroenterol. 2023, 16, 175628482311566. [Google Scholar] [CrossRef]
- Nilholm, C.; Larsson, E.; Sonestedt, E.; Roth, B.; Ohlsson, B. Assessment of a 4-Week Starch- and Sucrose-Reduced Diet and Its Effects on Gastrointestinal Symptoms and Inflammatory Parameters among Patients with Irritable Bowel Syndrome. Nutrients. 2021, 13, 416. [Google Scholar] [CrossRef]
- Roth, B.; Ohlsson, B. Challenges of recruitment processes to a randomized dietary trial in irritable bowel syndrome. F1000Res. 2024, 13, 323. [Google Scholar] [CrossRef]
- Palsson, O.S.; Whitehead, W.E.; Van Tilburg, M.A.L.; Chang, L.; Chey, W.; Crowell, M.D.; et al. Development and validation of the Rome IV diagnostic questionnaire for adults. Gastroenterology. 2016, 150, 1481–1491. [Google Scholar] [CrossRef]
- Francis, C.Y.; Morris, J.; Whorwell, P.J. The irritable bowel severity scoring system: a simple method of monitoring irritable bowel syndrome and its progress. Aliment Pharmacol Ther. 1997, 11, 395–402. [Google Scholar] [CrossRef]
- Bengtsson, M.; Ohlsson, B.; Ulander, K. Development and psychometric testing of the Visual Analogue Scale for Irritable Bowel Syndrome (VAS-IBS). BMC Gastroenterol. 2007, 7, 16. [Google Scholar] [CrossRef]
- Laboratoriemedicin. Available online: http://www.analysportalen-labmedicin.skane.se [cited 2021-04-12].
- Whelan, K.; Martin, L.D.; Staudacher, H.M.; Lomer, M.C.E. The low FODMAP diet in the management of irritable bowel syndrome: an evidence-based review of FODMAP restriction, reintroduction and personalisation in clinical practice. J Hum Nutr Diet. 2018, 31, 239–255. [Google Scholar] [CrossRef]
- Staudacher, H.M.; Ralph, F.S.E.; Irving, P.M.; Whelan, K.; Lomer, M.C.E. Nutrient intake, diet quality, and diet diversity in irritable bowel syndrome and the impact of the low FODMAP diet. J Acad Nutr Diet. 2020, 120, 535–547. [Google Scholar]
- Staudacher, H.M.; Rossi, M.; Kaminski, T.; Dimidi, E.; Ralph, F.S.E.; Wilson, B.; Martin, L.D.; Louis, P.; Lomer, M.C.E.; Irving, P.M.; Whelan, K. Long-term personalized low FODMAP diet improves symptoms and maintains luminal Bifidobacteria abundance in irritable bowel syndrome. Neurogastroenterol Motil. 2022, 34, e14241. [Google Scholar]
- www. livsmedelsverket.se. Downloaded 0304 2024.
- Perry, L.; Morgan, J.; Reid, F.; Brunton, J.; O'Brien, A.; Luck, A.; Lacey, H. Screening for symptoms of eating disorders: reliability of the SCOFF screening tool with written compared to oral delivery. Int J Eat Disord. 2002, 32, 466–472. [Google Scholar] [CrossRef]
- Bengtsson, M.; Ohlsson, B. The brief Visual Analogue Scale for Irritable Bowel Syndrome questionnaire can be used to evaluate psychological well-being in patients with irritable bowel syndrome. Eur J Intern Med. 2013, 24, e82-3. [Google Scholar] [CrossRef]
