Submitted:
18 July 2024
Posted:
18 July 2024
You are already at the latest version
Abstract
Keywords:
1. Introduction
2. Test statistic
3. Asymptotic theory
4. Simulation study
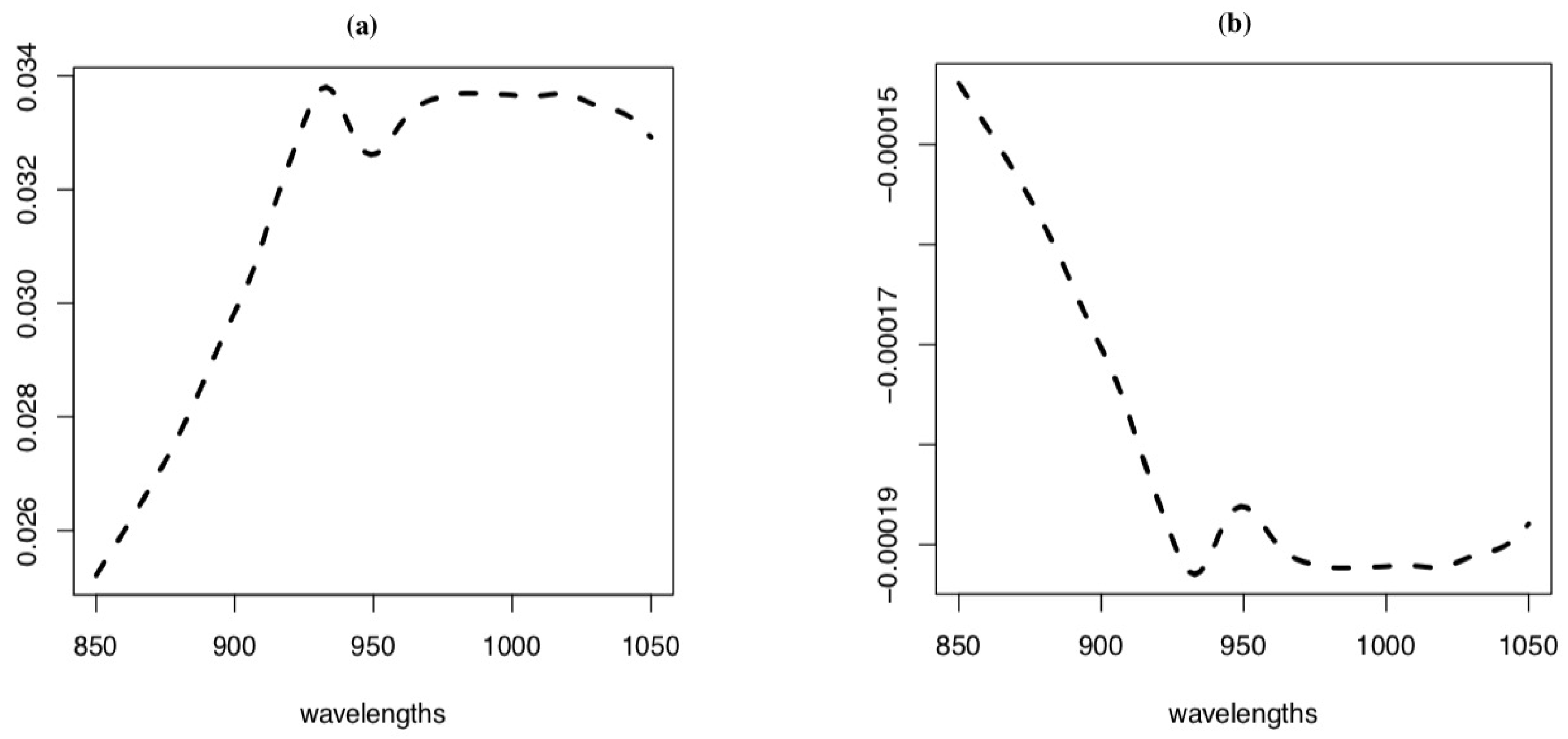
5. Application
6. Conclusion
Author Contributions
Funding
Data Availability Statement
Acknowledgments
Conflicts of Interest
Appendix A
- Group 1: , , , , , , , , , .
