Submitted:
12 July 2024
Posted:
16 July 2024
You are already at the latest version
Abstract

Keywords:
1. Introduction
2. Materials and Methods
2.1. Patients
- High-risk surgery patients
- Scheduled for elective major surgery.
- Inability to understand the study and/or sign an informed consent, refusal to sign an informed consent
- Hypoalbuminemia, defined by an albumin level < 30 g.L-1
- Pre-existent inflammatory disease, defined by a C reactive-protein (CRP) level > 20 mg.L-1.
2.2. Anesthesia Protocol
2.3. Clinical Data Collection
- Demographics: age, gender, ASA score, height, weight, body mass index (BMI)
- Medical background and Charlson Comorbidity Index (a scoring system for comorbidities, a score of zero means no comorbidities and a higher score means more comorbidities)[11]
- Peri-operative characteristics: type of surgery, anesthesia and surgery length, use of an epidural analgesia, mean norepinephrine dosage and fluid balance
- Outcomes : length of hospital stay, day-30 mortality rate, Comprehensive Complication Index (CCI, a scoring system for postoperative complications, a score of zero means no complications and a higher score mean more complications, with a maximum at 100 meaning the patient died) at day-5 and day-15 postoperative. [12]
2.4. Samples Collection and Biological Data
- at the onset of surgery: in the operating room, via an arterial line, after induction of anesthesia and before surgical incision
- at the end of surgery: in the post-operative care unit, via an arterial line, after patient awaking and tracheal extubation.
2.4.1. Adenosine Deaminase Measurement
2.4.2. Xanthine Oxidase Measurement
2.4.3. Ischemia Modified Albumin Measurement
2.4.4. Redox Potential Measurement
2.4.5. Highly Sensitive Troponin T Measurement
2.5. Controls
2.6. Statistical analyses
3. Results
3.1. Clinical Data
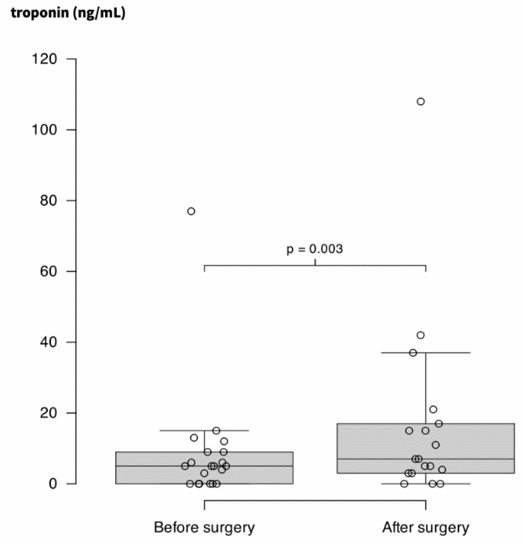
3.2. Enzymatic Activities, IMA, and Redox Potential



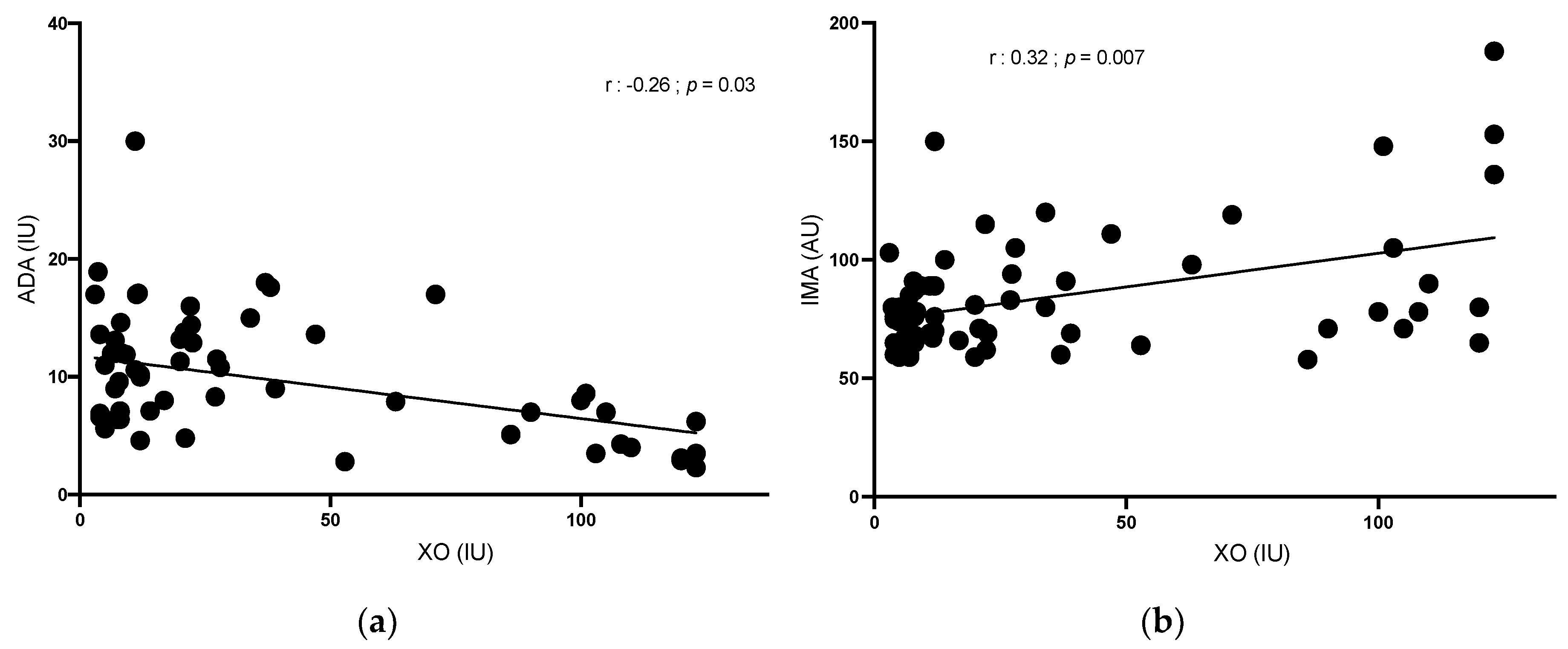
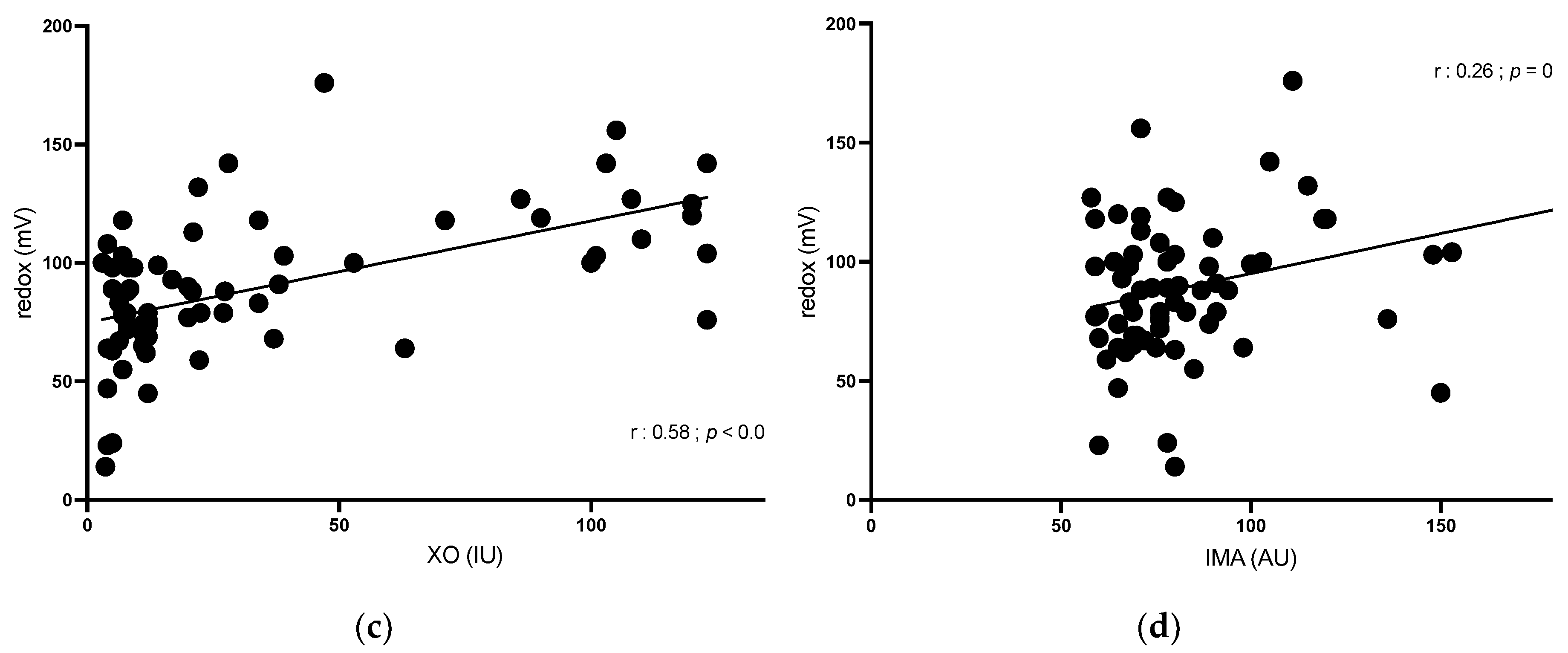
3.3. Correlation Data
4. Discussion
5. Conclusions
Supplementary Materials
Author Contributions
Funding
Institutional Review Board Statement
Informed Consent Statement
Data Availability Statement
