Submitted:
25 July 2024
Posted:
26 July 2024
You are already at the latest version
Abstract
Keywords:Â
1. Introduction
2. Investigating the Mechanism of Action for Enhanced Efficacy.

3. Chlorella sp. and Subcellular Localization
Chlorophyll a (Câ â HââOâ NâMg) (1) and Chlorophyll b (Câ â HââOâNâMg) (2):
Carotenoids (ÎČ-carotene, CââHâ â) (3) :
Astaxanthin (CââHâ âOâ) (4):
Phycocyanin (CââHââNâOââSâ) (5):
4. Isolation of Sensitizing Substances from Microalgae Using Column Chromatography.

5. Conclusion
Funding
List of Abbreviations
| PDT | photodynamic therapy |
| eg | exampleli gratia |
| 2-EP | 2-ethylpyridine |
| DPPH | 2,2-diphenyl-1-picrylhydrazyl radical. |
| 5-ALA | (5-aminolevulinic acid) |
| PS | photosensitizers |
| g | gramm |
| kg | kilogramm |
| etc | et cetera |
| ml | milliliter |
| i.e., | id est |
| ALA | alanine |
| DMSO | Dimethyl Sulfoxide |
| UV | ultraviolet |
| UV-Vis | ultraviolet-visible |
| PBS | Phosphate Buffered Saline |
| TLC | Thin Layer Chromatography |
| HPLC | High Performance Liquid Chromatography |
| DCFDA | Dichlorodihydrofluorescein diacetate |
References
- Jabeen et al., âEffect of the Photodynamic Therapy Applications with Potent Microalgae Constituents on Several Types of Tumorâ.
- W. Pang et al., âNucleolus-Targeted Photodynamic Anticancer Therapy Using Renal-Clearable Carbon Dotsâ.
- J. A. Miller et al., âPhotodynamic therapy with the phthalocyanine photosensitizer Pc 4: The case experience with preclinical mechanistic and early clinicalâtranslational studiesâ.
- Yoon, J. Li and Y. K. Shim, âAdvance in Photosensitizers and Light Delivery for Photodynamic Therapyâ.
- Saide, C. Lauritano and A. Ianora, âPheophorbide a: State of the Artâ.
- K. C. D. Andrade, C. Lauritano, G. Romano and A. Ianora, âMarine Microalgae with Anti-Cancer Propertiesâ.
- âPhotodynamic Therapy to Treat Cancer - NCIâ.
- Y. Tian, L. L. Wang and W. Wang, âProgress in photodynamic therapy on tumorsâ.
- 9. T J Dougherty, C J Gomer, B W Henderson, G Jori, D Kessel, M Korbelik, J Moan, Q Peng Photodynamic therapy.
- Paul Harrod-Kim, âTumor ablation with photodynamic therapy: introduction to mechanism and clinical applications.â.
- Conte, F. Ungaro, A. Mazzaglia and F. Quaglia, âPhotodynamic Therapy for Cancer: Principles, Clinical Applications, and Nanotechnological Approachesâ.
- Y. Qiao et al., âEngineered algae: A novel oxygen-generating system for effective treatment of hypoxic cancerâ.
- T. J. Dougherty et al., âPhotodynamic Therapyâ.
- S. Cogno, P. Gilardi, L. R. Comini, S. C. NĂșñez-Montoya, J. L. Cabrera and V. Rivarola, âNatural photosensitizers in photodynamic therapy: In vitro activity against monolayers and spheroids of human colorectal adenocarcinoma SW480 cellsâ.
- K. L. M. Santos et al., âProspective application of phthalocyanines in the photodynamic therapy against microorganisms and tumor cells: a mini-review.â.
- Y. KarakaĆ, H. T. Ćahin, B. İnan, D. Ăzçimen and Y. Erginer, âIn vitro cytotoxic activity of microalgal extracts loaded nanoâmicro particles produced via electrospraying and microemulsion methodsâ.
- S. Braune, A. KrĂŒger-Genge, S. Kammerer, F. Jung and J. KĂŒpper, âPhycocyanin from Arthrospira platensis as Potential Anti-Cancer Drug: Review of In Vitro and In Vivo Studiesâ.
- S. S. Kulthe, Y. Choudhari, N. Inamdar and V. Mourya, âPolymeric micelles: authoritative aspects for drug deliveryâ.
- R. R. Allison and K. Moghissi, âPhotodynamic Therapy (PDT): PDT Mechanismsâ.
- Mazzaglia, âPhotodynamic Tumor Therapy with Cyclodextrin Nanoassembliesâ.
- M. Olszowy, M. Nowak-Perlak and M. WoĆșniak, âCurrent Strategies in Photodynamic Therapy (PDT) and Photodynamic Diagnostics (PDD) and the Future Potential of Nanotechnology in Cancer Treatmentâ.
- L. E. Ibarra et al., âSelective Photo-Assisted Eradication of Triple-Negative Breast Cancer Cells through Aptamer Decoration of Doped Conjugated Polymer Nanoparticlesâ.