- Group 2: , , , , , .
References
- Crainiceanu, C.M.; Staicu, A.M.; Di, C.Z. Generalized multilevel functional regression. Journal of the American Statistical Association 2009, 104, 1550–1561. [Google Scholar] [CrossRef] [PubMed]
- Leng, X. Müller, H.G. Time ordering of gene co-expression. Biostatistics 2006, 7, 569–584. [Google Scholar] [CrossRef] [PubMed]
- Kokoszka, P.; Miao, H.; Zhang, X. Functional Dynamic Factor Model for Intraday Price Curves. Journal of Financial Econometrics 2014, 13, 456–477. [Google Scholar] [CrossRef]
- Ignaccolo, R. and Ghigo, S. and Giovenali, E. Analysis of air quality monitoring networks by functional clustering. Environmetrics 2008, 19, 672–686. [Google Scholar] [CrossRef]
- Yao, F.; Müller, H.G. Functional quadratic regression. Biometrika 2010, 97, 49–64. [Google Scholar] [CrossRef]
- Lian, H. Functional partial linear model. Journal of Nonparametric Statistics 2011, 23, 115–128. [Google Scholar] [CrossRef]
- Zhou, J.; Chen, M. Spline estimators for semi-functional linear model. Statistics & Probability Letters 2012, 82, 505–513. [Google Scholar] [CrossRef]
- Tang, Q. Estimation for semi-functional linear regression. Statistics 2015, 49, 1262–1278. [Google Scholar] [CrossRef]
- Cardot, H.; Ferraty, F.; Mas, A.; Sarda, P. Testing hypotheses in the functional linear model. Scandinavian Journal of Statistics 2003, 30, 241–255. [Google Scholar] [CrossRef]
- Kokoszka, P.; Maslova, I.; Sojka, J.; Zhu, L. Testing for lack of dependence in the functional linear model. Canadian Journal of Statistics 2008, 36, 207–222. [Google Scholar] [CrossRef]
- James, G.M.; Wang, J.; and Zhu, J. Functional linear regression that’s interpretable. The Annals of Statistics 2009, 37, 2083–2108. [Google Scholar] [CrossRef]
- Shin, H. Partial functional linear regression. Journal of Statistical Planning and Inference 2009, 139, 3405–3418. [Google Scholar] [CrossRef]
- Yu, P.; Zhang, Z.; Du, J. A test of linearity in partial functional linear regression. Metrika 2016, 79, 953–969. [Google Scholar] [CrossRef]
- hu, H.; Zhang, R.; Yu, Z.; Lian, H,; Liu, Y. Estimation and testing for partially functional linear errors-in-variables models. Journal of Multivariate Analysis 2019, 170, 296–314. [Google Scholar] [CrossRef]
- Cardot, H.; Goia, A.; Sarda, P. Testing for no effect in functional linear regression models, some computational approaches. Communications in Statistics-Simulation and Computation 2004, 33, 179–199. [Google Scholar] [CrossRef]
