Submitted:
12 July 2024
Posted:
14 July 2024
You are already at the latest version
Abstract
Keywords:
1. Introduction
- The impact of the tile size and overlap levels on the binary classification of roads was studied on a very large-scale dataset containing aerial imagery covering approximately 8650 km2 of the Spanish territory. Two popular CNN models were trained on datasets with different combinations of tile sizes (256 × 256, 512 × 512, or 1024 × 1024 pixels) and tile overlaps (0% and 12.5%) to isolate their effect on performance. The evaluation was later carried out on a new orthoimage of approximately 825 km2 containing novel data.
- An in-depth descriptive and inferential statistical analysis and evaluation was performed next. The main effects of tile size, tile overlap and CNN architecture on the performance metrics obtained on testing data, were found to be highly significant (with computed p-values lower than 0.001). Their joint two-way and three-way interaction effects on the performance had different levels of significance and varied from highly significant to non-significant.
- Additional perspectives on the impact of these factors on the performance are provided through an extensive discussion, where additional insights and limitations are described and recommendations for similar geo-studies are proposed.
2. Related Works
3. Data
4. Training Method
5. Results
5.1. Mean Performance on Testing Data Grouped by Training Scenarios
5.2. Performance of the Best Model
5.3. Mean Performance on Unseen Test Data Grouped by Tile Size, Overlap and Neural Network Architecture
5.4. Main and Interaction Effects with Factorial ANOVA
6. Discussion
6.1. On the Homogeneity of the Performance and Differences Between Training, Validation, and Testing Results
6.2. On the Training Scenarios and the Best Model
6.3. On the Tile Size and Tile Overlap
6.4. On the Main and Interaction Effects of Tile Size, Tile Overlap and Neural Network Architecture
6.5. A Qualitative Ranking of the Contributions of the Factors to the Performance
6.6. On the Uncertainty of the Models, the Limitations of the Study, and Future Directions
7. Conclusions
Code and Data Availability Statement
Funding
Author Contributions (CRediT statement)
Institutional Review Board Statement
Acknowledgment
Conflicts of Interest
AppendixA. Performance metrics (mean loss, accuracy, F1 score, precision, recall, and ROC-AUC score) obtained by the road classification models trained in the twelve training scenarios (the experiments were three repetitions) presented in Table 2 on the training, validation, and test sets.
Appendix B. Estimated Marginal Means (EMMs) for the interaction between the tile size and tile overlap as fixed factors (Size * Overlap) on the performance metrics (F1 score, ROU-AUC score, and loss value) as dependent variables.
| Dependent Variable | Tile Overlap (%) | Tile Size (pixels × pixels) | Mean | Std. Error | 95% Confidence Interval | |
| Lower Bound | Upper Bound | |||||
| F1 score | 0 | 256 | 0.8098 | 0.0027 | 0.8042 | 0.8153 |
| 512 | 0.8036 | 0.0027 | 0.7981 | 0.8092 | ||
| 1024 | 0.8621 | 0.0027 | 0.8566 | 0.8677 | ||
| 12.5 | 256 | 0.8172 | 0.0027 | 0.8116 | 0.8227 | |
| 512 | 0.8076 | 0.0027 | 0.8020 | 0.8131 | ||
| 1024 | 0.8712 | 0.0027 | 0.8657 | 0.8768 | ||
| ROC-AUC score | 0 | 256 | 0.8988 | 0.0030 | 0.8926 | 0.9050 |
| 512 | 0.9188 | 0.0030 | 0.9126 | 0.9250 | ||
| 1024 | 0.9575 | 0.0030 | 0.9513 | 0.9637 | ||
| 12.5 | 256 | 0.9017 | 0.0030 | 0.8955 | 0.9079 | |
| 512 | 0.9217 | 0.0030 | 0.9154 | 0.9279 | ||
| 1024 | 0.9745 | 0.0030 | 0.9683 | 0.9807 | ||
| Loss | 0 | 256 | 0.4749 | 0.0105 | 0.4535 | 0.4963 |
| 512 | 0.3284 | 0.0105 | 0.3070 | 0.3498 | ||
| 1024 | 0.1629 | 0.0105 | 0.1415 | 0.1844 | ||
| 12.5 | 256 | 0.4685 | 0.0105 | 0.4471 | 0.4899 | |
| 512 | 0.3116 | 0.0105 | 0.2902 | 0.3330 | ||
| 1024 | 0.1201 | 0.0105 | 0.0987 | 0.1416 | ||
Appendix C. Estimated Marginal Means (EMMs) for the interaction between the CNN architecture, tile size, and tile overlap as fixed factors (Model * Size * Overlap) on the performance metrics (F1 score, ROU-AUC score, and loss value) as dependent variables.