Acknowledgments
Conflicts of Interest
References
- Jelic, M.D.; Mandic, A.D.; Maricic, S.M.; Srdjenovic, B.U. Oxidative Stress and Its Role in Cancer. J Cancer Res Ther 2021, 17, 22–28. [Google Scholar] [CrossRef]
- Schwarz, C.; Fitschek, F.; Bar-Or, D.; Klaus, D.A.; Tudor, B.; Fleischmann, E.; Roth, G.; Tamandl, D.; Wekerle, T.; Gnant, M.; et al. Inflammatory Response and Oxidative Stress during Liver Resection. PLoS One 2017, 12, e0185685. [Google Scholar] [CrossRef]
- Steven, S.; Frenis, K.; Oelze, M.; Kalinovic, S.; Kuntic, M.; Bayo Jimenez, M.T.; Vujacic-Mirski, K.; Helmstädter, J.; Kröller-Schön, S.; Münzel, T.; et al. Vascular Inflammation and Oxidative Stress: Major Triggers for Cardiovascular Disease. Oxid Med Cell Longev 2019, 2019, 7092151. [Google Scholar] [CrossRef]
- Aboelella, N.S.; Brandle, C.; Kim, T.; Ding, Z.-C.; Zhou, G. Oxidative Stress in the Tumor Microenvironment and Its Relevance to Cancer Immunotherapy. Cancers (Basel) 2021, 13, 986. [Google Scholar] [CrossRef]
- Kudryavtseva, A.V.; Krasnov, G.S.; Dmitriev, A.A.; Alekseev, B.Y.; Kardymon, O.L.; Sadritdinova, A.F.; Fedorova, M.S.; Pokrovsky, A.V.; Melnikova, N.V.; Kaprin, A.D.; et al. Mitochondrial Dysfunction and Oxidative Stress in Aging and Cancer. Oncotarget 2016, 7, 44879–44905. [Google Scholar] [CrossRef] [PubMed]
- Toro-Pérez, J.; Rodrigo, R. Contribution of Oxidative Stress in the Mechanisms of Postoperative Complications and Multiple Organ Dysfunction Syndrome. Redox Rep 2021, 26, 35–44. [Google Scholar] [CrossRef]
- O’Leary, D.P.; Wang, J.H.; Cotter, T.G.; Redmond, H.P. Less Stress, More Success? Oncological Implications of Surgery-Induced Oxidative Stress. Gut 2013, 62, 461–470. [Google Scholar] [CrossRef]
- Jiang, H.; Zuo, J.; Li, B.; Chen, R.; Luo, K.; Xiang, X.; Lu, S.; Huang, C.; Liu, L.; Tang, J.; et al. Drug-Induced Oxidative Stress in Cancer Treatments: Angel or Devil? Redox Biol 2023, 63, 102754. [Google Scholar] [CrossRef]
- Liu, R.; Peng, L.; Zhou, L.; Huang, Z.; Zhou, C.; Huang, C. Oxidative Stress in Cancer Immunotherapy: Molecular Mechanisms and Potential Applications. Antioxidants (Basel) 2022, 11, 853. [Google Scholar] [CrossRef]
