Submitted:
23 July 2024
Posted:
24 July 2024
You are already at the latest version
Abstract
Keywords:
1. Introduction
2. Materials and Methods
2.1. Study Design
2.2. Recruitment and Randomization
2.3. Participants
2.3.1. Inclusion Criteria
2.3.2. Exclusion Criteria
2.4. Interventions
2.5. Outcome Measures
2.5.1. Primary Outcome Measures
2.5.2. Secondary Outcome Measures
2.5.3. Exploratory Outcome Measures
2.5.4. Safety Outcome Measures
2.6. Sample Size Calculations
2.7. Statistical Analysis
3. Results
3.1. Study Population
3.2. Baseline Questionnaire and Demographic Information
3.3. Outcome Measures
3.3.1. Primary Outcome Measures
3.3.2. Secondary Outcome Measures
3.3.3. Exploratory Outcome Measures
3.4. Intake of Supplements
3.5. Efficacy of Participant Blinding
3.6. Adverse Reactions and Treatment Discontinuation
4. Discussion
4.2. Limitations and Directions for Future Research
5. Conclusions
Supplementary Materials
Author Contributions
Funding
Institutional Review Board Statement
Informed Consent Statement
Data Availability Statement
Acknowledgments
Conflicts of Interest
References
- Sheppard, A.L.; Wolffsohn, J.S. Digital eye strain: prevalence, measurement and amelioration. BMJ Open Ophthalmol 2018, 3, e000146. [Google Scholar] [CrossRef] [PubMed]
- Al-Mohtaseb, Z.; et al. The Relationship Between Dry Eye Disease and Digital Screen Use. Clin Ophthalmol 2021, 15, 3811–3820. [Google Scholar] [CrossRef] [PubMed]
- Fietz, A.; et al. Blue Light Damage and p53: Unravelling the Role of p53 in Oxidative-Stress-Induced Retinal Apoptosis. Antioxidants (Basel) 2023, 12. [Google Scholar] [CrossRef]
- Cougnard-Gregoire, A.; et al. Blue Light Exposure: Ocular Hazards and Prevention-A Narrative Review. Ophthalmol Ther 2023, 12, 755–788. [Google Scholar] [CrossRef] [PubMed]
- Buscemi, S.; et al. The Effect of Lutein on Eye and Extra-Eye Health. Nutrients 2018, 10. [Google Scholar] [CrossRef]
- Ma, L.; Lin, X.M. Effects of lutein and zeaxanthin on aspects of eye health. J Sci Food Agric 2010, 90, 2–12. [Google Scholar] [CrossRef]
- Wilson, L.M.; et al. The Effect of Lutein/Zeaxanthin Intake on Human Macular Pigment Optical Density: A Systematic Review and Meta-Analysis. Adv Nutr 2021, 12, 2244–2254. [Google Scholar] [CrossRef]
- Mares, J. Lutein and Zeaxanthin Isomers in Eye Health and Disease. Annu Rev Nutr 2016, 36, 571–602. [Google Scholar] [CrossRef]
- Stringham, J.M.; Stringham, N.T.; O’Brien, K.J. Macular Carotenoid Supplementation Improves Visual Performance, Sleep Quality, and Adverse Physical Symptoms in Those with High Screen Time Exposure. Foods 2017, 6. [Google Scholar] [CrossRef]
- Radkar, P.; et al. A Novel Multi-Ingredient Supplement Reduces Inflammation of the Eye and Improves Production and Quality of Tears in Humans. Ophthalmol Ther 2021, 10, 581–599. [Google Scholar] [CrossRef]
- Hayes, J.R.; et al. Computer use, symptoms, and quality of life. Optom Vis Sci 2007, 84, 738–744. [Google Scholar] [CrossRef] [PubMed]
- Brott, N.R.; Ronquillo, Y. Schirmer Test. 2022.