- Zhu, H.; Zhang, R.; Li, H. Estimation on semi-functional linear errors-in-variables models. Communications in Statistics-Theory and Methods 2019, 48, 4380–4393. [Google Scholar] [CrossRef]
- Zhou, J,; Peng, Q. Estimation for functional partial linear models with missing responses. Statistics & Probability Letters 2020, 156, 108598. [Google Scholar] [CrossRef]
- Zhao, F.; Zhang, B. Testing Linearity in Functional Partially Linear Models. Acta Mathematicae Applicatae Sinica, English Series 2024, 40, 875–886. [Google Scholar] [CrossRef]
- Hu, W.; and Lin, N.; Zhang, B. Nonparametric testing of lack of dependence in functional linear models. PLoS ONE 2020, 15, e0234094. [Google Scholar] [CrossRef]
- Zhao, F.; Lin, N.; Hu, W.; Zhang, B. A faster U-statistic for testing independence in the functional linear models. Journal of Statistical Planning and Inference 2022, 217, 188–203. [Google Scholar] [CrossRef]
- Zhao, F.; Lin, N.; Zhang, B. A new test for high-dimensional regression coefficients in partially linear models. Canadian Journal of Statistics 2023, 51, 5–18. [Google Scholar] [CrossRef]
- Cui, H.; Guo, W.; Zhong, W. Test for high-dimensional regression coefficients using refitted cross-validation variance estimation. The Annals of Statistics 2018, 46, 958–988. [Google Scholar] [CrossRef]
- Zhong, P.; Chen, S. Tests for High-Dimensional Regression Coefficients With Factorial Designs. Journal of the American Statistical Association 2011, 106, 260–274. [Google Scholar] [CrossRef]
- Chen, S.; Zhang, L.; Zhong, P. Tests for high-dimensional covariance matrices. Journal of the American Statistical Association 2010, 105, 810–819. [Google Scholar] [CrossRef]
- Ferraty, F.; c and Vieu, P. Nonparametric functional data analysis: theory and practice; Springer: New York, USA, 2006. [Google Scholar]
- Shang, H.L. Bayesian bandwidth estimation for a semi-functional partial linear regression model with unknown error density. Computational Statistics 2014, 29, 829–848. [Google Scholar] [CrossRef]
- Yu, P.; Zhang, Z.; Du, J. Estimation in functional partial linear composite quantile regression model. Chinese Journal of Applied Probability and Statistics 2017, 33, 170–190. [Google Scholar] [CrossRef]





| c | N(0,1) | t(3) | lnorm(0,1) | ||||||
|---|---|---|---|---|---|---|---|---|---|
| (50,11) | 0 | 0.069 | 0.060 | 0.074 | 0.077 | 0.071 | 0.071 | 0.084 | 0.053 |
| 0.05 | 0.097 | 0.101 | 0.133 | 0.102 | 0.135 | 0.107 | 0.148 | 0.111 | |
| 0.1 | 0.250 | 0.211 | 0.292 | 0.244 | 0.269 | 0.225 | 0.337 | 0.283 | |
| 0.15 | 0.474 | 0.383 | 0.555 | 0.448 | 0.494 | 0.415 | 0.576 | 0.470 | |