- Shoemaker, W.C.; Appel, P.L.; Kram, H.B.; Waxman, K.; Lee, T.S. Prospective Trial of Supranormal Values of Survivors as Therapeutic Goals in High-Risk Surgical Patients. Chest 1988, 94, 1176–1186. [Google Scholar] [CrossRef] [PubMed]
- Charlson, M.E.; Carrozzino, D.; Guidi, J.; Patierno, C. Charlson Comorbidity Index: A Critical Review of Clinimetric Properties. Psychother Psychosom 2022, 91, 8–35. [Google Scholar] [CrossRef] [PubMed]
- Slankamenac, K.; Graf, R.; Barkun, J.; Puhan, M.A.; Clavien, P.-A. The Comprehensive Complication Index: A Novel Continuous Scale to Measure Surgical Morbidity. Ann. Surg. 2013, 258, 1–7. [Google Scholar] [CrossRef] [PubMed]
- Bruzzese, L.; Rostain, J.-C.; Née, L.; Condo, J.; Mottola, G.; Adjriou, N.; Mercier, L.; Berge-Lefranc, J.-L.; Fromonot, J.; Kipson, N.; et al. Effect of Hyperoxic and Hyperbaric Conditions on the Adenosinergic Pathway and CD26 Expression in Rat. J Appl Physiol (1985) 2015, 119, 140–147. [Google Scholar] [CrossRef] [PubMed]
- Guieu, R.; Brunet, P.; Sampol, J.; Bechis, G.; Fenouillet, E.; Mege, J.L.; Capo, C.; Vitte, J.; Ibrahim, Z.; Carrega, L.; et al. Adenosine and Hemodialysis in Humans. J Investig Med 2001, 49, 56–67. [Google Scholar] [CrossRef] [PubMed]
- Gondouin, B.; Jourde-Chiche, N.; Sallee, M.; Dou, L.; Cerini, C.; Loundou, A.; Morange, S.; Berland, Y.; Burtey, S.; Brunet, P.; et al. Plasma Xanthine Oxidase Activity Is Predictive of Cardiovascular Disease in Patients with Chronic Kidney Disease, Independently of Uric Acid Levels. Nephron 2015, 131, 167–174. [Google Scholar] [CrossRef]
- Carrega, L.; Giaime, P.; Montserrat, C.; Vincente, O.; Brunet, P.; Dussol, B.; Berland, Y.; Guieu, R. Influence of the Dialysis Membrane on Markers of Tissue Ischemia. J Investig Med 2006, 54, 62–66. [Google Scholar] [CrossRef] [PubMed]
- Joulia, F.; Coulange, M.; Lemaitre, F.; Desplantes, A.; Costalat, G.; Bruzzese, L.; Franceschi, F.; Barberon, B.; Kipson, N.; Jammes, Y.; et al. Ischaemia-Modified Albumin during Experimental Apnoea. Can J Physiol Pharmacol 2015, 93, 421–426. [Google Scholar] [CrossRef] [PubMed]
- Newsholme, E.; Leech, A. The Oxidation of Acetyl CoA. In Biochemistry for the Medical Sciences; Wiley, 1992; ISBN 0-471-90058-3. [Google Scholar]