- Segui Mdel, M.; et al. A reliable and valid questionnaire was developed to measure computer vision syndrome at the workplace. J Clin Epidemiol 2015, 68, 662–673. [Google Scholar] [CrossRef] [PubMed]
- Haymes, S.A.; Chen, J. Reliability and validity of the Melbourne Edge Test and High/Low Contrast Visual Acuity chart. Optom Vis Sci 2004, 81, 308–316. [Google Scholar] [CrossRef] [PubMed]
- Marsden, J.; Stevens, S.; Ebri, A. How to measure distance visual acuity. Community Eye Health 2014, 27, 16. [Google Scholar] [PubMed]
- Tsubota, K. Short Tear Film Breakup Time-Type Dry Eye. Invest Ophthalmol Vis Sci 2018, 59, DES64–DES70. [Google Scholar] [CrossRef] [PubMed]
- Buysse, D.J.; et al. Development and validation of patient-reported outcome measures for sleep disturbance and sleep-related impairments. Sleep 2010, 33, 781–792. [Google Scholar] [CrossRef] [PubMed]
- Groen, Y.; et al. A situation-specific approach to measure attention in adults with ADHD: The everyday life attention scale (ELAS). Appl Neuropsychol Adult 2019, 26, 411–440. [Google Scholar] [CrossRef] [PubMed]
- Messmer, E.M. The pathophysiology, diagnosis, and treatment of dry eye disease. Dtsch Arztebl Int 2015, 112, 71–81. [Google Scholar] [CrossRef] [PubMed]
- Wu, Y.; et al. Advances in Dry Eye Disease Examination Techniques. Front Med (Lausanne) 2021, 8, 826530. [Google Scholar] [CrossRef]
- Nichols, K.K.; Mitchell, G.L.; Zadnik, K. The repeatability of clinical measurements of dry eye. Cornea 2004, 23, 272–285. [Google Scholar] [CrossRef] [PubMed]
- Norn, M.S. Desiccation of the precorneal film. I. Corneal wetting-time. Acta Ophthalmol (Copenh) 1969, 47, 865–880. [Google Scholar] [CrossRef]
- Junghans, A.; Sies, H.; Stahl, W. Macular pigments lutein and zeaxanthin as blue light filters studied in liposomes. Arch Biochem Biophys 2001, 391, 160–164. [Google Scholar] [CrossRef] [PubMed]
- Karampatakis, V.; et al. Design of a novel smartphone-based photostress recovery time test for detecting abnormalities in the macula. A cross-sectional study. Ann Med Surg (Lond) 2022, 77, 103699. [Google Scholar]
