Submitted:
15 July 2024
Posted:
16 July 2024
You are already at the latest version
Abstract

Keywords:
1. Introduction
2. Experimental
2.1. Materials
2.2. Coating Preparation & Deposition
2.3. Characterisation & Sample Treatments
3. Results and discussion
3.1. Surface Morphology and Wetting Properties vs NP Concentration
3.2. Selection of NP Concentration
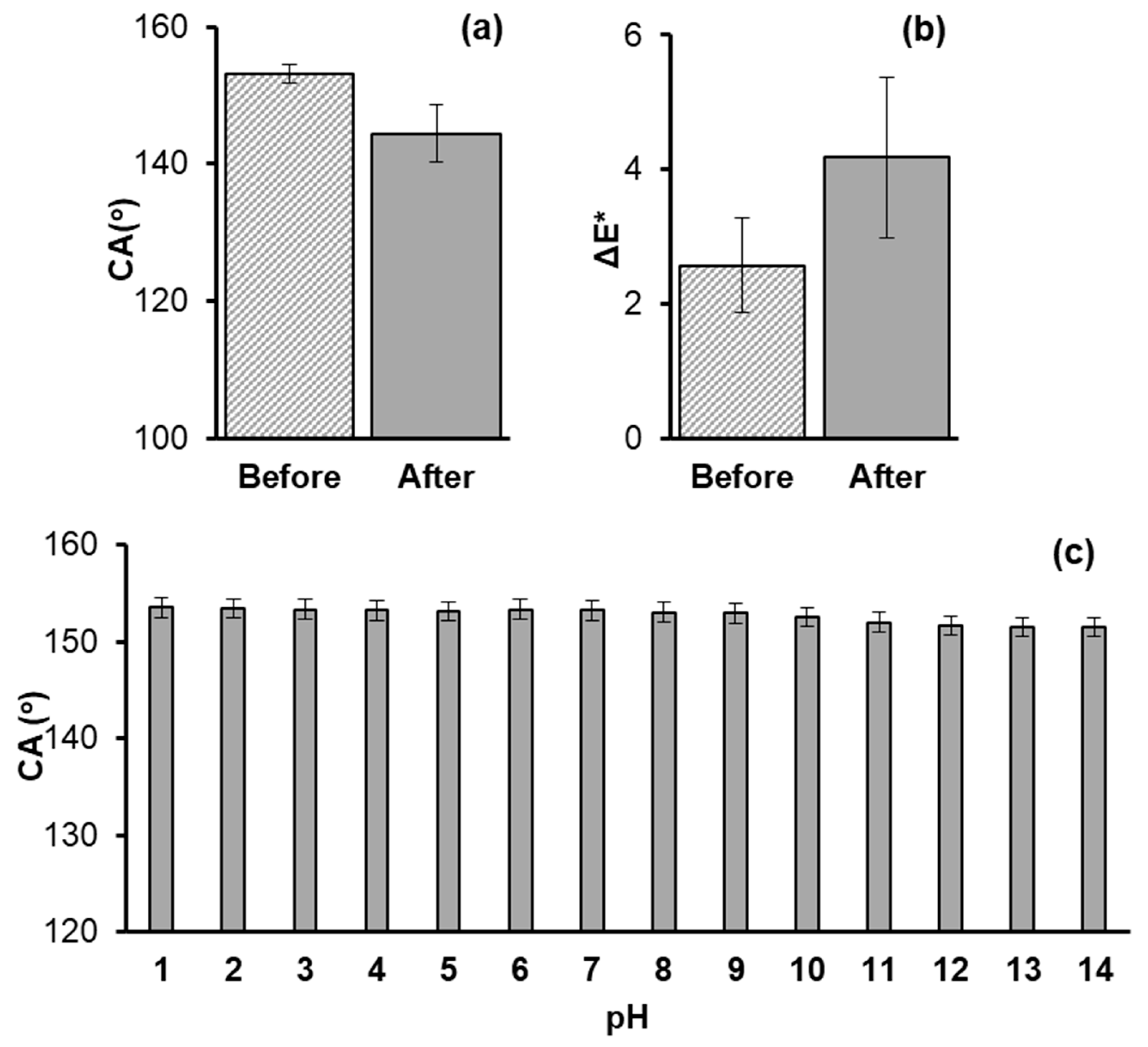
3.3. Chemical (Photocatalytic) Self-Cleaning & Biocide Activity
3.4. Other Tests
4. Conclusions
Acknowledgements
References
- Gomollón-Bel F. IUPAC top ten emerging technologies in chemistry 2021. In: Breakthroughs for a circular, climate-neutral future 2021, 43, 13–20.
