Submitted:
19 July 2024
Posted:
24 July 2024
You are already at the latest version
Abstract
Keywords:
1. Introduction
2. Materials and Methods
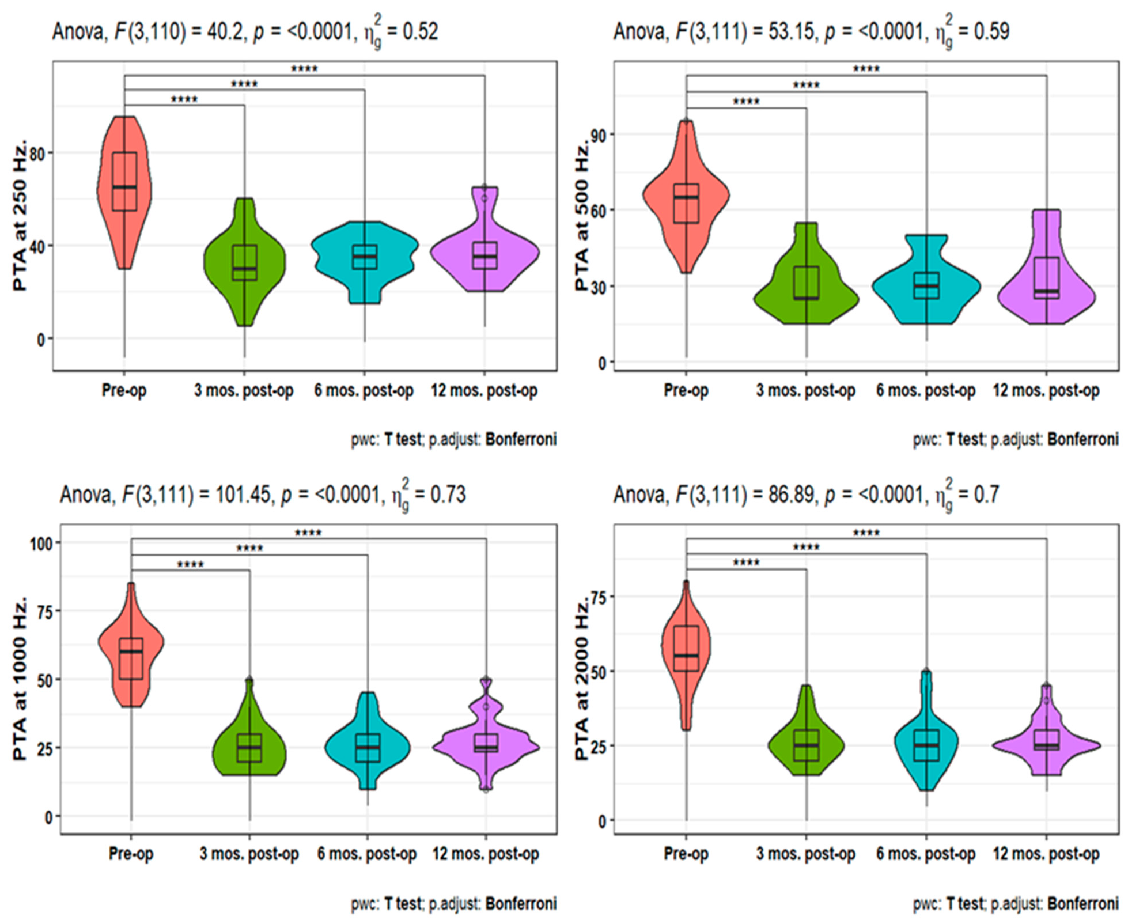
3. Results
4. Discussion
5. Conclusion
References
- “Ageing and health.” https://www.who.int/news-room/fact-sheets/detail/ageing-and-health (accessed Jul. 06, 2023).
- A.M. Goman and F. R. Lin, “Prevalence of hearing loss by severity in the United States,” Am J Public Health, vol. 106, no. 10, pp. 1820–1822, Oct. 2016. [CrossRef]
- S. H. Lim et al., “Audiologic outcomes and complications of active middle ear implantation in older adults,” Acta Otolaryngol, vol. 141, no. 7, pp. 702–706, 2021. [CrossRef]
- G. M. Sprinzl et al., “Long-Term Stability and Safety of the Soundbridge Coupled to the Round Window,” Laryngoscope, vol. 131, no. 5, pp. E1434–E1442, May 2021. [CrossRef]
- T. Chen et al., “A comparative study of MED-EL FMT attachment to the long process of the incus in intact middle ears and its attachment to disarticulated stapes head,” Hear Res, vol. 353, pp. 97–103, Sep. 2017. [CrossRef]
- R. Perez, C. Adelman, S. Chordekar, M. A. De Jong, and H. Sohmer, “The mechanism of direct stimulation of the cochlea by vibrating the round window,” J Basic Clin Physiol Pharmacol, vol. 25, no. 3, pp. 273–276, Sep. 2014. [CrossRef]
- A.Khan, T. Hillman, and D. Chen, “Vibrant soundbridge rehabilitation of sensorineural hearing loss,” Otolaryngologic Clinics of North America, vol. 47, no. 6. W.B. Saunders, pp. 927–939, 2014. [CrossRef]
- Ernst, I. Todt, and J. Wagner, “Safety and effectiveness of the Vibrant Soundbridge in treating conductive and mixed hearing loss: A systematic review,” Laryngoscope, vol. 126, no. 6. John Wiley and Sons Inc., pp. 1451–1457, Jun. 01, 2016. [CrossRef]
- Grégoire, J. P. Van Damme, C. Gilain, B. Bihin, and P. Garin, “Our auditory results using the Vibrant Soundbridge on the long process of the incus: 20 years of data,” Auris Nasus Larynx, vol. 45, no. 1, pp. 66–72, Feb. 2018. [CrossRef]
- T. Rahne et al., “A retrospective European multicenter analysis of the functional outcomes after active middle ear implant surgery using the third generation vibroplasty couplers,” European Archives of Oto-Rhino-Laryngology, vol. 278, no. 1, pp. 67–75, Jan. 2021. [CrossRef]
- M. B. Alkhodair, T. A. Mesallam, A. Hagr, and M. F. Yousef, “Arabic version of short form of the speech, spatial, and qualities of hearing scale (SSQ12),” Saudi Med J, vol. 42, no. 11, pp. 1180–1185, Nov. 2021. [CrossRef]
- U. Fisch et al., “Clinical Experience with the Vibrant Soundbridge Implant Device,” 2001.