- Brandl, C.; et al. Photostress Recovery Time as a Potential Predictive Biomarker for Age-Related Macular Degeneration. Transl Vis Sci Technol 2023, 12, 15. [Google Scholar] [CrossRef]
- Hu, W.; et al. Effect of Antioxidant Supplementation on Macular Pigment Optical Density and Visual Functions: A systematic review and network meta-analysis of randomized controlled trials. Adv Nutr, 2024; 100216. [Google Scholar]
- Liu, R.; et al. Lutein and zeaxanthin supplementation and association with visual function in age-related macular degeneration. Invest Ophthalmol Vis Sci 2014, 56, 252–258. [Google Scholar] [CrossRef]
- Hu, W.; et al. Effect of xanthophyll-rich food and supplement intake on visual outcomes in healthy adults and those with eye disease: a systematic review, meta-analysis, and meta-regression of randomized controlled trials. Nutr Rev 2023, 82, 34–46. [Google Scholar] [CrossRef]
- Johnson, E.J.; et al. The association between macular pigment optical density and visual function outcomes: a systematic review and meta-analysis. Eye (Lond) 2021, 35, 1620–1628. [Google Scholar] [CrossRef] [PubMed]
- Vera, J.; et al. Manipulating expectancies in optometry practice: Ocular accommodation and stereoacuity are sensitive to placebo and nocebo effects. Ophthalmic Physiol Opt 2022, 42, 1390–1398. [Google Scholar] [CrossRef]
- Wallace, J.; et al. Screen time, impulsivity, neuropsychological functions and their relationship to growth in adolescent attention-deficit/hyperactivity disorder symptoms. Sci Rep 2023, 13, 18108. [Google Scholar] [CrossRef]
- Gringras, P.; et al. Bigger, Brighter, Bluer-Better? Current Light-Emitting Devices—Adverse Sleep Properties and Preventative Strategies. Front Public Health 2015, 3, 233. [Google Scholar] [CrossRef] [PubMed]


| LZ (n=35) | Placebo (n=35) | p-value | ||
|---|---|---|---|---|
| Age | Mean | 48.26 | 46.07 | .449a |
| SE | 2.04 | 2.03 | ||
| Sex | Female (n) | 16 | 16 | 1.00b |
| Male (n) | 19 | 19 | ||
| Height (m) | Mean | 1.72 | 1.72 | .734a |
| SE | 0.01 | 0.02 | ||
| Weight (kg) | Mean | 77.29 | 76.50 | .799a |
| SE | 2.02 | 2.34 | ||
| BMI | Mean | 26.12 | 25.59 | .441a |
| SE | 0.45 | 0.51 | ||
| Systolic blood pressure (mmHg) | Mean | 123.77 | 123.03 | .833a |
| SE | 2.53 | 2.44 | ||