- Khan, M.Z.; Militky, J.; Petru, M.; Tomková, B.; Ali, A.; Tören, E.; Perveen, S. Recent advances in superhydrophobic surfaces for practical applications: A review. Eur Polym J 2022, 178, 111481. [Google Scholar] [CrossRef]
- Mei, J.; Guo, R.; Sun, Z. Tunable wettability on metal oxide surfaces for future applications. Coordin Chem Rev 2024, 510, 215843. [Google Scholar] [CrossRef]
- Samal, S.K.; Mohanty, S.; Nayak, S.K. (Eds) Superhydrophobic Polymer Coatings Fundamentals, Design, Fabrication, and Applications, Elsevier: Amsterdam, The Netherlands, 2019.
- Hosseini, M.; Karapanagiotis, I. Materials with Extreme Wetting Properties. Methods and Emerging Industrial Applications, Springer: Cham, Switzerland, 2021.
- Karapanagiotis, I.; Manoudis, P.N. Superhydrophobic and superamphiphobic materials for the conservation of natural stone: an overview. Constr Build Mater 2022, 320, 126175. [Google Scholar] [CrossRef]
- Wheeler, G. Alkoxysilanes and the Consolidation of Stone, The Getty Conservation Institute: Los Angeles, CA, USA, 2005.
- Manoudis, P.N.; Karapanagiotis, I.; Tsakalof, A.; Zuburtikudis, I.; Panayiotou, C. Superhydrophobic composite films produced on various substrates. Langmuir 2008, 24, 11225–11232. [Google Scholar] [CrossRef]
- Karapanagiotis, I.; Manoudis, P.P. Superhydrophobic and water repellent polymer-nanoparticle composite films. In Industrial Applications for Intelligent Polymers and Coatings; Hosseini, M., Makhlouf, A.S.H., Eds.; Springer: Cham, Switzerland, 2016; pp. 205–221. [Google Scholar]
- Manoudis, P.N.; Tsakalof, A.; Karapanagiotis, I.; Zuburtikudis, I.; Panayiotou, C. Fabrication of super-hydrophobic surfaces for enhanced stone protection. Surf Coat Technol 2009, 203, 1322–1328. [Google Scholar] [CrossRef]
- Manoudis, P.N.; Karapanagiotis, I.; Tsakalof, A.; Zuburtikudis, I.; Kolinkeová, B.; Panayiotou, C. Superhydrophobic films for the protection of outdoor cultural heritage assets. Appl Phys A - Mater 2009, 97, 351–360. [Google Scholar] [CrossRef]
- Aslanidou, D.; Karapanagiotis, I.; Lampakis, D. Waterborne superhydrophobic and superoleophobic coatings for the protection of marble and sandstone. Materials 2018, 11, 585. [Google Scholar] [CrossRef]
- Mosquera, M.J.; Carrascosa, L.A.M.; Badreldin, N. Producing superhydrophobic / oleophobic coatings on cultural heritage building materials. Pure Appl Chem 2018, 90, 551–561. [Google Scholar] [CrossRef]
- Elhaddad, F.; Luna, M.; Gemelli, G.M.C.; Gil, M.L.A.; Mosquera, M.J. Effectiveness and durability assessment, under extreme environmental conditions, of a superhydrophobic coating applied onto sandstone from Carteia roman archaeological site. Chem Eng Sci 2023, 265, 118236. [Google Scholar] [CrossRef]
- Guo, L.; Wang, L.; Zhao, X.; Peng, M. Non-whitening superhydrophobic coating for heritage protection. Colloid Surface A 2023, 676, 132294. [Google Scholar] [CrossRef]
- Manoudis, P.N.; Chughtai, Z.; Tsiridis, V.; Evgenidis, S.P.; Spathis, P.K.; Karapantsios, T.D.; Karapanagiotis, I. Tuning the wettability of a commercial silane product to induce superamphiphobicity for stone protection. Coatings 2023, 13, 700. [Google Scholar] [CrossRef]
- Chatzigrigoriou, A.; Karapanagiotis, I.; Poulios, I. Superhydrophobic coatings based on siloxane resin and calcium hydroxide nanoparticles for marble protection. Coatings 2020, 10, 334. [Google Scholar] [CrossRef]