- Bengtsson, M.; Persson, J.; Sjölund, K.; Ohlsson, B. Further validation of the visual analogue scale for irritable bowel syndrome after use in clinical practice. Gastroenterology nursing 2013, 36, 188–198. [Google Scholar] [CrossRef]
- Algera, J.P.; Demir, D.; Törnblom, H.; Nybacka, S.; Simrén, M.; Störsrud, S. Low FODMAP diet reduces gastrointestinal symptoms in irritable bowel syndrome and clinical response could be predicted by symptom severity: A randomized crossover trial. Clin Nutr. 2022, 41, 2792–2800. [Google Scholar] [CrossRef]
- Pereyra, F.; Bustos Fernández, L.M.; Schlottmann, F.; Zamora, R.; Marconi, A.; Steinberg, L.; Pereyra, L. Prevalence of extra-intestinal symptoms according to irritable bowel syndrome subtype. Neurogastroenterol Motil. 2024, 36, e14796. [Google Scholar] [CrossRef] [PubMed]
- Nilholm, C.; Larsson, E.; Roth, B.; Gustafsson, R.; Ohlsson, B. Irregular Dietary Habits with a High Intake of Cereals and Sweets Are Associated with More Severe Gastrointestinal Symptoms in IBS Patients. Nutrients. 2019, 11. [Google Scholar] [CrossRef]
- Torices, L.; Zamfir-Taranu, A.; Esteban-Blanco, C.; Bozzarelli, I.; Bonfiglio, F.; D'Amato, M. Human CAZyme genes polymorphism and risk of IBS: a population-based study. Gut, 2024; gutjnl-2024-333056. [Google Scholar]
- Ng, Q.X.; Yau, C.E.; Yaow, C.Y.L.; Chong, R.I.H.; Chong, N.Z.; Teoh, S.E.; Lim, Y.L.; Soh, A.Y.S.; Ng, W.K.; Thumboo, J. What Has Longitudinal 'Omics' Studies Taught Us about Irritable Bowel Syndrome? A Systematic Review. Metabolites. 2023, 13, 484. [Google Scholar] [CrossRef]
- Saidi, K.; Nilholm, C.; Roth, B.; Ohlsson, B. A carbohydrate-restricted diet for patients with irritable bowel syndrome lowers serum C-peptide, insulin, and leptin without any correlation with symptom reduction. Nutr Res. 2021, 86, 23–36. [Google Scholar] [CrossRef]
- El-Salhy, M.; Gundersen, D. Diet in irritable bowel syndrome. Nutr J. 2015, 14, 36. [Google Scholar] [CrossRef]
- Bek, S.; Teo, Y.N.; Tan, X.H.; Fan, K.H.R.; Siah, K.T.H. Association between irritable bowel syndrome and micronutrients: A systematic review. J Gastroenterol Hepatol. 2022, 37, 1485–1497. [Google Scholar] [CrossRef]
- Luger, M.; Lafontan, M.; Bes-Rastrollo, M.; Winzer, E.; Yumuk, V.; Farpour-Lambert, N. Sugar-Sweetened Beverages and Weight Gain in Children and Adults: A Systematic Review from 2013 to 2015 and a Comparison with Previous Studies. Obes Facts. 2017, 10, 674–693. [Google Scholar] [CrossRef] [PubMed]
- Garcia, M.M.; Corrales, P.; Huerta, M.Á.; Czachorowski, M.J.; López-Miranda, V.; Medina-Gómez, G.; Cobos, E.J.; Goicoechea, C.; Molina-Álvarez, M. Adults with excess weight or obesity, but not with overweight, report greater pain intensities than individuals with normal weight: a systematic review and meta-analysis. Front Endocrinol (Lausanne). 2024, 15, 1340465. [Google Scholar] [PubMed]