| Diastolic blood pressure (mmHg) | Mean | 77.69 | 79.11 | .571a |
| SE | 1.93 | 1.59 | ||
| Pulse (bpm) | Mean | 70.11 | 69.43 | .788a |
| SE | 1.69 | 1.89 | ||
| Marital status | Single | 15 | 14 | .808b |
| Married/ defacto | 20 | 21 | ||
| Educational level | Secondary | 20 | 14 | .348b |
| Tertiary | 8 | 12 | ||
| Post-graduate | 7 | 9 | ||
| International Physical Activity Questionnaires category | Low | 24 | 10 | .003b |
| Moderate | 10 | 21 | ||
| High | 1 | 4 | ||
| Occupation | Retired | 2 | 3 | .767b |
| Professional | 12 | 17 | ||
| Services and sales worker | 4 | 2 | ||
| Unemployed | 2 | 0 | ||
| Technicians and associated trades | 2 | 3 | ||
| Elementary occupation | 1 | 0 | ||
| Student | 2 | 3 | ||
| Clerical support worker | 3 | 2 | ||
| Craft and related trades worker | 1 | 1 | ||
| Manager | 6 | 4 | ||
| STT (mm) | Mean | 21.20 | 20.83 | .896b |
| SE | 2.06 | 1.95 | ||
| PSRT (sec) | Mean | 9.37 | 8.34 | .087a |
| SE | 2.49 | 1.61 | ||
| TBUT (sec) | Mean | 29.30 | 27.51 | .949a |
| SE | 3.77 | 3.43 | ||
| CS (decibel units) | Mean | 20.77 | 21.23 | .786a |
| SE | 0.34 | 0.26 | ||
| VA (metre) | Mean | 12.28 | 14.41 | .549a |
| SE | 2.21 | 2.76 | ||
| VFS total score | Mean | 11.77 | 10.40 | .552a |
| SE | 1.91 | 1.28 | ||
| CVS-Q total score | Mean | 8.40 | 6.06 | .145a |
| SE | 1.41 | 0.73 | ||
| PROMIS sleep disturbance (T-score) | Mean | 50.41 | 50.68 | .877a |
| SE | 1.36 | 1.09 | ||
| PROMIS sleep-related impairment (T-score) | Mean | 51.01 | 50.73 | .891a |
| SE | 1.64 | 1.28 | ||
| ELAS total score | Mean | 102.83 | 95.28 | .244a |
| SE | 4.95 | 4.11 | ||
| Day 0 | Day 90 | Day 180 | p-valuea | p-valueb | |||
|---|---|---|---|---|---|---|---|
| STT (mm) | Placebo (n = 31) | Mean | 21.19 | 20.94 | 19.38 | 0.136 | 0.024 |
| SE | 1.88 | 1.90 | 1.76 | ||||
| LZ (n = 29) | Mean | 20.66 | 19.70 | 22.74 | 0.123 | ||
| SE | 1.84 | 1.79 | 2.09 | ||||
| PSRT (sec) | Placebo (n = 31) | Mean | 9.10 | 11.49 | 11.36 | 0.116 | 0.063 |
| SE | 1.11 | 1.47 | 1.45 | ||||
| LZ (n = 29) | Mean | 9.72 | 8.62 | 7.91 | 0.143 | ||
| SE | 1.19 | 1.10 | 1.04 | ||||
| TBUT (sec) | Placebo (n = 31) | Mean | 28.21 | 30.57 | 27.30 | 0.694 | 0.031 |