- Gkrava, E.; Tsiridis, V.; Manoudis, P.; Zorba, T.; Pavlidou, E.; Konstantinidis, A.; Karapantsios, T.D.; Spathis, P.K.; Karapanagiotis, I. A robust superhydrophobic coating of siloxane resin and hydrophobic calcium carbonate nanoparticles for limestone protection. Mater Today Commun 2024, 38, 108393. [Google Scholar] [CrossRef]
- Helmi, F.M.; Hefni, Y.K. Using nanocomposites in the consolidation and protection of sandstone. Int J Conserv Sci 2016, 7, 29–40. [Google Scholar]
- Hefni, Y.K. Hydrophobic zinc oxide nanocomposites for consolidation and protection of quartzite sculptures: a case study. J Nano Res 2020, 63, 64–75. [Google Scholar] [CrossRef]
- Barthlott, W.; Neinhuis, C. Purity of the sacred lotus, or escape from contamination in biological surfaces. Planta 1997, 202, 1–8. [Google Scholar] [CrossRef]
- Nakata, K.; Fujishima, A. TiO2 photocatalysis: design and applications. J Photoch Photobio C 2012, 13, 169–189. [Google Scholar] [CrossRef]
- Kapridaki, C.; Maravelaki-Kalaitzaki, P. TiO2–SiO2–PDMS nano-composite hydrophobic coating with self-cleaning properties for marble protection. Prog Org Coat 2013, 76, 400–410. [Google Scholar] [CrossRef]
- La Russa, M.F.; Rovella, N.; De Buergo, M.A.; Belfiore, C.M.; Pezzino, A.; Crisci, G.M.; Ruffolo, S.A. Nano-TiO2coatings for cultural heritage protection: The role of the binder on hydrophobic and self-cleaning efficacy. Prog Org Coat 2016, 91, 1–8. [Google Scholar] [CrossRef]
- Crupi, V.; Fazio, B.; Gessini, A.; Kis, Z.; La Russa, M.F.; Majolino, D.; Masciovecchio, C.; Ricca, M.; Rossi, B.; Ruffolo, S.A.; Venuti, V. TiO2–SiO2–PDMS nanocomposite coating with self-cleaning effect for stone material: Finding the optimal amount of TiO2. Constr Build Mater 2018, 166, 464–471. [Google Scholar] [CrossRef]
- Colangiuli, D.; Lettieri, M.; Masieri, M.; Calia, A. Field study in an urban environment of simultaneous self-cleaning and hydrophobic nanosized TiO2-based coatings on stone for the protection of building surface. Sci Total Environ 2019, 650, 2919–2930. [Google Scholar] [CrossRef] [PubMed]
- Cao, Y.; Salvini, A.; Camaiti, M. Multi-functional TiO2-based nanocomposite coating with durable superhydrophobicity and enhanced photocatalytic and antimicrobial properties for the sustainable maintenance of building stones. Constr Build Mater 2023, 404, 133139. [Google Scholar] [CrossRef]
- O'Neill, S.; Robertson, J.M.C.; Héquet, V.; Chazarenc, F.; Pang, X.; Ralphs, K.; Skillen, N.; Robertson, P.K.J. Comparison of titanium dioxide and zinc oxide photocatalysts for the inactivation of Escherichia coli in water using slurry and rotating-disk photocatalytic reactors. Ind Eng Chem Res 2023, 62, 18952–18959. [Google Scholar] [CrossRef] [PubMed]
- Tokarský, J.; Martinec, P.; Mamulová Kutláková, K.; Ovčačiková, H.; Študentová, S.; Ščučka, J. Photoactive and hydrophobic nano-ZnO/poly (alkyl siloxane) coating for the protection of sandstone. Constr Build Mater 2019, 199, 549–559. [Google Scholar] [CrossRef]
- Speziale, A.; González-Sánchez, J.F.; Taşcı, B.; Pastor, A.; Sánchez, L.; Fernández-Acevedo, C.; Oroz-Mateo, T.; Salazar, C.; Navarro-Blasco, I.; Fernández, J.M.; Alvarez, J.I. Development of multifunctional coatings for protecting stones and lime mortars of the architectural heritage. Int J Archit Herit 2020, 14, 1008–1029. [Google Scholar] [CrossRef]