- Glantzounis, G.K.; Tsimoyiannis, E.C.; Kappas, A.M.; Galaris, D.A. Uric Acid and Oxidative Stress. Curr Pharm Des 2005, 11, 4145–4151. [Google Scholar] [CrossRef] [PubMed]
- Battelli, M.G.; Polito, L.; Bortolotti, M.; Bolognesi, A. Xanthine Oxidoreductase in Cancer: More than a Differentiation Marker. Cancer Med 2016, 5, 546–557. [Google Scholar] [CrossRef]
- Antonioli, L.; Colucci, R.; La Motta, C.; Tuccori, M.; Awwad, O.; Da Settimo, F.; Blandizzi, C.; Fornai, M. Adenosine Deaminase in the Modulation of Immune System and Its Potential as a Novel Target for Treatment of Inflammatory Disorders. Curr Drug Targets 2012, 13, 842–862. [Google Scholar] [CrossRef]
- Battelli, M.G.; Polito, L.; Bortolotti, M.; Bolognesi, A. Xanthine Oxidoreductase-Derived Reactive Species: Physiological and Pathological Effects. Oxid Med Cell Longev 2016, 2016, 3527579. [Google Scholar] [CrossRef] [PubMed]
- Xing, F.; Hu, Q.; Qin, Y.; Xu, J.; Zhang, B.; Yu, X.; Wang, W. The Relationship of Redox With Hallmarks of Cancer: The Importance of Homeostasis and Context. Front Oncol 2022, 12, 862743. [Google Scholar] [CrossRef] [PubMed]
- Bar-Or, D.; Rael, L.T.; Bar-Or, R.; Slone, D.S.; Mains, C.W.; Rao, N.K.R.; Curtis, C.G. The Cobalt-Albumin Binding Assay: Insights into Its Mode of Action. Clin Chim Acta 2008, 387, 120–127. [Google Scholar] [CrossRef] [PubMed]
- Fidan, E.; Mentese, A.; Kavgaci, H.; Orem, A.; Fidan, S.; Uzun, A.; Ozdemir, F.; Aydin, F. Increased Ischemia-Modified Albumin Levels in Patients with Gastric Cancer. Neoplasma 2012, 59, 393–397. [Google Scholar] [CrossRef] [PubMed]
- Ellidag, H.Y.; Eren, E.; Aydin, O.; Akgol, E.; Yalcinkaya, S.; Sezer, C.; Yilmaz, N. Ischemia Modified Albumin Levels and Oxidative Stress in Patients with Bladder Cancer. Asian Pac J Cancer Prev 2013, 14, 2759–2763. [Google Scholar] [CrossRef] [PubMed]
- Sbarouni, E.; Georgiadou, P.; Theodorakis, G.N.; Kremastinos, D.T. Ischemia-Modified Albumin in Relation to Exercise Stress Testing. J Am Coll Cardiol 2006, 48, 2482–2484. [Google Scholar] [CrossRef] [PubMed]
- Sinha, M.K.; Roy, D.; Gaze, D.C.; Collinson, P.O.; Kaski, J.C. Role of “Ischemia Modified Albumin”, a New Biochemical Marker of Myocardial Ischaemia, in the Early Diagnosis of Acute Coronary Syndromes. Emerg Med J 2004, 21, 29–34. [Google Scholar] [CrossRef] [PubMed]