| SE | 2.96 | 3.31 | 2.95 | ||||
| LZ (n = 29) | Mean | 25.51 | 28.53 | 33.00 | 0.005 | ||
| SE | 2.69 | 3.09 | 3.62 | ||||
| Contrast Sensitivity (db) | Placebo (n = 31) | Mean | 21.19 | 21.75 | 22.34 | 0.001 | 0.694 |
| SE | 0.24 | 0.27 | 0.27 | ||||
| LZ (n = 29) | Mean | 20.79 | 21.66 | 22.30 | < .001 | ||
| SE | 0.24 | 0.27 | 0.28 | ||||
| Visual acuity | Placebo (n = 31) | Mean | 0.664 | 0.646 | 0.627 | .148 | 0.258 |
| SE | 0.052 | 0.052 | 0.050 | ||||
| LZ (n = 29) | Mean | 0.768 | 0.740 | 0.782 | .646 | ||
| SE | 0.061 | 0.059 | 0.063 |
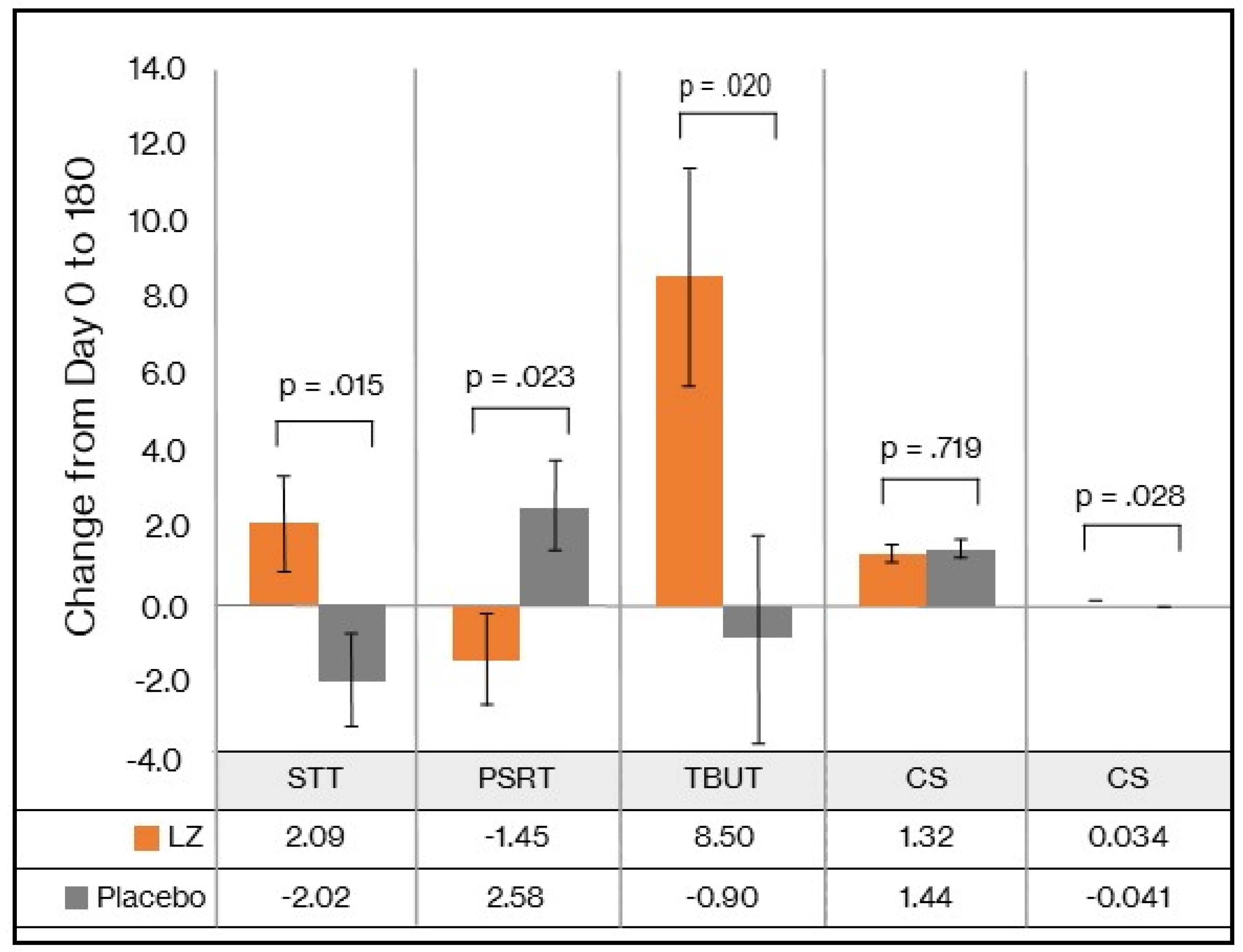
| Group | N | Mean change (day 0 to 180) | SE | 95% Confidence Interval | Cohen’s D Effect Size | P-value | ||
|---|---|---|---|---|---|---|---|---|
| Lower | Upper | |||||||
| STT (mm) | LZ | 29 | 2.09 | 1.18 | -0.27 | 4.45 | .66 | 0.015 |
| Placebo | 31 | -2.02 | 1.14 | -4.31 | 0.26 | |||
| PSRT (sec) | LZ | 29 | -1.45 | 1.23 | -3.92 | 1.01 | .62 | 0.023 |
| Placebo | 31 | 2.58 | 1.19 | 0.19 | 4.96 | |||
| TBUT (sec) | LZ | 29 | 8.50 | 2.81 | 2.86 | 14.13 | .63 | 0.020 |
| Placebo | 31 | -0.90 | 2.72 | -6.36 | 4.55 | |||
| Contrast Sensitivity (db) | LZ | 29 | 1.32 | 0.23 | 0.86 | 1.79 | .19 | 0.719 |
| Placebo | 31 | 1.44 | 0.22 | 0.99 | 1.89 | |||
| Visual acuity | LZ | 29 | 0.034 | 0.024 | -0.014 | 0.082 | .59 | 0.028 |
| Placebo | 31 | -0.041 | 0.023 | -0.088 | 0.005 | |||
| Day 0 | Day 30 | Day 60 | Day 90 | Day 120 | Day 150 | Day 180 | p-valuea | p-valueb | |||
|---|---|---|---|---|---|---|---|---|---|---|---|
| VFS | Placebo (n = 31) | Mean | 10.38 | 6.98 | 6.21 | 6.44 | 4.73 | 4.31 | 4.76 | < .001 | 0.312 |
| SE | 1.43 | 1.43 | 1.45 | 1.45 | 1.45 | 1.45 | 1.45 | ||||
| LZ (n = 29) | Mean | 11.54 | 11.17 | 8.38 | 9.25 | 8.04 | 7.76 | 7.43 | < .001 | ||
| SE | 1.43 | 1.44 | 1.44 | 1.46 | 1.47 | 1.47 | 1.47 | ||||
| CVS-Q | Placebo (n = 31) | Mean | 6.06 | 5.40 | 4.72 | 4.81 | 3.98 | 4.01 | 3.98 | 0.005 | 0.575 |
| SE | 1.02 | 1.02 | 1.04 | 1.04 | 1.04 | 1.04 | 1.04 | ||||
| LZ (n = 29) | Mean | 8.17 | 8.36 | 6.27 | 6.03 | 5.43 | 4.99 | 5.49 | < .001 | ||
| SE | 1.02 | 1.04 | 1.04 | 1.04 | 1.04 | 1.04 | 1.06 | ||||
| ELAS | Placebo (n = 31) | Mean | 95.15 | - | 96.23 | - | 100.75 | - | 96.84 | 0.610 | 0.206 |