- Lima and L. V. Reis, âPhotodynamic Therapy: From the Basics to the Current Progress of N-Heterocyclic-Bearing Dyes as Effective Photosensitizersâ.
- P. Agostinis et al., âPhotodynamic therapy of cancer: An updateâ.
- X. Wang, D. Luo and J. P. Basilion, âPhotodynamic Therapy: Targeting Cancer Biomarkers for the Treatment of Cancersâ.
- T. A. Mishchenko, I. V. Balalaeva, A. A. Gorokhova, M. V. Vedunova and D. V. Krysko, âWhich cell death modality wins the contest for photodynamic therapy of cancer?â.
- V. Straten, V. Mashayekhi, H. S. D. Bruijn, S. Oliveira and D. J. Robinson, âOncologic Photodynamic Therapy: Basic Principles, Current Clinical Status and Future Directionsâ.
- T. Nelius, W. D. Riese and S. Filleur, âPhotodynamic therapy: a promising alternative in oncologyâ.
- U. Chilakamarthi and L. Giribabu, âPhotodynamic Therapy: Past, Present and Futureâ.
- C. Serra et al., âA look at clinical applications and developments of photodynamic therapyâ.
- T. Tran et al., âIdentification of Small Molecule Modulators of Gene Transcription with Anticancer Activityâ.
- Paul Harrod-Kim âTumor ablation with photodynamic therapyâ.
- Thomas J. Dougherty, Charles J. Gomer, Barbara W. Henderson, Giulio Jori, David Kessel, Mladen Korbelik, Johan Moan, and Qian Peng* âPhotodynamic Therapy.
- Chun-Yan Wang âPhotosensitization of phycocyanin extracted from Microcystis in human hepatocellular carcinoma cells: implication of mitochondria-dependent apoptosis.â.
- D C Shackley, âPhotodynamic therapyâ.
- C. J. Gomer, A. Ferrario, M. Luna, N. Rucker and S. Wong, âPhotodynamic therapy: Combined modality approaches targeting the tumor microenvironmentâ.
- S. Kwiatkowski et al., âPhotodynamic therapy â mechanisms, photosensitizers and combinationsâ.
- H. Barr, C. Kendall, J. Reyes-Goddard and N. Stone, âClinical Aspects of Photodynamic Therapyâ.
- J. Zhang, C. Jiang, J. P. F. Longo, R. B. Azevedo, H. Zhang and L. A. Muehlmann, âAn updated overview on the development of new photosensitizers for anticancer photodynamic therapyâ.
- Qian Peng, Johan Moan, Jahn M Nesland, Peng n.d. âCorrelation of subcellular and intratumoral photosensitizer localization with ultrastructural features after photodynamic therapy.â.
- Magdalena Cañete, Universidad AutĂłnoma de Madrid, Cantoblanco, âPreclinical photodynamic therapy research in Spain. 3. Localization of photosensitizers and mechanisms of cell death in vitroâ.
- D. Chen, C. A. Dougherty, K. Zhu and H. Hong, âTheranostic applications of carbon nanomaterials in cancer: Focus on imaging and cargo deliveryâ.
- T. Schluep et al., âPharmacokinetics and tumor dynamics of the nanoparticle IT-101 from PET imaging and tumor histological measurementsâ.
- W. Park et al., âAdvanced smart-photosensitizers for more effective cancer treatmentâ.
- D. Kessel, âCorrelation between subcellular localization and photodynamic efficacyâ.
- P. MrĂłz, A. Yaroslavsky, G. B. Kharkwal and M. R. Hamblin, âCell Death Pathways in Photodynamic Therapy of Cancerâ.
- Xiao Yan He, âEffectiveness of photosensitive dye during uptake and redistributionâ.
- L. Yang et al., âBoosting the photodynamic therapy efficiency with a mitochondria-targeted nanophotosensitizerâ.
- S. Sansaloni-Pastor, J. Bouilloux and N. Lange, âThe Dark Side: Photosensitizer Prodrugsâ.
- C. Constantin and M. Neagu, âPhotosensitizers Imprinting Intracellular Signaling Pathways in Dermato-Oncology Therapyâ.
- T. M. Busch, âLocal physiological changes during photodynamic therapyâ.
- âPhotodynamic Therapy to Treat Cancerâ.
- S. Kumari, A. K. Badana, M. M. G, G. Shailender and R. Malla, âReactive Oxygen Species: A Key Constituent in Cancer Survivalâ.
- P. Jia, C. Dai, P. Cao, D. I. Sun, R. Ouyang and Y. Miao, âThe role of reactive oxygen species in tumor treatmentâ.
- W. H. Ahsan, âReactive oxygen species: role in the development of cancer and various chronic conditionsâ.
- Yu, J. Yan, Z. Li, L. Yang, F. Ju and Y. Sun, âRecent trends in emerging strategies for ferroptosis-based cancer therapyâ.
- J. P. Fruehauf and F. L. Meyskens, âReactive Oxygen Species: A Breath of Life or Death?â.
- T. Hu, Z. Wang, W. Shen, R. Liang, D. Yan and M. Wei, âRecent advances in innovative strategies for enhanced cancer photodynamic therapyâ.