- Fraysse et al., “A Multicenter Study of the Vibrant Soundbridge Middle Ear Implant: Early Clinical Results and Experience,” 2001.
- A. Sterkers et al., “A Middle Ear Implant, the Symphonix Vibrant Soundbridge: Retrospective Study of the First 125 Patients Implanted in France,” 2003.
- M. Luetje et al., “Phase III clinical trial results with the Vibrant Soundbridge implantable middle ear hearing device: A prospective controlled multicenter study,” Otolaryngology - Head and Neck Surgery, vol. 126, no. 2, pp. 97–107, 2002. [CrossRef]
- “Baumgartner”.
- F. Alzhrani, R. Halawani, and M. Yousef, “Feasibility and Efficacy of Vibrant Soundbridge Short Process Coupler in Patients With Aural Atresia,” Otol Neurotol, vol. 41, no. 10, pp. e1219–e1223, Dec. 2020. [CrossRef]
- Y. Al-shawi, L. Alsughayer, A. Alradhi, and F. Alzhrani, “Middle Ear Implant in a Patient With Fibrous Dysplasia: An Alternative for Hearing Restoration,” Ear Nose Throat J, vol. 100, no. 3_suppl, pp. 207S-211S, Jun. 2021. [CrossRef]
- F. Alzhrani, S. F. Alhabib, and M. Yousef, “Speech performance and subjective satisfaction of middle ear implant in congenital aural atresia,” Acta Otorhinolaryngologica Italica, vol. 42, no. 2, pp. 182–188, Apr. 2022. [CrossRef]
- A. Ernst, I. Todt, and J. Wagner, “Safety and effectiveness of the Vibrant Soundbridge in treating conductive and mixed hearing loss: A systematic review,” Laryngoscope, vol. 126, no. 6. John Wiley and Sons Inc., pp. 1451–1457, Jun. 01, 2016. [CrossRef]
- G. M. Sprinzl et al., “Long-Term Stability and Safety of the Soundbridge Coupled to the Round Window,” Laryngoscope, vol. 131, no. 5, pp. E1434–E1442, May 2021. [CrossRef]
- L. Lassaletta, M. Calvino, I. Sánchez-Cuadrado, R. M. Pérez-Mora, E. Muñoz, and J. Gavilán, “Pros and Cons of Round Window Vibroplasty in Open Cavities: Audiological, Surgical, and Quality of Life Outcomes,” Otology & Neurotology, Inc, 2015.
- Rameh, R. Meller, J.-P. Lavieille, A. Deveze, and J. Magnan, “Long-Term Patient Satisfaction With Different Middle Ear Hearing Implants in Sensorineural Hearing Loss.”.
- Vincent, B. Fraysse, J. P. Lavieille, E. Truy, O. Sterkers, and F. M. Vaneecloo, “A longitudinal study on postoperative hearing thresholds with the Vibrant Soundbridge device,” European Archives of Oto-Rhino-Laryngology, vol. 261, no. 9, pp. 493–496, Oct. 2004. [CrossRef]
- A. Wolf-Magele, J. Schnabl, T. Woellner, V. Koci, H. Riechelmann, and G. M. Sprinzl, “Active Middle Ear Implantation in Elderly People: A Retrospective Study,” 2011.
- F. Brkic et al., “Long-Term Outcome of Hearing Rehabilitation With An Active Middle Ear Implant,” Laryngoscope, vol. 129, no. 2, pp. 477–481, Feb. 2019. [CrossRef]
- J. W. Zwartenkot, J. J. S. Mulder, A. F. M. Snik, C. W. R. J. Cremers, and E. A. M. Mylanus, “Active Middle Ear Implantation: Long-term Medical and Technical Follow-up, Implant Survival, and Complications,” 2016. [Online]. Available: http://links.lww.com/MAO/A382.
- L. Colletti, M. Mandalà, and V. Colletti, “Long-term outcome of round window vibrant soundbridge implantation in extensive ossicular chain defects,” Otolaryngology - Head and Neck Surgery (United States), vol. 149, no. 1, pp. 134–141, Jul. 2013. [CrossRef]
- †nicolas Schmuziger, F. Schimmann, ‘ Wengen, †jochen Patscheke, and R. Probst, “Long-Term Assessment after Implantation of the Vibrant Soundbridge Device,” 2006.









Disclaimer/Publisher’s Note: The statements, opinions and data contained in all publications are solely those of the individual author(s) and contributor(s) and not of MDPI and/or the editor(s). MDPI and/or the editor(s) disclaim responsibility for any injury to people or property resulting from any ideas, methods, instructions or products referred to in the content. |
© 2024 by the authors. Licensee MDPI, Basel, Switzerland. This article is an open access article distributed under the terms and conditions of the Creative Commons Attribution (CC BY) license (http://creativecommons.org/licenses/by/4.0/).