| Dependent Variable | Model | Tile Size (pixels × pixels) | Tile Overlap (%) | Mean | Std. Error | 95% Confidence Interval | |
| Lower Bound | Upper Bound | ||||||
| F1 score | VGG-v1 | 256 | 0 | 0.8096 | 0.0037 | 0.8020 | 0.8172 |
| 12.5 | 0.8182 | 0.0037 | 0.8106 | 0.8258 | |||
| 512 | 0 | 0.8044 | 0.0037 | 0.7968 | 0.8120 | ||
| 12.5 | 0.8079 | 0.0037 | 0.8003 | 0.8155 | |||
| 1024 | 0 | 0.8559 | 0.0037 | 0.8483 | 0.8635 | ||
| 12.5 | 0.8673 | 0.0037 | 0.8597 | 0.8749 | |||
| VGG-v2 | 256 | 0 | 0.8099 | 0.0037 | 0.8023 | 0.8175 | |
| 12.5 | 0.8161 | 0.0037 | 0.8085 | 0.8237 | |||
| 512 | 0 | 0.8029 | 0.0037 | 0.7953 | 0.8105 | ||
| 12.5 | 0.8072 | 0.0037 | 0.7996 | 0.8148 | |||
| 1024 | 0 | 0.8684 | 0.0037 | 0.8608 | 0.8760 | ||
| 12.5 | 0.8751 | 0.0037 | 0.8675 | 0.8827 | |||
| ROC-AUC score | VGG-v1 | 256 | 0 | 0.8976 | 0.0026 | 0.8922 | 0.9030 |
| 12.5 | 0.9004 | 0.0026 | 0.8950 | 0.9058 | |||
| 512 | 0 | 0.9194 | 0.0026 | 0.9140 | 0.9248 | ||
| 12.5 | 0.9243 | 0.0026 | 0.9189 | 0.9297 | |||
| 1024 | 0 | 0.9445 | 0.0026 | 0.9391 | 0.9499 | ||
| 12.5 | 0.9703 | 0.0026 | 0.9649 | 0.9757 | |||
| VGG-v2 | 256 | 0 | 0.9000 | 0.0026 | 0.8946 | 0.9054 | |
| 12.5 | 0.9029 | 0.0026 | 0.8975 | 0.9083 | |||
| 512 | 0 | 0.9182 | 0.0026 | 0.9128 | 0.9236 | ||
| 12.5 | 0.9190 | 0.0026 | 0.9136 | 0.9244 | |||
| 1024 | 0 | 0.9705 | 0.0026 | 0.9651 | 0.9759 | ||
| 12.5 | 0.9786 | 0.0026 | 0.9732 | 0.9840 | |||
| Loss | VGG-v1 | 256 | 0 | 0.4736 | 0.0125 | 0.4478 | 0.4993 |
| 12.5 | 0.4587 | 0.0125 | 0.4329 | 0.4845 | |||
| 512 | 0 | 0.3290 | 0.0125 | 0.3033 | 0.3548 | ||
| 12.5 | 0.3026 | 0.0125 | 0.2768 | 0.3284 | |||
| 1024 | 0 | 0.1932 | 0.0125 | 0.1674 | 0.2189 | ||
| 12.5 | 0.1385 | 0.0125 | 0.1127 | 0.1642 | |||
| VGG-v2 | 256 | 0 | 0.4763 | 0.0125 | 0.4505 | 0.5020 | |
| 12.5 | 0.4783 | 0.0125 | 0.4525 | 0.5041 | |||
| 512 | 0 | 0.3278 | 0.0125 | 0.3020 | 0.3536 | ||
| 12.5 | 0.3206 | 0.0125 | 0.2948 | 0.3464 | |||
| 1024 | 0 | 0.1327 | 0.0125 | 0.1069 | 0.1585 | ||
| 12.5 | 0.1018 | 0.0125 | 0.0760 | 0.1276 | |||
References
- Rigollet, P. 18.657: Mathematics of Machine Learning. Massachusetts Institute of Technology: MIT OpenCourseWare 2015, 7.