- Shi, X.; Deng, G.; Wen, H.; Lin, A.; Wang, H.; Zhu, L.; Mou, W.; Liu, Z.; Li, X.; Zhang, J.; Cheng, Q.; Luo, P. Role of body mass index and weight change in the risk of cancer: A systematic review and meta-analysis of 66 cohort studies. J Glob Health. 2024, 14, 04067. [Google Scholar] [CrossRef] [PubMed]
- Huang, C.; Liang, Z.; Ma, J.; Hu, D.; Yao, F.; Qin, P. Total sugar, added sugar, fructose, and sucrose intake and all-cause, cardiovascular, and cancer mortality: A systematic review and dose-response meta-analysis of prospective cohort studies. Nutrition. 2023, 111, 112032. [Google Scholar] [CrossRef] [PubMed]
- Zia, J.K.; Lenhart, A.; Yang, P.L.; Heitkemper, M.M.; Baker, J.; et al. Risk factors for abdominal pain-related disorders of gut-brain interaction in adults and children: A systematic review. Gastroenterology. 2022, 163, 995–1023. [Google Scholar] [CrossRef] [PubMed]
- Guo, Y.; Niu, K.; Momma, H.; Kobayashi, Y.; Chujo, M.; Otomo, A.; Fukudo, S.; Nagatomi, R. Irritable bowel syndrome is positively related to metabolic syndrome: A population-based cross-sectional study. PLOS One. 2014, 9, e112289. [Google Scholar] [CrossRef] [PubMed]
- Sultan, N.; Foyster, M.; Tonkovic, M.; Noon, D.; Burton-Murray, H.; Biesiekierski, J.R.; Tuck, C.J. Presence and characteristics of disordered eating and orthorexia in irritable bowel syndrome. Neurogastroenterol Motil. 2024, e14797. [Google Scholar] [CrossRef] [PubMed]
- Whelan, K.; Staudacher, H. Low FODMAP diet in irritable bowel syndrome: a review of recent clinical trials and meta-analyses. Curr Opin Clin Nutr Metab Care. 2022, 25, 341–347. [Google Scholar] [CrossRef]
- Staudacher, H.M.; Mahoney, S.; Canale, K.; Opie, R.S.; Loughman, A.; So, D.; Beswick, L.; Hair, C.; Jacka, F.N. Clinical trial: A Mediterranean diet is feasible and improves gastrointestinal and psychological symptoms in irritable bowel syndrome. Aliment Pharmacol Ther. 2024, 59, 492–503. [Google Scholar] [CrossRef]


| Parameters | SSRD N = 77 |
Low FODMAP N = 78 |
P-value |
|---|---|---|---|
| Age (year) | 41.0 (29.5-53.0) | 43.0 (33.8-56.0) | 0.227 |
| Gender (male/female) (n,%) | 15 (19.5)/62 (80.5) | 10 (12.8)/68 (87.2) | 0.283 |
| Weight (kg) | 71.5 (63.6-82.8) | 68.6 (63.0-83.4) | 0.389 |
| BMI (kg/m2) | 25.1 (22.6-28.4) | 24.7 (22.1-27.6) | 0.479 |
| Disease duration (year) | 16 (7-27) | 20 (10-30) | 0.261 |
| Education (n,%) | 0.585 | ||
| Primary school | 5 (6.5) | 2 (2.6) | |
| Secondary school | 10 (13.0) | 13 (16.7) | |
| Education after secondary school | 20 (26.0) | 17 (21.8) | |
| Examination at university | 42 (54.5) | 46 (59.0) | |
| Occupation (n,%) | 0.963 | ||
| Working full time | 48 (62.3) | 46 (59.0) | |
| Working 99-51% | 6 (7.8) | 9 (11.5) | |
| Working 50% | 1 (1.3) | 1 (1.3) | |
| Studying | 10 (13.0) | 10 (12.8) | |
| Sick leave | 3 (3.9) | 2 (2.6) | |