- S. Mallidi, S. Anbil, A. Bulin, G. Obaid, M. Ichikawa and T. Hasan, âBeyond the Barriers of Light Penetration: Strategies, Perspectives and Possibilities for Photodynamic Therapyâ.
- Shannon M Gallagher-colombo, Amanda L Maas, âPhotodynamic therapy-induced angiogenic signaling: consequences and solutions to improve therapeutic response.â.
- R. L. Yanovsky, D. W. Bartenstein, G. S. Rogers, S. J. Isakoff and S. T. Chen, âPhotodynamic therapy for solid tumors: A review of the literatureâ.
- C P Lowdell, âPhotodynamic therapy: an update.â.
- N. Shah et al., âDeep-Tissue Activation of Photonanomedicines: An Update and Clinical Perspectivesâ.
- âAdvances in Photodynamic Therapy of Cancer Bentham Scienceâ.
- D. L. Sai, J. Lee, D. L. Nguyen and Y. Kim, âTailoring photosensitive ROS for advanced photodynamic therapyâ.
- R. K. Pandey et al., âNature: A rich source for developing multifunctional agents. tumor-imaging and photodynamic therapyâ.
- Agnieszka Szurko âSpectroscopic and biological studies of a novel synthetic chlorin derivative with prospects for use in PDT.â.
- Z. Zhuo, Z. Song, Z. Ma, Y. Zhang, G. Xu and G. Chen, âChlorophylline6-mediated photodynamic therapy inhibits proliferation and induces apoptosis in human bladder cancer cellsâ.
- 69. Shaikh Abdur Razzak Comprehensive overview of microalgae-derived carotenoids and their applications in diverse industries.
- 70. Po-Fung Ip, Feng Chen Production of astaxanthin by the green microalga Chlorella zofingiensis in the dark.
- Mafalda TrovĂŁo, Lucas Cardoso, Lisa SchĂŒler, Adriana Machado, Gonçalo EspĂrito Santo, Humberto Pedroso, Ana Reis, Ana Barros, NĂĄdia Correia, Monya Costa, Sara Ferreira, Helena Cardoso, MarĂlia Mateus, Joanam Silva, Hugo Pereira, Filomena Freitas, JoĂŁo Varela. Oxyfluorfen: a novel metabolic inhibitor to select microalgal chlorophyll-deficient mutant strains for nutritional applications.
- T. Lafarga Effect of microalgal biomass incorporation into foods: nutritional and sensorial attributes of the end products.
- AndrĂȘssa S. Fernandes, PatrĂcia A. Caetano, Eduardo Jacob-Lopes, Leila Queiroz Zepka, Veridiana Vera de Rosso. Alternative green solvents associated with ultrasound-assisted extraction: A green chemistry approach for the extraction of carotenoids and chlorophylls from microalgae.
- Arti Sharma, Meenu Chhabra, Shashi Kumar. Performance evaluation of genetically modified microalgae in photosynthetic microbial fuel cells for carotenoids and power generation.
- Yamini Sumathi, Prashant Kumar, Reeta Rani Singhania, Chiu-Wen Chen, Baskar Gurunathan, Cheng-Di Dong, Anil Kumar Patel. Harnessing Fe3O4 nanoparticles for sustainable harvesting of astaxanthin-producing microalgae: Advancing industrial-scale biorefinery.
- Yanlong Gu, Michelle Yee Mun Teo, Lionel Lian Aun In, Kazuya Shimizu, Kyu-Jung Chae, Tran Thi Ngoc Thu, Kuan Shiong Khoo. Genetic engineering of Haematococcus pluvialis microalgae for the enhancement of astaxanthin production.
- Zengyu Yu, Weiyang Zhao, Han Sun, Haijin Mou, Jin Liu, Hui Yu, Lei Dai, Qing Kong, Shufang Yang. Phycocyanin from microalgae: A comprehensive review covering microalgal culture, phycocyanin sources and stability.
- Shuyu Liu, Zitong Wu, Xin Min, Hong Liu, Nijuan Nian, Pei Zhang, Xiaoyu Li. Synergism Variation between intracellular Glutathione, phycocyanin and SOD in microalgae by carbon quantum dot fluorescence.
- 79. Israel Emiezi Agarry, Desheng Ding, Yunchang Li, Zihan Jin, Huiling Deng, Jiang Hu, Tian Cai, Jianquan Kan, Kewei Chen In vitro bioaccessibility evaluation of chlorophyll pigments in single and binary carriers.
- Eric Biehler, Anouk Kaulmann, Lucien Hoffmann, Elmar Krause, Torsten Bohn. Dietary and host-related factors influencing carotenoid bioaccessibility from spinach (Spinacia oleracea).
- Kewei Chen, MarĂa Roca. In vitro digestion of chlorophyll pigments from edible seaweeds.
- Zhuo Chen, Jiu-Qiang Xiong. Recovery mechanism of a microalgal species, Chlorella sp. from toxicity of doxylamine: Physiological and biochemical changes, and transcriptomics.