- Weththimuni, M.L.; Chobba, M.B.; Sacchi, D.; Messaoud, M.; Licchelli, M. Durable polymer coatings: A comparative study of PDMS-based nanocomposites as protective coatings for stone materials. Chemistry 2022, 4, 60–76. [Google Scholar] [CrossRef]
- Tena-Santafé, V.M.; Fernández, J.M.; Fernández-Acevedo, C.; Oroz-Mateo, T.; Navarro-Blasco, Í.; Álvarez, J.I. Development of photocatalytic coatings for building materials with Bi2O3-ZnO nanoparticles. Catalysts 2023, 13, 1412. [Google Scholar] [CrossRef]
- De la Rosa-García, S.; Sierra-Fernández, A.; Solís, C.G.; García, N.S.; Quintana, P.; Gómez-Cornelio, S.; Fort, R. Fungal community dynamics on limestone at the Chichén Itzá archaeological site in Mexico driven by protective treatments. Sci Total Environ 2024, 906, 167563. [Google Scholar] [CrossRef] [PubMed]
- Izzi, M.; Sportelli, M.C.; Picca, R.A.; Cioffi, N. Electrochemical synthesis and analytical characterization of hybrid zinc/calcium antimicrobial nano-oxides for cultural heritage applications. ChemElectroChem 2023, 10, e202201132. [Google Scholar] [CrossRef]
- Lázaro-Mass, S.; De la Rosa-García, S.; García-Solis, C.; Reyes-Trujeque, J.; Soria-Castro, M.; Fuentes, A.F.; Quintana, P.; Gómez-Cornelio, S. Controlling growth of phototrophic biofilms on limestone using CaZn2(OH)6·2H2O and ZnO nanoparticles. J Chem Technol Biotechnol 2022, 97, 3011–3023. [Google Scholar] [CrossRef]
- Schifano, E.; Cavallini, D.; De Bellis, G.; Bracciale, M.P.; Felici, A.C.; Santarelli, M.L.; Sarto, M.S.; Uccelletti, D. Antibacterial effect of zinc oxide-based nanomaterials on environmental biodeteriogens affecting historical building. Nanomaterials 2020, 10, 335. [Google Scholar] [CrossRef] [PubMed]
- Becerra, J.; Ortiz, P.; Zaderenko, A.P.; Karapanagiotis, I. Assessment of nanoparticles/nanocomposites to inhibit micro-algal fouling on limestone façades. Build Res Inf 2020, 48, 180–190. [Google Scholar] [CrossRef]
- Ditaranto, N.; Van der Werf, I.D.; Picca, R.A.; Sportelli, M.C.; Giannossa, L.C.; Bonerba, E.; Tantillo, G.; Sabbatini, L. Characterization and behaviour of ZnO-based nanocomposites designed for the control of biodeterioration of patrimonial stone works. New J Chem 2015, 39, 6836–6843. [Google Scholar] [CrossRef]
- Sierra-Fernandez, A.; De la Rosa-García, S.C.; Gomez-Villalba, L.S.; Gómez-Cornelio, S.; Rabanal, M.E.; Fort, R.; Quintana, P. Synthesis, photocatalytic, and antifungal properties of MgO, ZnO and Zn/Mg oxide nanoparticles for the protection of calcareous stone heritage. ACS Appl Mater Interfaces 2017, 9, 24873–24886. [Google Scholar] [CrossRef]
- Aldosari, M.A.; Darwish, S.S.; Adam, M.A.; Elmarzugi, N.A.; Ahmed, S.M. Using ZnO nanoparticles in fungal inhibition and self-protection of exposed marble columns in historic sites. Archaeol Anthrop Sci 2019, 11, 3407–3422. [Google Scholar] [CrossRef]
- Ruffolo, S.A.; La Russa, M.F.; Malagodi, M.; Oliviero Rossi, C.; Palermo, A.M.; Crisci, G.M. ZnO and ZnTiO3 nanopowders for antimicrobial stone coating. Appl Phys A 2010, 100, 829–834. [Google Scholar] [CrossRef]
- ASTM D3359-97, Standard test methods for measuring adhesion by tape test, ASTM International, 1997.