| SE | 4.31 | - | 4.47 | - | 4.71 | - | 4.50 | ||||
| LZ (n = 29) | Mean | 102.58 | - | 96.59 | - | 102.91 | - | 106.48 | 0.292 | ||
| SE | 4.65 | - | 4.44 | - | 4.85 | - | 5.01 | ||||
| PROMIS Sleep Disturbance | Placebo (n = 31) | Mean | 50.75 | 48.86 | 48.95 | 47.40 | 49.00 | 48.32 | 47.25 | 0.001 | 0.963 |
| SE | 1.46 | 1.41 | 1.44 | 1.40 | 1.44 | 1.42 | 1.39 | ||||
| LZ (n = 29) | Mean | 50.43 | 49.71 | 49.64 | 48.23 | 50.01 | 49.69 | 48.32 | 0.060 | ||
| SE | 1.46 | 1.45 | 1.45 | 1.43 | 1.50 | 1.49 | 1.45 | ||||
| PROMIS Sleep-Related Impairment | Placebo (n = 31) | Mean | 50.59 | 48.28 | 47.76 | 46.46 | 48.73 | 48.11 | 47.13 | 0.005 | 0.730 |
| SE | 1.62 | 1.54 | 1.56 | 1.52 | 1.60 | 1.58 | 1.54 | ||||
| LZ (n = 29) | Mean | 50.98 | 51.18 | 49.08 | 47.98 | 49.32 | 48.70 | 47.19 | 0.003 | ||
| SE | 1.64 | 1.66 | 1.60 | 1.59 | 1.64 | 1.62 | 1.57 |
| AE Class | Diagnosis or symptom | Placebo (N=35) | LZ (N=35) |
|---|---|---|---|
| Muscular | n | 1 (2.9%) | 0 (0%) |
| Sore joints | 1 (2.9%) | 0 (0%) | |
| Gastrointestinal | n | 1 (2.9%) | 1 (2.9%) |
| Stomach pain/ bloating | 1 (2.9%) | 1 (2.9%) | |
| Sleep | n | 2 (5.7%) | 0 (0%) |
| Worsened sleep | 2 (5.7%) | 0 (0%) | |
| Dermatological | n | 2 (5.7%) | 0 (0%) |
| Swollen lips | 1 (2.9%) | 0 (0%) | |
| Face rash | 1 (2.9%) | 0 (0%) | |
| Ocular | n | 1 (2.9%) | 2 (5.7%) |
| Sore eyes/ eye irritation | 1 (2.9%) | 2 (5.7%) | |
| All Adverse events | n | 7 (20.0%) | 3 (8.6%) |
| Number of participants experiencing treatment-related AE* | n | 5 (14.3%) | 3 (8.6%) |
Disclaimer/Publisher’s Note: The statements, opinions and data contained in all publications are solely those of the individual author(s) and contributor(s) and not of MDPI and/or the editor(s). MDPI and/or the editor(s) disclaim responsibility for any injury to people or property resulting from any ideas, methods, instructions or products referred to in the content. |
© 2024 by the authors. Licensee MDPI, Basel, Switzerland. This article is an open access article distributed under the terms and conditions of the Creative Commons Attribution (CC BY) license (http://creativecommons.org/licenses/by/4.0/).