- Cira, C.-I. Contribution to Object Extraction in Cartography : A Novel Deep Learning-Based Solution to Recognise, Segment and Post-Process the Road Transport Network as a Continuous Geospatial Element in High-Resolution Aerial Orthoimagery. PhD Thesis, Universidad Politécnica de Madrid, 2022.
- Russakovsky, O.; Deng, J.; Su, H.; Krause, J.; Satheesh, S.; Ma, S.; Huang, Z.; Karpathy, A.; Khosla, A.; Bernstein, M.; et al. ImageNet Large Scale Visual Recognition Challenge. Int J Comput Vis 2015, 115, 211–252. [Google Scholar] [CrossRef]
- Cira, C.-I.; Alcarria, R.; Manso-Callejo, M.-Á.; Serradilla, F. Evaluation of Transfer Learning Techniques with Convolutional Neural Networks (CNNs) to Detect the Existence of Roads in High-Resolution Aerial Imagery. In Applied Informatics; Florez, H., Leon, M., Diaz-Nafria, J.M., Belli, S., Eds.; Springer International Publishing: Cham, 2019; Vol. 1051, pp. 185–198 ISBN 978-3-030-32474-2.
- Manso-Callejo, M.-Á.; Cira, C.-I.; González-Jiménez, A.; Querol-Pascual, J.-J. Dataset Containing Orthoimages Tagged with Road Information Covering Approximately 8650 Km2 of the Spanish Territory (SROADEX). Data in Brief 2022, 42, 108316. [Google Scholar] [CrossRef] [PubMed]
- Reina, G.A.; Panchumarthy, R.; Thakur, S.P.; Bastidas, A.; Bakas, S. Systematic Evaluation of Image Tiling Adverse Effects on Deep Learning Semantic Segmentation. Front. Neurosci. 2020, 14, 65. [Google Scholar] [CrossRef] [PubMed]
- Lee, A.L.S.; To, C.C.K.; Lee, A.L.H.; Li, J.J.X.; Chan, R.C.K. Model Architecture and Tile Size Selection for Convolutional Neural Network Training for Non-Small Cell Lung Cancer Detection on Whole Slide Images. Informatics in Medicine Unlocked 2022, 28, 100850. [Google Scholar] [CrossRef]
- Simonyan, K.; Zisserman, A. Very Deep Convolutional Networks for Large-Scale Image Recognition. In Proceedings of the 3rd International Conference on Learning Representations, ICLR 2015, Conference Track Proceedings; Bengio, Y., LeCun, Y., Eds.; San Diego, CA, USA, May 7-9, 2015, 2015.
- Cira, C.-I.; Alcarria, R.; Manso-Callejo, M.-Á.; Serradilla, F. A Deep Learning-Based Solution for Large-Scale Extraction of the Secondary Road Network from High-Resolution Aerial Orthoimagery. Applied Sciences 2020, 10, 1–18. [Google Scholar] [CrossRef]
- Cira, C.-I.; Manso-Callejo, M.-Á.; Alcarria, R.; Bordel Sánchez, B.B.; González Matesanz, J.G. State-Level Mapping of the Road Transport Network from Aerial Orthophotography: An End-to-End Road Extraction Solution Based on Deep Learning Models Trained for Recognition, Semantic Segmentation and Post-Processing with Conditional Generative Learning. Remote Sensing 2023, 15, 2099. [Google Scholar] [CrossRef]
- Unel, F.O.; Ozkalayci, B.O.; Cigla, C. The Power of Tiling for Small Object Detection. In Proceedings of the 2019 IEEE/CVF Conference on Computer Vision and Pattern Recognition Workshops (CVPRW); IEEE: Long Beach, CA, USA, June 2019; pp. 582–591.