- Botto, F.; Alonso-Coello, P.; Chan, M.T.V.; Villar, J.C.; Xavier, D.; Srinathan, S.; Guyatt, G.; Cruz, P.; Graham, M.; Wang, C.Y.; et al. Myocardial Injury after Noncardiac Surgery: A Large, International, Prospective Cohort Study Establishing Diagnostic Criteria, Characteristics, Predictors, and 30-Day Outcomes. Anesthesiology 2014, 120, 564–578. [Google Scholar] [CrossRef]
- Devereaux, P.J.; Sessler, D.I. Cardiac Complications in Patients Undergoing Major Noncardiac Surgery. N Engl J Med 2015, 373, 2258–2269. [Google Scholar] [CrossRef]
- Bello, C.; Rössler, J.; Shehata, P.; Smilowitz, N.R.; Ruetzler, K. Perioperative Strategies to Reduce Risk of Myocardial Injury after Non-Cardiac Surgery (MINS): A Narrative Review. J Clin Anesth 2023, 87, 111106. [Google Scholar] [CrossRef]
- Alfadda, A.A.; Sallam, R.M. Reactive Oxygen Species in Health and Disease. J Biomed Biotechnol 2012, 2012, 936486. [Google Scholar] [CrossRef] [PubMed]
- Adler, V.; Yin, Z.; Tew, K.D.; Ronai, Z. Role of Redox Potential and Reactive Oxygen Species in Stress Signaling. Oncogene 1999, 18, 6104–6111. [Google Scholar] [CrossRef]
- Tasdogan, A.; Ubellacker, J.M.; Morrison, S.J. Redox Regulation in Cancer Cells during Metastasis. Cancer Discov 2021, 11, 2682–2692. [Google Scholar] [CrossRef] [PubMed]
- Lin, X.; Zheng, W.; Liu, J.; Zhang, Y.; Qin, H.; Wu, H.; Xue, B.; Lu, Y.; Shen, P. Oxidative Stress in Malignant Melanoma Enhances Tumor Necrosis Factor-α Secretion of Tumor-Associated Macrophages That Promote Cancer Cell Invasion. Antioxid Redox Signal 2013, 19, 1337–1355. [Google Scholar] [CrossRef] [PubMed]
- Jena, I.; Nayak, S.R.; Behera, S.; Singh, B.; Ray, S.; Jena, D.; Singh, S.; Sahoo, S.K. Evaluation of Ischemia-Modified Albumin, Oxidative Stress, and Antioxidant Status in Acute Ischemic Stroke Patients. J Nat Sci Biol Med 2017, 8, 110–113. [Google Scholar] [CrossRef] [PubMed]

| Patients (n=36) | Controls (n=30) | |
|---|---|---|
| Demographics | ||
| Age, y (IQR) | 68 (58 – 76) | 62 (51 – 70) |
| Gender (n,%) | ||
| Male | 23 (64) | 20 (66) |
| Female | 13 (36) | 10 (34) |
| Height, cm (IQR) | 170 (163 – 175) | 168 (159 – 181) |