| Unemployment | 3 (3.9) | 2 (2.6) | |
| Retirement | 6 (7.8) | 8 (10.3) | |
| Marital status (n,%) | 0.837 | ||
| Living alone | 16 (20.8) | 14 (17.9) | |
| Living together | 55 (71.4) | 56 (71.8) | |
| Other | 6 (7.8) | 8 (10.3) | |
| Smoking (n,%) | 0.086 | ||
| Never | 42 (54.5) | 43 (55.1) | |
| Former | 26 (33.8) | 28 (35.9) | |
| Present un regular | 2 (2.6) | 6 (7.7) | |
| Present regular | 7 (9.1) | 1 (1.3) | |
|
Alcohol intake for 1 week (standard glass) (n,%) Missing |
1 | 1.000 | |
| < 1 | 34 (44.2) | 33 (42.3) | |
| 1-4 | 28 (36.4) | 29 (37.2) | |
| 5-9 | 13 (16.9) | 13 (16.7) | |
| 10-14 | 1 (1.3) | 2 (2.6) | |
| ≥15 | 1 (1.3) | 0 | |
|
Physical activity for 1 week (n,%) Missing |
1 | 0.475 | |
| No time | 10 (13.0) | 8 (10.4) | |
| <30 min | 11 (14.3) | 14 (18.2) | |
| 30-60 min | 16 (20.8) | 14 (18.2 | |
| 60-90 min | 8 (10.4) | 16 (20.8) | |
| 90-120 min | 8 (10.4) | 8 (10.4) | |
| >120 min | 24 (31.2) | 17 (22.1) |
| SSRD N = 77 |
Low FODMAP N = 78 |
P-value* | |||||
|---|---|---|---|---|---|---|---|
| VAS-IBS (mm) | Value | P-value | Difference | Value | P-value | Difference | |
| Abdominal pain 5 (1–13) | |||||||
| Baseline | 47(28-64) | - | - | 50(32-65) | - | - | 0.368 |
| 2 weeks | 17(8-30) | <0.001 | -27(-47-(-9)) | 22(13-40) | <0.001 | -19(-36-(-3)) | 0.252 |
| 4 weeks | 16(0-31) | <0.001 | -24(-44-(-9)) | 13(0-27) | <0.001 | -30(-53-(-8)) | 0.425 |
| 6 months | 32(19-63) | 0.003 | -6(-28-3) | 30(16-54) | <0.001 | -16(-38-4) | 0.270 |
| Diarrhea 3 (0–10) | |||||||
| Baseline | 53(19-73) | - | - | 37(4-74) | - | - | 0.245 |
| 2 weeks | 15(4-48) | <0.001 | -14(-51-0) | 10(0-37) | <0.001 | -14(-38-0) | 0.793 |
| 4 weeks | 17(3-39) | <0.001 | -8(-48-2) | 8(0-24) | <0.001 | -16(-53-0) | 0.633 |
| 6 months | 31(8-68) | <0.001 | -12(-39-0) | 11(3-44) | 0.008 | -8(-30-7) | 0.457 |
| Constipation 6 (2–16) | |||||||
| Baseline | 53(6-72) | - | - | 54(10-76) | - | - | 0.439 |
| 2 weeks | 16(2-50) | <0.001 | -12(-36-2) | 20(0-68) | 0.02 | -6(-28-4) | 0.510 |
| 4 weeks | 16(2-43) | <0.001 | -8(-46-0) | 21(0-55) | <0.001 | -13(-33-0) | 0.815 |
| 6 months | 22(0-61) | 0.121 | -3(-24-12) | 42(2-70) | 0.022 | -4(-32-3) | 0.528 |
|
Bloating and flatulence 10 (2–23) |
|||||||
| Baseline | 73(58-88) | - | - | 73(54-86) | - | - | 0.677 |
| 2 weeks | 34(18-53) | <0.001 | -37(-53-(-9)) | 23(13-50) | <0.001 | -39(-56-(-16)) | 0.469 |
| 4 weeks | 24(10-54) | <0.001 | -43(-63-(-11) | 19(8-50) | <0.001 | -44(-61-(-25)) | 0.359 |
| 6 months | 62(30-75) | 0.002 | -15(-38-14) | 56(33-70) | <0.001 | -18(-33-(-3)) | 0.416 |
|
Vomiting and nausea 2 (0–4) |
|||||||
| Baseline | 13(2-34) | - | - | 13(1-36) | - | - | 0.957 |
| 2 weeks | 6(0-12) | <0.001 | -7(-20-0) | 4(0-12) | <0.001 | -7(-22-0) | 0.773 |
| 4 weeks | 3(0-12) | <0.001 | -6(-15-0) | 0(0-11) | <0.001 | -7(-21-0) | 0.743 |