- Nathanan Preechaphonkul, Sukrit Sirikwanpong, Cherdsak Maneeruttanarungroj. Freshwater green alga Chlorella sp. KLSc59 produced all forms of omega-3 oil: ALA, EPA, and DHA.
- Gökhun ĂaÄatay Erbil, Mahmut Elp, YaĆar Durmaz. Myo-inositol as a carbon source in Chlorella sp. production.
- Vaibhav Sunil Tambat, Anil Kumar Patel, Reeta Rani Singhania, Akash Pralhad Vadrale, Archana Tiwari, Chiu-Wen Chen, Cheng-Di Dong. Sustainable mixotrophic microalgae refinery of astaxanthin and lipid from Chlorella zofingiensis.
- Yamini Sumathi, Prashant Kumar, Reeta Rani Singhania, Chiu-Wen Chen, Baskar Gurunathan, Cheng-Di Dong, Anil Kumar Patel. Harnessing Fe3O4 nanoparticles for sustainable harvesting of astaxanthin-producing microalgae: Advancing industrial-scale biorefinery.
- Dong-Yeon Kim, Durairaj Vijayan, Ramasamy Praveenkumar, Jong-In Han, Kyubock Lee, Ji-Yeon Park, Won-Seok Chang, Jin-Suk Lee, You-Kwan Oh. Cell-wall disruption and lipid/astaxanthin extraction from microalgae: Chlorella and Haematococcus.
- Birgitta Narindri Rara Winayu, Kuan-Ya Chiu, Hsin-Ta Hsueh, Hsin Chu. Thermosynechococcus sp. CL-1 (TCL-1) as an efficient cyanobacterium in CO2 fixation, C-phycocyanin production, and removal of Cd and Pb.
- Birgitta Narindri Rara Winayu, Yu-Ting Lin, Hsin-Ta Hsueh, Hsin Chu. Importance of lighting color and period for CO2 fixation and C-phycocyanin production during Thermosynechococcus sp. CL-1 growth.
- Birgitta Narindri Rara Winayu, Hsin-Ta Hsueh, Hsin Chu. CO2 fixation and cultivation of Thermosynechococcus sp. CL-1 for the production of phycocyanin.
- F. D. Santos et al., âDistinct photo-oxidation-induced cell death pathways lead to selective killing of human breast cancer cellsâ.
- MoserovĂĄ and J. KrĂĄlovĂĄ, âRole of ER Stress Response in Photodynamic Therapy: ROS Generated in Different Subcellular Compartments Trigger Diverse Cell Death Pathwaysâ.
- Y. Adar et al., âImidazoacridinone-dependent lysosomal photodestruction: a pharmacological Trojan horse approach to eradicate multidrug-resistant cancersâ.
- W. Jiang, M. Liang, Q. Lei, G. Li and S. Wu, âThe Current Status of Photodynamic Therapy in Cancer Treatmentâ.
- S. Sharma, P. MrĂłz, T. Dai, Y. Huang, T. G. S. Denis and M. R. Hamblin, âPhotodynamic Therapy for Cancer and for Infections: What Is the Difference?â.
- M. Zahra, A. Chota, H. Abrahamse and B. P. George, âEfficacy of Green Synthesized Nanoparticles in Photodynamic Therapy: A Therapeutic Approachâ.
- J. Nyst, I. B. Tan, F. Stewart and A. J. M. Balm, âIs photodynamic therapy a good alternative to surgery and radiotherapy in the treatment of head and neck cancer?â.
- L. OnofrejovĂĄ et al., âBioactive phenols in algae: The application of pressurized-liquid and solid-phase extraction techniquesâ.
- M. Plaza, M. Herrero, A. Cifuentes and E. Ibåñez, âInnovative natural functional ingredients from microalgae.â.
- Jesus, M. Correia-da-Silva, C. Afonso, M. Pinto and H. Cidade, âIsolation and Potential Biological Applications of Haloaryl Secondary Metabolites from Macroalgaeâ.
- Saide, K. A. MartĂnez, A. Ianora and C. Lauritano, âUnlocking the Health Potential of Microalgae as Sustainable Sources of Bioactive Compoundsâ.
- P. Abreu, R. Martins and J. Nunes, âEmerging Applications of Chlorella sp. and Spirulina (Arthrospira) sp.â.
- G. A. Colusse, J. Carneiro, M. E. R. Duarte, J. C. D. Carvalho and M. D. Noseda, âAdvances in microalgal cell wall polysaccharides: a review focused on structure, production, and biological applicationâ.
- M. Cañete, J. C. Stockert and A. Villanueva, âPreclinical photodynamic therapy research in Spain. 3. Localization of photosensitizers and mechanisms of cell death in vitroâ.
- R. Wang, X. Li and J. Yoon, âOrganelle-Targeted Photosensitizers for Precision Photodynamic Therapyâ.
- S. P. M. Ventura et al., âExtraction of value-added compounds from microalgaeâ.