| Weight, kg (IQR) | 70 (60 – 75) | 68 (59 – 80) |
| BMI, kg.m-2 (IQR) | 24 (22 – 25) | not available |
| Medical background | ||
| ASA score (n,%) | ||
| I | 0 (0) | not available |
| II | 25 (69) | not available |
| III | 11 (31) | not available |
| IV | 0 (0) | not available |
| Charlson score (IQR) | 6 (5 – 7) | not available |
| Comorbidities (n, %) | ||
| Diabetes | 13 (36) | not available |
| Myocardial infarction | 4 (11) | not available |
| Hypertension | 22 (61) | not available |
| Arrythmia or heart block | 2 (6) | not available |
| Peripheral vascular disease | 7 (19) | not available |
| CVA or TIA | 3 (8) | not available |
| Dementia | 1 (3) | not available |
| Active smoking | 11 (31) | not available |
| COPD | 5 (14) | not available |
| Chronic kidney disease | 1 (3) | not available |
| Solid tumor | 36 (100) | not available |
| Metastatic solid tumor | 7 (19) | not available |
| Peptic ulcer disease | 3 (8) | not available |
| Alcohol abuse | 1 (3) | not available |
| Patients (n=36) | |
|---|---|
| Peroperative characteristics | |
| Type of surgery (n, %) | |
| Major gastrointestinal | 15 (42) |
| Thoracic | 13 (36) |
| Major hepatic | 7 (19) |
| Major urologic | 1 (3) |
| Anesthesia length, min (IQR) | 375 (293 – 465) |
| Surgery length, min (IQR) | 300 (233 – 375) |
| Mean norepinephrine, µg.kg-1.min-1 (IQR) | 0.06 (0.05 – 0.13) |
| Epidural anesthesia (n, %) | 35 (97) |
| Fluid balance, mL (IQR) | 1550 (854 – 2400) |
| Outcomes | |
| Length of stay, d (IQR) | 15 (11 – 29) |
| Day-30 death (n, %) | 1 (3) |
| CCI at Day-5, (IQR) | 9 (0 – 27) |
| CCI at Day-30, (IQR) | 32 (9 – 50) |
Disclaimer/Publisher’s Note: The statements, opinions and data contained in all publications are solely those of the individual author(s) and contributor(s) and not of MDPI and/or the editor(s). MDPI and/or the editor(s) disclaim responsibility for any injury to people or property resulting from any ideas, methods, instructions or products referred to in the content. |
© 2024 by the authors. Licensee MDPI, Basel, Switzerland. This article is an open access article distributed under the terms and conditions of the Creative Commons Attribution (CC BY) license (http://creativecommons.org/licenses/by/4.0/).