| 0.2 | 0.713 | 0.584 | 0.761 | 0.631 | 0.738 | 0.602 | 0.755 | 0.656 | |
| (100,11) | 0 | 0.049 | 0.052 | 0.055 | 0.052 | 0.058 | 0.059 | 0.049 | 0.052 |
| 0.05 | 0.233 | 0.195 | 0.275 | 0.225 | 0.217 | 0.195 | 0.312 | 0.268 | |
| 0.1 | 0.689 | 0.603 | 0.746 | 0.660 | 0.715 | 0.618 | 0.743 | 0.652 | |
| 0.15 | 0.961 | 0.877 | 0.956 | 0.913 | 0.963 | 0.899 | 0.931 | 0.884 | |
| 0.2 | 0.998 | 0.984 | 0.986 | 0.975 | 0.995 | 0.975 | 0.978 | 0.965 | |
| (100,49) | 0 | 0.057 | 0.060 | 0.050 | 0.061 | 0.051 | 0.049 | 0.055 | 0.047 |
| 0.05 | 0.224 | 0.203 | 0.282 | 0.255 | 0.236 | 0.225 | 0.305 | 0.288 | |
| 0.1 | 0.741 | 0.607 | 0.757 | 0.665 | 0.718 | 0.615 | 0.747 | 0.659 | |
| 0.15 | 0.962 | 0.900 | 0.947 | 0.871 | 0.950 | 0.884 | 0.938 | 0.886 | |
| 0.2 | 0.998 | 0.981 | 0.987 | 0.977 | 0.997 | 0.978 | 0.988 | 0.969 | |
| c | N(0,1) | t(3) | lnorm(0,1) | ||||||
|---|---|---|---|---|---|---|---|---|---|
| (50,11) | 0 | 0.062 | 0.064 | 0.072 | 0.069 | 0.071 | 0.072 | 0.060 | 0.054 |
| 0.05 | 0.087 | 0.091 | 0.109 | 0.096 | 0.112 | 0.103 | 0.117 | 0.106 | |
| 0.1 | 0.235 | 0.197 | 0.250 | 0.219 | 0.241 | 0.208 | 0.293 | 0.249 | |
| 0.15 | 0.420 | 0.359 | 0.502 | 0.419 | 0.449 | 0.389 | 0.506 | 0.449 | |
| 0.2 | 0.658 | 0.545 | 0.724 | 0.605 | 0.694 | 0.573 | 0.735 | 0.638 | |
| (100,11) | 0 | 0.062 | 0.062 | 0.050 | 0.046 | 0.063 | 0.060 | 0.054 | 0.060 |
| 0.05 | 0.217 | 0.205 | 0.239 | 0.219 | 0.235 | 0.208 | 0.255 | 0.240 | |
| 0.1 | 0.668 | 0.568 | 0.714 | 0.617 | 0.696 | 0.605 | 0.748 | 0.644 | |
| 0.15 | 0.946 | 0.874 | 0.947 | 0.883 | 0.946 | 0.852 | 0.927 | 0.873 | |
| 0.2 | 0.996 | 0.980 | 0.993 | 0.972 | 1.000 | 0.979 | 0.987 | 0.964 | |
| (100,49) | 0 | 0.050 | 0.062 | 0.056 | 0.063 | 0.047 | 0.067 | 0.060 | 0.056 |
| 0.05 | 0.226 | 0.216 | 0.249 | 0.202 | 0.209 | 0.199 | 0.277 | 0.256 | |
| 0.1 | 0.674 | 0.562 | 0.734 | 0.611 | 0.692 | 0.582 | 0.733 | 0.639 | |
| 0.15 | 0.943 | 0.873 | 0.943 | 0.890 | 0.941 | 0.855 | 0.925 | 0.889 | |
| 0.2 | 0.997 | 0.976 | 0.994 | 0.981 | 0.998 | 0.980 | 0.982 | 0.955 | |
| c | N(0,1) | t(3) | lnorm(0,1) | ||||||
|---|---|---|---|---|---|---|---|---|---|
| (50,11) | 0 | 0.097 | 0.066 | 0.088 | 0.076 | 0.096 | 0.074 | 0.104 | 0.059 |
| 0.25 | 0.378 | 0.454 | 0.442 | 0.518 | 0.389 | 0.443 | 0.487 | 0.572 | |
| 0.5 | 0.589 | 0.695 | 0.669 | 0.749 | 0.610 | 0.702 | 0.725 | 0.783 | |
| 0.75 | 0.765 | 0.832 | 0.811 | 0.861 | 0.769 | 0.847 | 0.832 | 0.882 | |
| 1 | 0.865 | 0.917 | 0.883 | 0.925 | 0.867 | 0.912 | 0.889 | 0.922 | |