- G. Perin, E. Cimetta, F. Monetti, T. Morosinotto and F. Bezzo, âNovel micro-photobioreactor design and monitoring method for assessing microalgae response to light intensityâ.
- Pulz and P. Kretschmer, âPerspectives of phototrophic microorganisms in environment protection and ecologyâ.
- R. Calori, B. Hong and A. C. Tedesco, âExpanding the Limits of Photodynamic Therapy: The Design of Organelles and Hypoxia-Targeting Nanomaterials for Enhanced Photokilling of Cancerâ.
- âChromatography Adsorbents - Silica Gel and Aluminium Oxideâ.
- Saitoh, I. Awaka and N. Suzuki, âDetermination of chlorophylls by reversed-phase high-performance liquid chromatography with isocratic elution and the column-switching techniqueâ.
- H. Inoue, K. Furuya, K. Watanabe, K. Tanaka, T. Shirai and E. Miyoshi, âSeparation and Determination of Copper(II) Chlorophylls by Reversed-Phase High Performance Liquid Chromatographyâ.
- W. Zheng, N. Thorne and J. C. McKew, âPhenotypic screens as a renewed approach for drug discoveryâ.
- S. KraljeviÄ, P. J. Stambrook and K. PaveliÄ, âAccelerating drug discoveryâ.
- âDiscovery and Developmentâ.
- N. Suvorov, V. Pogorilyy, E. Diachkova, Y. Vasilâev, Đ. Đ€. ĐĐžŃoĐœoĐČ and M. A. Grin, âDerivatives of Natural Chlorophylls as Agents for Antimicrobial Photodynamic Therapyâ.
- A. H. A. Akhras, âIntroducing the Effect of Chinese Chlorella as a Photosensitizing Drug at Different Temperaturesâ.
- G. Fasya, N. Millati, L. M. Rahmawati, R. Iyani, A. Hanapi, R. Ningsih, D. Yuliani Đž D. S. Megawati Isolation and bioactivity of steroids isolates from petroleum ether fraction of Chlorella sp.
- N. Meyer, N. R. Ferrigni, J. E. Putnarn, L. B. Jacobsen, D. E. Nichols, and J. L. McLaughlin, Planta Medica 45 (5), 31â34 (1982).
- G. Fasya, A. R. Dinasti, S. M. Syofiyah, L. M. Rahmawati, N. Millati, D. A. Safitri, S. Handoko, A. Hanapi, and R. Ningsih, ALCHEMY: Journal of Chemistry 5 (1), 5â9 (2016).
- F. Aprelia and Suyatno, UNESA Journal of Chemistry 2 (3), 94â99 (2013).
- D. Astuti, A. Maulana, and E. M. Kuntowati, Prosiding Seminar Nasional Kimia Universitas Negeri Surabaya, (Universitas Negeri Surabaya, 2014).
- Yousef Y. Sultan 1 , Diaa A. Marrez Isolation and Purification of Antifungal Compounds from the Green Microalga Chlorella vulgaris.
- Marrez DA, Naguib MM, Sultan YY, Daw ZY, Zaher SS, Higazy AM. Phytoplankton profile and toxicity assessment of dominant algal species from different Egyptian aquatic ecosystems. Res J Pharm Biol Chem Sci. 2016;7(2):1453-61.
- Yang J, Guo J, Yuan J. In vitro antioxidant properties of rutin. LWT Food Sci Technol. 2008;41(6):1060-6. [CrossRef]
- Prabhadevi V, Sahaya SS, Johnson M, Venkatramani B, Janakiraman N. Phytochemical studies on Allamanda cathartica L. using GCâMS. Asian Pac J Trop Biomed. 2012;2(2):S550-4. [CrossRef]
- Mujeeb F, Bajpai P, Pathak N. Phytochemical evaluation, antimicrobial activity, and determination of bioactive components from leaves of Aegle marmelos. Biomed Res Int. 2014;2014:497606. [CrossRef]
- Senthilkumar P, Sambath R, Vasantharaj S. Antimicrobial potential and screening of antimicrobial compounds of Ruellia tuberose using GC-MS. Int J Pharm Sci Rev Res. 2013;20(1):184-9.
- Marrez DA, Sultan YY. Antifungal activity of the cyanobacterium Microcystis aeruginosa against mycotoxigenic fungi. J Appl Pharm Sci. 2016;6(11):191- 8. [CrossRef]
- Sultan YY, Ali MA, Darwesh OM, Embaby MA, Marrez DA. Influence of nitrogen source in culture media on antimicrobial activity of Microcoleus lacustris and Oscillatoria rubescens. Res J Pharm Biol Chem Sci. 2016;7(2):1444-52.
- Marrez, DA, Sultan YY, Embaby MA. Biological activity of the cyanobacterium Oscillatoria brevis extracts as a source of nutraceutical and bio-preservative agents. Int J Pharmacol. 2017;13(8):1010-19. [CrossRef]
- Marrez DA, Naguib MM, Sultan YY, Higazy AM. Antimicrobial and anticancer activities of Scenedesmus obliquus metabolites. Heliyon. 2019;5(3):e01404. doi:10 .1016/j.heliyon.2019.e01404.