| 6 months | 8(1-21) | 0.002 | -4(-14-1) | 5(0-21) | 0.009 | -2(-17-1) | 0.892 |
|
Intestinal symptom´s influence on daily life 2 (0–14) |
|||||||
| Baseline | 74(57-84) | - | - | 70(54-84) | - | - | 0.694 |
| 2 weeks | 29(15-60) | <0.001 | -36(-52-(-11)) | 30(17-60) | <0.001 | -28(-50-(-15)) | 0.688 |
| 4 weeks | 24(12-62) | <0.001 | -30(-60-(-10)) | 22(10-50) | <0.001 | -33(-53-(-18)) | 0.593 |
| 6 months | 40(23-76) | <0.001 | -12(-45-0) | 48(24-68) | <0.001 | -26(-43-(-2)) | 0.492 |
|
Psychological well-being 5 (2–15) |
|||||||
| Baseline | 39(15-65) | - | - | 45(16-59) | - | - | 0.708 |
| 2 weeks | 24(11-42) | <0.001 | -7(-26-0) | 27(8-46) | 0.021 | -4(-25-5) | 0.339 |
| 4 weeks | 20(5-32) | <0.001 | -12(-29-(-2) | 18(2-34) | <0.001 | -13(-32-1) | 0.788 |
| 6 months | 22(11-50) | 0.009 | -6(-20-4) | 26(8-39) | 0.043 | -2(-30-7) | 0.911 |
| IBS-SSS | |||||||
| Total IBS-SSS | |||||||
| Baseline | 301(233-348) | - | - | 300(238-360) | - | - | 0.845 |
| 2 weeks | 136(87-223) | <0.001 | -138(-212-(-82)) | 151(100-232) | <0.001 | -110(-188-(-68)) | 0.310 |
| 4 weeks | 119(66-230) | <0.001 | -146(-240-(-88)) | 116(63-176) | <0.001 | -153(-231-(-90)) | 0.585 |
| 6 months | 204(146-234) | <0.001 | -55(-130-4) | 220(144-301) | <0.001 | -93(-181-(-20)) | 0.069 |
| SSRD | P-value* | Low FODMAP | P-value* | P-value** | |
|---|---|---|---|---|---|
| Baseline | N=77 | N=78 | 0.078 | ||
| IBS-C | 14 (18.2) | 12 (15.4) | |||
| IBS-D | 29 (37.7) | 15 (19.2) | |||
| IBS-M | 22 (28.6) | 32 (41.0) | |||
| IBS-U | 2 (2.6) | 5 (6.4) | |||
| FBD | 10 (13.0) | 14 (17.9) | |||
| Week 4 | 0.621 | ||||
| IBS-C | 8 (10.4) | 10 (12.8) | |||
| IBS-D | 8 (10.4) | 7 (9.0) | |||
| IBS-M | 14 (18.2) | 9 (11.5) | |||
| IBS-U | 0 | 2 (2.6) | |||
| FBD | 23 (29.9) | 25 (32.1) | |||
| Healthy | 19 (24.7) | 19 (24.4) | |||
| Missing | 5 (6.5) | <0.001 | 6 (7.7) | <0.001 | |
| Month 6 | 0.198 | ||||
| IBS-C | 6 (7.8) | 11 (14.1) | |||
| IBS-D | 8 (10.4) | 6 (7.7) | |||
| IBS-M | 12 (15.6) | 9 (11.5) | |||
| IBS-U | 1 (1.3) | 3 (3.8) | |||
| FBD | 23 (29.9) | 13 (16.7) | |||
| Healthy | 3 (3.9) | 7 (9.0) | |||
| Missing | 24 (31.2) | <0.001 | 29 (37.2) | 0.046 |
| SSRD N = 77 |
Low FODMAP N = 78 |
P-value* | |||||
|---|---|---|---|---|---|---|---|
| Extraintestinal IBS-SSS | Value | P-value | Difference | Value | P-value | Difference | |
| Difficulties to eat a whole meal | |||||||
| Baseline | 10(2-26) | - | - | 6(0-22) | - | - | 0.267 |
| 2 weeks | 4(0-12) | 0.002 | -3(-13-3) | 3(0-13) | 0.005 | -2(-11-0) | 0.951 |
| 4 weeks | 2(0-13) | <0.001 | -4(-16-1) | 0(0-9) | <0.001 | -3(-12-0) | 0.629 |
| 6 months | 4(0-14) | 0.074 | -2(-13-4) | 2(0-18) | 0.053 | -1(-10-0) | 0.940 |
| Headache | |||||||
| Baseline | 33(10-66) | - | - | 27(9-58) | - | - | 0.737 |
| 2 weeks | 14(5-36) | <0.001 | -5(-30-2) | 15(2-47) | <0.001 | -6(-22-0) | 0.993 |