- Akyon, F.C.; Onur Altinuc, S.; Temizel, A. Slicing Aided Hyper Inference and Fine-Tuning for Small Object Detection. In Proceedings of the 2022 IEEE International Conference on Image Processing (ICIP); IEEE: Bordeaux, France, October 16 2022; pp. 966–970.
- Zeng, G.; Zheng, G. Holistic Decomposition Convolution for Effective Semantic Segmentation of Medical Volume Images. Medical Image Analysis 2019, 57, 149–164. [Google Scholar] [CrossRef] [PubMed]
- An, Y.; Ye, Q.; Guo, J.; Dong, R. Overlap Training to Mitigate Inconsistencies Caused by Image Tiling in CNNs. In Artificial Intelligence XXXVII; Bramer, M., Ellis, R., Eds.; Lecture Notes in Computer Science; Springer International Publishing: Cham, 2020; Vol. 12498, pp. 35–48 ISBN 978-3-030-63798-9.
- Abrahams, E.; Snow, T.; Siegfried, M.R.; Pérez, F. A Concise Tiling Strategy for Preserving Spatial Context in Earth Observation Imagery 2024.
- Chun, C.; Ryu, S.-K. Road Surface Damage Detection Using Fully Convolutional Neural Networks and Semi-Supervised Learning. Sensors 2019, 19, 5501. [Google Scholar] [CrossRef]
- Maeda, H.; Sekimoto, Y.; Seto, T.; Kashiyama, T.; Omata, H. Road Damage Detection Using Deep Neural Networks with Images Captured Through a Smartphone. CoRR 2018, abs/1801.09454.
- Liang, H.; Lee, S.-C.; Seo, S. Automatic Recognition of Road Damage Based on Lightweight Attentional Convolutional Neural Network. Sensors 2022, 22, 9599. [Google Scholar] [CrossRef] [PubMed]
- Rajendran, T.; N, M.Imtiaz.; K, Jagadeesh.; D, A.Kareem. Road Obstacles Detection Using Convolution Neural Network and Report Using IoT. In Proceedings of the 2022 4th International Conference on Smart Systems and Inventive Technology (ICSSIT); IEEE: Tirunelveli, India, January 20 2022; pp. 22–26.
- Zhang, T.; Wang, D.; Lu, Y. Benchmark Study on a Novel Online Dataset for Standard Evaluation of Deep Learning-Based Pavement Cracks Classification Models. KSCE J Civ Eng 2024, 28, 1267–1279. [Google Scholar] [CrossRef]
- Fu, R.; Cao, M.; Novák, D.; Qian, X.; Alkayem, N.F. Extended Efficient Convolutional Neural Network for Concrete Crack Detection with Illustrated Merits. Automation in Construction 2023, 156, 105098. [Google Scholar] [CrossRef]
- Guzmán-Torres, J.A.; Morales-Rosales, L.A.; Algredo-Badillo, I.; Tinoco-Guerrero, G.; Lobato-Báez, M.; Melchor-Barriga, J.O. Deep Learning Techniques for Multi-Class Classification of Asphalt Damage Based on Hamburg-Wheel Tracking Test Results. Case Studies in Construction Materials 2023, 19, e02378. [Google Scholar] [CrossRef]
- He, L.; Peng, B.; Tang, D.; Li, Y. Road Extraction Based on Improved Convolutional Neural Networks with Satellite Images. Applied Sciences 2022, 12, 10800. [Google Scholar] [CrossRef]
- Fakhri, S.A.; Shah-Hosseini, R. Improved Road Detection Algorithm Based on Fusion of Deep Convolutional Neural Networks and Random Forest Classifier on VHR Remotely-Sensed Images. J Indian Soc Remote Sens 2022, 50, 1409–1421. [Google Scholar] [CrossRef]
- Zhu, Y.; Yan, J.; Wang, C.; Zhou, Y. Road Detection of Remote Sensing Image Based on Convolutional Neural Network. In Image and Graphics; Zhao, Y., Barnes, N., Chen, B., Westermann, R., Kong, X., Lin, C., Eds.; Lecture Notes in Computer Science; Springer International Publishing: Cham, 2019; Vol. 11902, pp. 106–118 ISBN 978-3-030-34109-1.