- Marrez DA, Sultan YY, Naguib MM, Higazy AM. Antimicrobial Activity, Cytotoxicity and Chemical Constituents of the Freshwater Microalga Oscillatoria princeps. Biointerface Res Appl Chem. 2022, 12(1):961- 77. [CrossRef]
- Ordog V, Stirk WA, Lenobel R, BancĂĆovĂĄ M, Strnad M, Van Staden J, et al. Screening microalgae for some potentially useful agricultural and pharmaceutical secondary metabolites. J Appl Phycol. 2004;16(4):309- 14. [CrossRef]
- Khosravi K. The potential Health Benefits of Atgae and Micro Algae in Medicine: A Review on Spirulina Platensis. Curr Nutr Food Sci. 2011;7(4):279-85. [CrossRef]
- Hosseini S, Shahbazizadeh S, Khosravi-Darani K, Mozafari M. Spirulina paltensis: Food and Function. Curr Nutr Food Sci. 2013;9(3):189-93. [CrossRef]
- Shinya Shibata, Chiyoko Ishihara, Keisuke Matsumoto. Improved separation method for highly purified lutein from Chlorella powder using jet mill and flash column chromatography on silica gel.
- Matsuno, T. Structure and characterization of carotenoids from various habitats and natural sources. Methods Enzymol. 1992, 213, 22-31.
- Goodwin, T. W.; Britton, G. Distribution and analysis of carotenoids. In Plant Pigments; Goodwin, T. W., Ed.; Academic Press: London, 1988; pp 61-127.
- Ichioka, M.; Endo, H. Effect of light on cellular carotenoids formation of Chlorella regularis S-50 grown on glucose (in Japanese). Annu. Rep. Yakult Central Inst. Microbiol. Res. 1974, 5, 91-99.
- Yen-Ju Lee, Ying-Chen Yi, Yu-Chieh Lin, Chao-Chung Chen, Jia-Horung Hung, Jia-Yi Lin,I-Son Ng. Purification and biofabrication of 5-aminolevulinic acid for photodynamic therapy against pathogens and cancer cells.
- Armbruster CE, Mobley HL. Merging mythology and morphology: the multifaceted lifestyle of Proteus mirabilis. Nat Rev Microbiol. 2012;10:743â754. [CrossRef]
- Bunke A, Zerbe O, Schmid H, Burmeister G, Merkle HP, Gander B. Degradation mechanism and stability of 5-aminolevulinic acid. J Pharm Sci. 2000;89:1335â1341. [CrossRef]
- Cai J, Zheng Q, Huang H, Li B. 5-aminolevulinic acid mediated photodynamic therapy inhibits survival activity and promotes apoptosis of A375 and A431 cells. Photodiagnosis Photodyn Ther. 2018;21:257â262. [CrossRef]
- Chen H, Jiang JG. Toxic effects of chemical pesticides (trichlorfon and dimehypo) on Dunaliella salina. Chemosphere. 2011;84:664â670. [CrossRef]
- Di Venosa G, Fukuda H, Perotti C, Batlle A, Casas A. A method for separating ALA from ALA derivatives using ionic exchange extraction. J Photochem Photobiol B. 2004;75:7â163. [CrossRef]
- Din, Lim SJ, Maskat MY, Abd Mutalib S, Zaini NAM. Lactic acid separation and recovery from fermentation broth by ion-exchange resin: a review. Bioresour Bioprocess. 2021;8:1â23. [CrossRef]
- Feng Lianga, Xueying Anc, Ruoxi Wang, Wenshu Wu, Lin Yang , Yixin Zheng, Qing Jiang, Xingquan Xu, Danni Zhong, Min Zhou. Microalgae-based drug delivery system for tumor microenvironment photo-modulating and synergistic chemo-photodynamic therapy of osteosarcoma.
- Bing-Chung Liau, Chun-Ting Shen, Fong-Ping Liang, Siang-En Hong, Shih-Lan Hsu, Ting-Ting Jong, Chieh-Ming J. Chang. Supercritical fluids extraction and anti-solvent purification of carotenoids from microalgae and associated bioactivity.
- M.M. Rebolloso-Fuentes, A. Navarro-Perez, F. Garcia-Camacho, J.J. RamosMiras, J.L. Guil-Guerrero, Biomass nutrient profiles of the microalga Nannochloropsis, J. Agricultural Food Chemistry 49 (2001) 2966â2972.
- T.L. Walker, S. Purton, D.K. Becker, C. Collet, Microalgae as bioreactors, Plant Cell Reports 24 (2005) 629â641.
- P.Z. Margalith, Production of ketocarotenoids by microalgae, Appl. Microbiol. Biotechnol. 51 (1999) 431â438.
- Herrero, A. Cifuentes, E. Ibanez, Sub- and supercritical fluid extraction Ë of functional ingredients from different natural sources: plants, foodby-products, algae and microalgae: a review, Food Chem. 98 (2006) 136â148.