| 4 weeks | 14(2-32) | <0.001 | -9(-27-2) | 12(0-35) | <0.001 | -9(-31-0) | 0.855 |
| 6 months | 24(10-55) | 0.185 | -1(-21-8) | 20(4-50) | 0.001 | -4(-21-2) | 0.324 |
| Back pain | |||||||
| Baseline | 20(4-50) | - | - | 28(4-65) | - | - | 0.395 |
| 2 weeks | 6(0-29) | <0.001 | -6(-21-0) | 14(0-39) | <0.001 | -2(-26-2) | 0.409 |
| 4 weeks | 6(0-30) | <0.001 | -7(-22-0) | 4(0-35) | <0.001 | -7(-32-0) | 0.998 |
| 6 months | 23(4-58) | 0.157 | -4(-18-8) | 24(4-70) | 0.675 | 0(-14-12) | 0.501 |
| Fatigue | |||||||
| Baseline | 57(30-81) | - | - | 74(48-84) | - | - | 0.055 |
| 2 weeks | 33(16-68) | <0.001 | -14(-27-0) | 47(19-70) | <0.001 | -12(-32-0) | 0.660 |
| 4 weeks | 27(9-56) | <0.001 | -18 (-32-(-2)) | 37(14-60) | <0.001 | -19(-38-(-3)) | 0.712 |
| 6 months | 49(18-68) | 0.004 | -7(-20-4) | 48(19-69) | <0.001 | -13(-27-0) | 0.128 |
| Belching/excess wind | |||||||
| Baseline | 72(48-85) | - | - | 75(52-87) | - | - | 0.621 |
| 2 weeks | 24(10-66) | <0.001 | -21(-51-(-6)) | 37(14-66) | <0.001 | -23(-44-(-6)) | 0.804 |
| 4 weeks | 14(6-40) | <0.001 | -41(-67-(-6)) | 21(8-45) | <0.001 | -41(-59-(-19)) | 0.878 |
| 6 months | 47(20-68) | <0.001 | -13(-33-(-2)) | 48(22-70) | <0.001 | -15(-37-(-2)) | 0.599 |
| Reflux | |||||||
| Baseline | 20(7-50) | - | - | 20(2-60) | - | - | 0.678 |
| 2 weeks | 5(0-18) | <0.001 | -12(-27-0) | 7(0-35) | <0.001 | -6(-30-0) | 0.274 |
| 4 weeks | 4(0-20) | <0.001 | -12(-28-0) | 3(0-26) | <0.001 | -10(-30-0) | 0.945 |
| 6 months | 11(4-26) | 0.002 | -6(-20-2) | 21(2-54) | 0.013 | -3(-18-2) | 0.727 |
| Urinary urgency | |||||||
| Baseline | 14(2-64) | - | - | 22(4-64) | - | - | 0.491 |
| 2 weeks | 7(0-24) | <0.001 | -7(-24-0) | 7(0-33) | <0.001 | -8(-29-0) | 0.598 |
| 4 weeks | 4(0-23) | <0.001 | -6(-34-0) | 3(0-22) | <0.001 | -13(-44-0) | 0.290 |
| 6 months | 18(0-44) | 0.003 | -7(-22-1) | 16(0-53) | 0.003 | -7(-19-0) | 0.975 |
| Leg pain | |||||||
| Baseline | 2(0-9) | - | - | 0(0-18) | - | - | 0.995 |
| 2 weeks | 1(0-15) | 0.281 | 0(-4-2) | 0(0-10) | 0.036 | 0(-3-0) | 0.776 |
| 4 weeks | 0(0-7) | 0.024 | 0(-4-0) | 0(0-5) | 0.005 | 0(-4-0) | 0.564 |
| 6 months | 2(0-12) | 0.774 | 0(-2-2) | 0(0-14) | 0.573 | 0(-2-2) | 0.682 |
| Muscle/joint pain | |||||||
| Baseline | 25(5-56) | - | - | 30(4-72) | - | - | 0.506 |
| 2 weeks | 11(0-46) | 0.002 | -5(-20-1) | 18(0-57) | 0.014 | -1(-20-4) | 0.616 |
| 4 weeks | 13(0-30) | <0.001 | -10(-27-0) | 12(0-39) | <0.001 | -3(-35-1) | 0.699 |
| 6 months | 23(5-53) | 0.032 | -3(-17-4) | 19(4-70) | 0.084 | -2(-18-7) | 0.755 |
| Total extraintestinal IBS-SSS | |||||||
| Baseline | 160(110-208) | - | - | 172(120-242) | - | - | 0.268 |
| 2 weeks | 96(50-154) | <0.001 | -60(-89-(-20)) | 115(55-156) | <0.001 | -54(-82-(-30)) | 0.852 |
| 4 weeks | 91(28-140) | <0.001 | -72(-112-(-41)) | 77(44-136) | <0.001 | -83(-118-(-44)) | 0.408 |