| (100,11) | 0 | 0.060 | 0.067 | 0.086 | 0.064 | 0.072 | 0.058 | 0.062 | 0.049 |
| 0.25 | 0.511 | 0.711 | 0.582 | 0.738 | 0.569 | 0.739 | 0.618 | 0.760 | |
| 0.5 | 0.820 | 0.932 | 0.857 | 0.932 | 0.846 | 0.922 | 0.841 | 0.924 | |
| 0.75 | 0.949 | 0.984 | 0.943 | 0.975 | 0.935 | 0.973 | 0.917 | 0.967 | |
| 1 | 0.982 | 0.998 | 0.971 | 0.986 | 0.971 | 0.989 | 0.958 | 0.984 | |
| (100,49) | 0 | 0.245 | 0.064 | 0.224 | 0.058 | 0.236 | 0.058 | 0.202 | 0.048 |
| 0.25 | 0.541 | 0.498 | 0.570 | 0.543 | 0.534 | 0.501 | 0.563 | 0.564 | |
| 0.5 | 0.754 | 0.771 | 0.804 | 0.807 | 0.767 | 0.776 | 0.769 | 0.798 | |
| 0.75 | 0.884 | 0.910 | 0.899 | 0.936 | 0.899 | 0.904 | 0.879 | 0.887 | |
| 1 | 0.957 | 0.966 | 0.949 | 0.968 | 0.956 | 0.964 | 0.928 | 0.934 | |
| c | N(0,1) | t(3) | lnorm(0,1) | ||||||
|---|---|---|---|---|---|---|---|---|---|
| (50,11) | 0 | 0.099 | 0.069 | 0.087 | 0.075 | 0.086 | 0.063 | 0.101 | 0.064 |
| 0.25 | 0.353 | 0.420 | 0.423 | 0.484 | 0.383 | 0.434 | 0.482 | 0.538 | |
| 0.5 | 0.574 | 0.661 | 0.640 | 0.714 | 0.602 | 0.677 | 0.695 | 0.758 | |
| 0.75 | 0.751 | 0.806 | 0.783 | 0.849 | 0.750 | 0.814 | 0.804 | 0.860 | |
| 1 | 0.841 | 0.893 | 0.869 | 0.913 | 0.842 | 0.897 | 0.874 | 0.913 | |
| (100,11) | 0 | 0.067 | 0.058 | 0.060 | 0.054 | 0.065 | 0.055 | 0.072 | 0.059 |
| 0.25 | 0.486 | 0.662 | 0.545 | 0.713 | 0.537 | 0.697 | 0.591 | 0.742 | |
| 0.5 | 0.783 | 0.901 | 0.819 | 0.906 | 0.814 | 0.907 | 0.832 | 0.916 | |
| 0.75 | 0.930 | 0.983 | 0.918 | 0.966 | 0.930 | 0.980 | 0.915 | 0.955 | |
| 1 | 0.976 | 0.996 | 0.959 | 0.983 | 0.977 | 0.994 | 0.954 | 0.972 | |
| (100,49) | 0 | 0.236 | 0.066 | 0.212 | 0.066 | 0.218 | 0.061 | 0.243 | 0.065 |
| 0.25 | 0.543 | 0.475 | 0.540 | 0.506 | 0.526 | 0.480 | 0.658 | 0.612 | |
| 0.5 | 0.744 | 0.745 | 0.781 | 0.791 | 0.747 | 0.750 | 0.835 | 0.815 | |
| 0.75 | 0.885 | 0.892 | 0.890 | 0.911 | 0.875 | 0.891 | 0.913 | 0.913 | |
| 1 | 0.948 | 0.964 | 0.937 | 0.956 | 0.938 | 0.955 | 0.947 | 0.956 | |
Disclaimer/Publisher’s Note: The statements, opinions and data contained in all publications are solely those of the individual author(s) and contributor(s) and not of MDPI and/or the editor(s). MDPI and/or the editor(s) disclaim responsibility for any injury to people or property resulting from any ideas, methods, instructions or products referred to in the content. |
© 2024 by the authors. Licensee MDPI, Basel, Switzerland. This article is an open access article distributed under the terms and conditions of the Creative Commons Attribution (CC BY) license (http://creativecommons.org/licenses/by/4.0/).