- Jiang, Y. Research on Road Extraction of Remote Sensing Image Based on Convolutional Neural Network. J Image Video Proc. 2019, 2019, 31. [Google Scholar] [CrossRef]
- Higuchi, R.; Fujimoto, Y. Road and Intersection Detection Using Convolutional Neural Network. In Proceedings of the 2020 IEEE 16th International Workshop on Advanced Motion Control (AMC); IEEE: Kristiansand, Norway, September 14 2020; pp. 363–366.
- Eltaher, F.; Miralles-Pechuán, L.; Courtney, J.; Mckeever, S. Detecting Road Intersections from Satellite Images Using Convolutional Neural Networks. In Proceedings of the Proceedings of the 38th ACM/SIGAPP Symposium on Applied Computing; ACM: Tallinn Estonia, March 27 2023; pp. 495–498.
- Dewangan, D.K.; Sahu, S.P. RCNet: Road Classification Convolutional Neural Networks for Intelligent Vehicle System. Intel Serv Robotics 2021, 14, 199–214. [Google Scholar] [CrossRef]
- Lee, S.-K.; Yoo, J.; Lee, C.-H.; An, K.; Yoon, Y.-S.; Lee, J.; Yeom, G.-H.; Hwang, S.-U. Road Type Classification Using Deep Learning for Tire-Pavement Interaction Noise Data in Autonomous Driving Vehicle. Applied Acoustics 2023, 212, 109597. [Google Scholar] [CrossRef]
- Cira, C.-I. ; Alcarria, Ramón; Manso-Callejo, Miguel Ángel; Serradilla, Francisco A Deep Convolutional Neural Network to Detect the Existence of Geospatial Elements in High-Resolution Aerial Imagery. Proceedings 2019, 19, 1–4. [Google Scholar] [CrossRef]
- Cira, C.-I.; Díaz-Álvarez, A.; Serradilla, F.; Manso-Callejo, M.-Á. Convolutional Neural Networks Adapted for Regression Tasks: Predicting the Orientation of Straight Arrows on Marked Road Pavement Using Deep Learning and Rectified Orthophotography. Electronics 2023, 12, 3980. [Google Scholar] [CrossRef]
- Cira, C.-I.; Alcarria, R.; Manso-Callejo, M.-Á.; Serradilla, F. A Framework Based on Nesting of Convolutional Neural Networks to Classify Secondary Roads in High Resolution Aerial Orthoimages. Remote Sensing 2020, 12, 1–22. [Google Scholar] [CrossRef]
- de la Fuente Castillo, V.; Díaz-Álvarez, A.; Manso-Callejo, M.-Á.; Serradilla García, F. Grammar Guided Genetic Programming for Network Architecture Search and Road Detection on Aerial Orthophotography. Applied Sciences 2020, 10, 3953. [Google Scholar] [CrossRef]
- Alshaikhli, T.; Liu, W.; Maruyama, Y. Automated Method of Road Extraction from Aerial Images Using a Deep Convolutional Neural Network. Applied Sciences 2019, 9, 4825. [Google Scholar] [CrossRef]
- Zhang, Z.; Zhang, X.; Sun, Y.; Zhang, P. Road Centerline Extraction from Very-High-Resolution Aerial Image and LiDAR Data Based on Road Connectivity. Remote Sensing 2018, 10, 1284. [Google Scholar] [CrossRef]
- Centro Nacional de Información Geográfica, Instituto Geográfico Nacional Plan Nacional de Ortofotografía Aérea. Available online: https://pnoa.ign.es/ (accessed on 10 March 2024).
- Fischer, H. A History of the Central Limit Theorem: From Classical to Modern Probability Theory; Springer New York: New York, NY, 2011; ISBN 978-0-387-87856-0.