| 6 months | 127(71-191) | <0.001 | -44(-75-2) | 133(78-214) | <0.001 | -36(-59-(-10)) | 0.977 |
| SSRD N = 77 |
Low FODMAP N = 78 |
P-value* | |||||
|---|---|---|---|---|---|---|---|
| Variables | Value | P-value | Difference | Value | P-value | Difference | |
| Weight (kg) | |||||||
| Baseline | 71.5(63.6-82.8) | - | - | 68.6(63-83.4) | - | - | 0.513 |
| 4 weeks | 70(63.2-81) | <0.001 | -1.6(-2.4-(-0.4)) | 67.8(62.5-82.7) | <0.001 | -0.8(-1.6-(-0.1)) | 0.006 |
| 6 months | 74.1(66.6-85.7) | 0.516 | -0.2(-1.4-1.2) | 68.6(62.8-80.8) | 0.079 | -0.3(-1.6-0.6) | 0.438 |
| BMI (kg/m2) | |||||||
| Baseline | 25.14(22.64-28.45) | - | - | 24.68(22.13-27.64) | - | - | 0.538 |
| 4 weeks | 24.8(21.97-27.6) | <0.001 | -0.55(-0.86-(-0.15)) | 24.63(22-27.32) | <0.001 | -0.26(-0.56-(-0.03)) | 0.005 |
| 6 months | 25.95(22.66-28.57) | 0.504 | -0.07(-0.53-0.44) | 25.08(22.05-26.76) | 0.089 | -0.11(-0.54-0.23) | 0.526 |
| Waist circumference (cm) | |||||||
| Baseline | 88(76-97) | - | - | 86(79-94.8) | - | - | 0.831 |
| 4 weeks | 86(75-94) | <0.001 | -2(-4-0) | 85(79-93) | <0.001 | -2(-3-1) | 0.981 |
| 6 months | 89(77.5-97) | 0.022 | -1(-4-1) | 85.5(80-93.5) | 0.038 | -1(-3-1) | 0.758 |
| Systolic Blood Pressure (mmHg) | |||||||
| Baseline | 125(114-139) | 126(116-139) | 0.657 | ||||
| 4 weeks | 123(114-135) | 0.097 | -2(-10-6) | 124(113-135) | 0.024 | -3(-8-3) | 0.762 |
| 6 months | 127(116-138) | 0.588 | -1(-7-6) | 126(117-136) | 0.138 | -3(-12-8) | 0.399 |
| Diastolic Blood Pressure (mmHg) | |||||||
| Baseline | 81(72-88) | 81(74-90) | 0.403 | ||||
| 4 weeks | 78(70-84) | 0.006 | -3(-6-3) | 80(73-85) | <0.001 | -4(-8-2) | 0.225 |
| 6 months | 80(76-86) | 0.575 | -2(-6-5) | 80(72-86) | 0.044 | -1(-10-3) | 0.190 |
| Sugar craving (mm) | |||||||
| Baseline | 66(40-85) | - | - | 60(29-80) | - | - | 0.384 |
| 4 weeks | 34(17-67) | <0.001 | -15(-41-0) | 41(22-69) | 0.001 | -8(-23-5) | 0.050 |
| 6 months | 53(31-72) | 0.058 | -7(-23-10) | 48(28-72) | 0.246 | -2(-10-8) | 0.448 |
|
Saturation (mm) |
|||||||
| Baseline | 74(52-93) | - | - | 77(68-86) | - | - | 0.833 |
| 4 weeks | 83(69-93) | 0.107 | 4(-12-24) | 80(62-90) | 0.688 | 1(-10-12) | 0.261 |
| 6 months | 77(69-90) | 0.473 | 0(-12-16) | 72(62-87) | 0.464 | -2(-13-16) | 0.275 |
Disclaimer/Publisher’s Note: The statements, opinions and data contained in all publications are solely those of the individual author(s) and contributor(s) and not of MDPI and/or the editor(s). MDPI and/or the editor(s) disclaim responsibility for any injury to people or property resulting from any ideas, methods, instructions or products referred to in the content. |
© 2024 by the authors. Licensee MDPI, Basel, Switzerland. This article is an open access article distributed under the terms and conditions of the Creative Commons Attribution (CC BY) license (http://creativecommons.org/licenses/by/4.0/).