- L. Rodolfi, G. Chini Zittelli, N. Bassi, G. Padovani, N. Biondi, G. Bonini,M.R. Tredici, Microalgae for oil: strain selection, induction of lipid synthesis and outdoor mass cultivation in a low-cost photobioreactor, Biotechnol. Bioeng. 102 (2009) 100â112.
- Bhosale, Environmental and cultural stimulants in the production of carotenoids from microorganisms, Appl. Microbiol. Biotechnol. 63 (2004) 351â361.
- M.D. Macias-Sanchez, C. Mantell Serrano, M. Rodriguez Rodriguez, E. Martinez de la Ossa, L.M. Lubian, O. Montero, Extraction of carotenoids and chlorophyll from microalgae with supercritical carbon dioxide and ethanol as cosolvent, J. Sep. Sci. 31 (2008) 1352â1362.
- C.J. Chang, A.D. Randolph, Precipitation of microsize organic particles from supercritical fluids, AIChE J. 35 (1989) 1876â1882.
- 158. Victor Abrahamsson, Irene Rodriguez-Meizoso, Charlotta Turner Determination of carotenoids in microalgae using supercritical fluid extraction and chromatography.
- A.V. Rao, L.G. Rao, Pharmacological Research 55 (2007) 207.
- B.D. Ribeiro, D.W. Barreto, M.A.Z. Coelho, Food and Bioprocess Technology 4 (2011) 693.
- RodrĂguez-Bernaldo de QuirĂłs, H.S. Costa, Journal of Food Composition and Analysis 19 (2006) 97.
- L.C. Sander, K.E. Sharpless, M. Pursch, Journal of Chromatography A 880 (2000) 189.
- Su, K.G. Rowley, N.D.H. Balazs, Journal of Chromatography B: Analytical Technologies in the Biomedical and Life Sciences 781 (2002) 393.
- J. Oliver, A. Palou, Journal of Chromatography A 881 (2000) 543.
- C.J. Welch, N. Wu, M. Biba, R. Hartman, T. Brkovic, X. Gong, R. Helmy, W. Schafer, J. Cuff, Z. Pirzada, L. Zhou, TrAC - Trends in Analytical Chemistry 29 (2010) 667.
- M.D. MaciÌas-SaÌnchez, C. Mantell, M. RodrĂguez, E. MartĂnez de la Ossa, L.M. LubiĂĄn, O. Montero, Journal of Supercritical Fluids 39 (2007) 323.
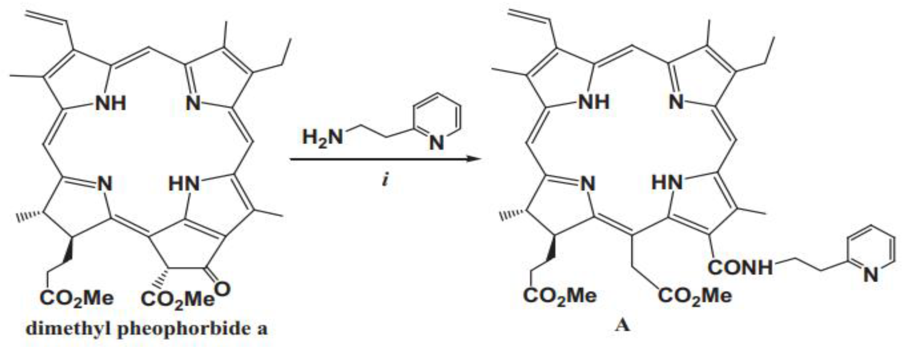
- Sonja Srdanovic , Ying-Hua Gao, Dan-Ye Chen, Yi-Jia Yan, Davor Margetic, Zhi-Long Chen. The photodynamic activity of 13-[2-(2-pyridyl)ethylamine] ĐĄhlorin e6 photosensitizer in human esophageal cancer.
- BriĆĄ A, Marinic. ZË , Chen ZL, Margetic. D. Synthesis of chlorins by Diels-Alder cycloadditions of pheophorbide a and its derivatives. Synlett. 2015;26:991â994.