- Basu, B.J.; Hariprakash, V.; Aruna, S.T.; Lakshmi, R.V.; Manasa, J.; Shruthi, B.S. Effect of microstructure and surface roughness on the wettability of superhydrophobic sol–gel nanocomposite coatings. J Sol-Gel Sci Technol 2010, 56, 278–286. [Google Scholar] [CrossRef]
- Baba, E.M.; Cansoy, C.E.; Zayim, E.O. Investigation of wettability and optical properties of superhydrophobic polystyrene-SiO2 composite surfaces. Prog Org Coat 2016, 99, 378–385. [Google Scholar] [CrossRef]
- Furmidge, C.G.L. Studies at phase interfaces I. The sliding of liquid drops on solid surfaces and a theory for spray retention. J Colloid Sci 1962, 17, 309–324. [Google Scholar] [CrossRef]
- Chen, W.; Fadeev, A.Y.; Hsieh, M.C.; Oner, D.; Youngblood, J.; McCarthy, T.J. Ultrahydrophobic and ultralyophobic surfaces: Some comments and examples. Langmuir 1999, 15, 3395–3399. [Google Scholar] [CrossRef]
- Owens, D.K.; Wendt, R.C. Evaluation of the surface free energy of polymers. J Appl Polym Sci 1969, 13, 17411–1747. [Google Scholar] [CrossRef]
- Wang, H.; Luo, G.; Chen, L.; Song, Y.; Liu, C.; Wu, L. Preparation of a bionic lotus leaf microstructured surface and its drag reduction performance. RSC Adv 2022, 12, 16723. [Google Scholar] [CrossRef] [PubMed]
- Wang, P.; Li, C.; Zhang, D. Recent advances in chemical durability and mechanical stability of superhydrophobic materials: Multi-strategy design and strengthening. J Mater Sci Technol 2022, 129, 40–69. [Google Scholar] [CrossRef]
- Rodrigues, J.D.; Grossi, A. Indicators and ratings for the compatibility assessment of conservation actions. J Cult Herit 2007, 8, 32–43. [Google Scholar] [CrossRef]
- Lettieri, M.; Masieri, M.; Frigione, M. Novel nano-filled coatings for the protection of built heritage stone surfaces. Nanomaterials 2021, 11, 301. [Google Scholar] [CrossRef] [PubMed]
- Lettieri, M.; Masieri, M.; Aquaro, M.; Dilorenzo, D.; Frigione, M. Eco-friendly protective coating to extend the life of art-works and structures made in porous stone materials. Coatings 2021, 11, 1270. [Google Scholar] [CrossRef]
- Manoudis, P.N.; Zuburtikudis, I.; Khalifeh, H.A.; Karapanagiotis, I. Robust and transparent smooth amphi-repellent coating with physical and chemical self-cleaning properties. Surfaces and Interfaces, submitted.
- Rodrigues, J.D.; Grossi, A. Indicators and ratings for the compatibility assessment of conservation actions. J Cult Herit 2007, 8, 32–43. [Google Scholar] [CrossRef]









| Liquid | (mJ m-2) | (mJ m-2) | (mJ m-2) | CA (°) |
|---|---|---|---|---|
| Water | 21.8 | 51.0 | 72.8 | 153.2±1.4 |
| Diiodomethane | 49.5 | 1.3 | 50.8 | 129.5±2.3 |
Disclaimer/Publisher’s Note: The statements, opinions and data contained in all publications are solely those of the individual author(s) and contributor(s) and not of MDPI and/or the editor(s). MDPI and/or the editor(s) disclaim responsibility for any injury to people or property resulting from any ideas, methods, instructions or products referred to in the content. |
© 2024 by the authors. Licensee MDPI, Basel, Switzerland. This article is an open access article distributed under the terms and conditions of the Creative Commons Attribution (CC BY) license (http://creativecommons.org/licenses/by/4.0/).