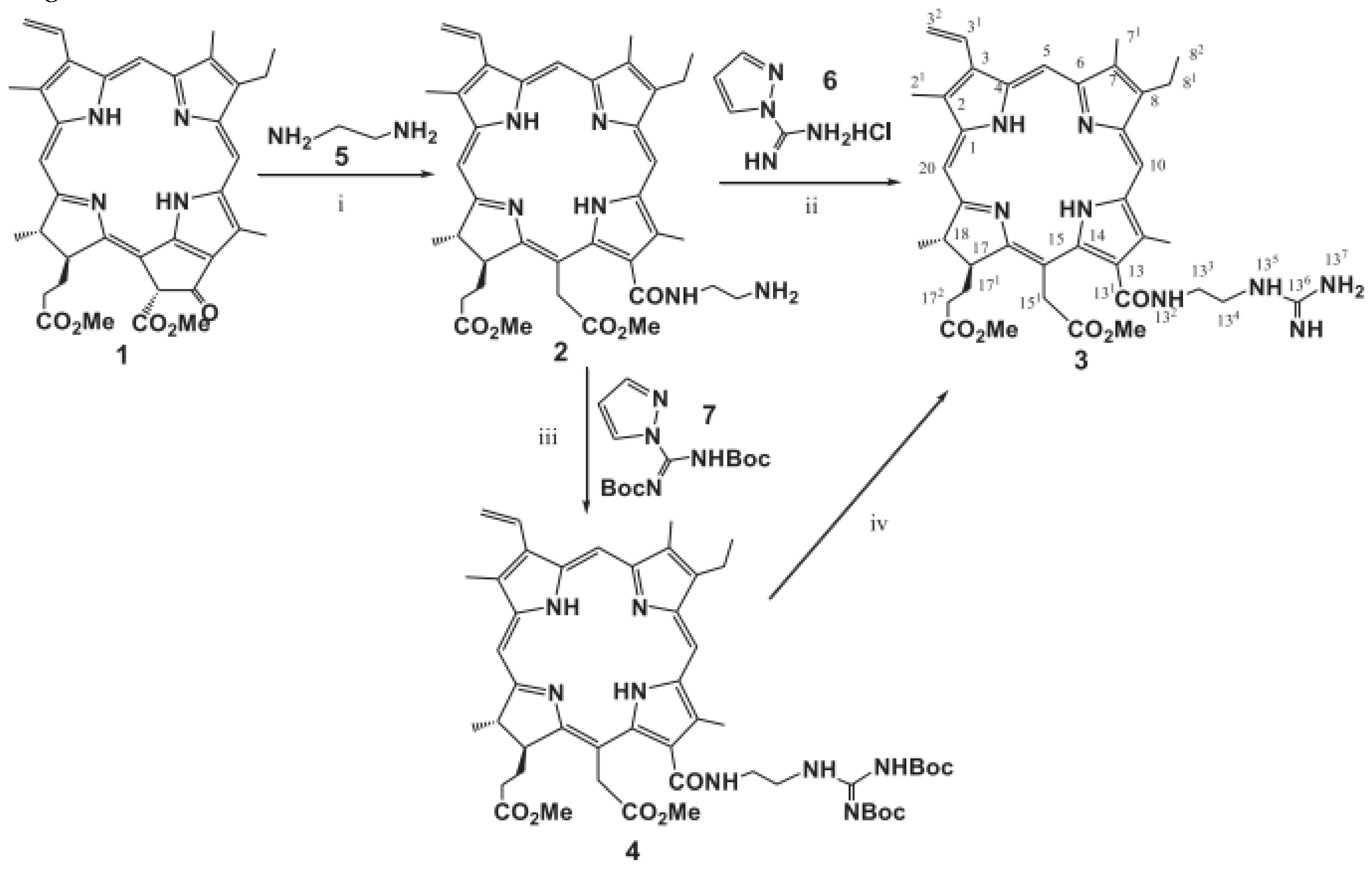
- Belykh DV, Kopylov EA, Gruzdev IV, Kuchin AV. Opening of the extra ring in pheophorbide a methyl ester by the action of amines as a one-step method for introduction of additional fragments at the periphery of chlorin macroring. Russ J Org Chem. 2010;46:577â585.
- Ying-Hua Gao, Vanda Lovrekovic, Akmaral Kussayeva, Dan-Ye Chen, Davor Margetic, Zhi-Long Chen. The photodynamic activities of dimethyl 13-[2-(guanidinyl)ethylamino] ĐĄhlorin e6 photosensitizers in A549 tumor.
- R.G.W. Jinadasa, X. Hu, M.G.H. Vicente, K.M. Smith, Synthesis and cellular investigations of 173-, 152- and 131- amino acid derivatives of Chlorin e6, J. Med. Chem. 54 (2011) 7464-7476.
- M. Dud, Z. Glasovac, D. Margetic. The utilization of ball-milling in synthesis of aryl guanidines through guanidinylation and N-Boc-deprotection sequence, Tetrahedron 75 (2019) 109-115.
- 173. Ying-Hua Gao, Vanda Lovrekovi, Akmaral Kussayeva, Dan-Ye Chen, Davor Margetic, Zhi-Long Chen, The photodynamic activities of dimethyl 131 -[2-(guanidinyl) ethylamino] chlorin e6 photosensitizers in A549 tumor.
- 174. ĐĐČŃoŃŃ Faiza Sajjad, Ning-Ning Sun, Ting Chen, Yi-Jia Yan, Davor MargetiÄ, Zhi-Long Chen «Evaluation of antimicrobial photodynamic activities of 5-aminolevulinic acid derivatives».




Disclaimer/Publisherâs Note: The statements, opinions and data contained in all publications are solely those of the individual author(s) and contributor(s) and not of MDPI and/or the editor(s). MDPI and/or the editor(s) disclaim responsibility for any injury to people or property resulting from any ideas, methods, instructions or products referred to in the content. |
© 2024 by the authors. Licensee MDPI, Basel, Switzerland. This article is an open access article distributed under the terms and conditions of the Creative Commons Attribution (CC BY) license (http://creativecommons.org/licenses/by/4.0/).