- Manso-Callejo, M.A.; Cira, C.-I.; Alcarria, R.; Gonzalez Matesanz, F.J. First Dataset of Wind Turbine Data Created at National Level with Deep Learning Techniques from Aerial Orthophotographs with a Spatial Resolution of 0.5 m/Pixel. IEEE J. Sel. Top. Appl. Earth Observations Remote Sensing 2021, 14, 7968–7980. [Google Scholar] [CrossRef]
- Manso-Callejo, M.-Á.; Cira, C.-I.; Arranz-Justel, J.-J.; Sinde-González, I.; Sălăgean, T. Assessment of the Large-Scale Extraction of Photovoltaic (PV) Panels with a Workflow Based on Artificial Neural Networks and Algorithmic Postprocessing of Vectorization Results. International Journal of Applied Earth Observation and Geoinformation 2023, 125, 103563. [Google Scholar] [CrossRef]
- Agarap, A.F. Deep Learning Using Rectified Linear Units (ReLU). CoRR 2018, abs/1803.08375.
- Kingma, D.P.; Ba, J. Adam: A Method for Stochastic Optimization. In Proceedings of the 3rd International Conference on Learning Representations, ICLR 2015, Conference Track Proceedings; Bengio, Y., LeCun, Y., Eds.; San Diego, CA, USA, May 7-9, 2015, 2015.
- Chollet, F. Keras. Available online: https://github.com/fchollet/keras (accessed on 14 May 2020).
- Abadi, M.; Barham, P.; Chen, J.; Chen, Z.; Davis, A.; Dean, J.; Devin, M.; Ghemawat, S.; Irving, G.; Isard, M.; et al. TensorFlow: A System for Large-Scale Machine Learning.; Savannah, GA, USA, November 2 2016; p. 21.
- Manso Callejo, M.A.; Cira, C.-I.; Iturrioz, T.; Serradilla Garcia, F. Train and Evaluation Code, Road Classification Models and Test Set of the Paper “Impact of Image Resolution and Image Overlap on the Prediction Performance of Convolutional Neural Networks Trained for Road Classification” 2024.
- IBM Corp IBM SPSS Statistics for Macintosh.





| Tile size (pixels) | Tile overlap (%) |
Set | Class (no. images) | |
| Road | No Road | |||
| 256 × 256 | 0% | Train | 237,919 | 262,879 |
| Validation | 12,523 | 13,826 | ||
| Percentage of data | 47.51% | 52.49% | ||
| 12.5% | Train | 312,092 | 340,567 | |
| Validation | 16,426 | 17,925 | ||
| Percentage of data | 47.82% | 52.18% | ||
| Test set (novel area, no overlap) | 33,584 | 18,255 | ||
| Percentage of data | 64.79% | 35.21% | ||
| 512 × 512 | 0% | Train | 90,475 | 34,085 |
| Validation | 4,762 | 1794 | ||
| Percentage of data | 72.64% | 27.36% | ||
| 12.5% | Train | 118,078 | 42,448 | |
| Validation | 6215 | 2287 | ||
| Percentage of data | 73.53% | 26.47% | ||
| Test set (novel area, no overlap) | 10,916 | 1871 | ||
| Percentage of data | 85.37% | 14.63% | ||
| 1024 × 1024 | 0% | Train | 27,705 | 3124 |
| Validation | 1457 | 165 | ||
| Percentage of data | 89.86% | 10.14% | ||
| 12.5% | Train | 36,034 | 3,832 | |
| Validation | 1897 | 202 | ||
| Percentage of data | 90.39% | 9.61% | ||
| Test set (novel area, no overlap) | 2923 | 200 | ||
| Percentage of data | 93.60% | 6.40% | ||
| Training Scenario ID |
Deep Learning Model | Tile Size (pixels) | Tile Overlap (%) |
|---|---|---|---|
| 1 | VGG-v1 | 256 × 256 | 0 |
| 2 | 12.5 | ||
| 3 | VGG-v1 | 512 × 512 | 0 |
| 4 | 12.5 | ||
| 5 | VGG-v1 | 1024 × 1024 | 0 |
| 6 | 12.5 | ||
| 7 | VGG-v2 | 256 × 256 | 0 |
| 8 | 12.5 | ||
| 9 | VGG-v2 | 512 × 512 | 0 |
| 10 | 12.5 | ||
| 11 | VGG-v2 | 1024 × 1024 | 0 |
| 12 | 12.5 |
| Independent Variable | Category ж (Training ж Scenario ID) | Statistical Measure | Loss | Accuracy | F1 score | Precision | Recall | ROC-AUC score | |
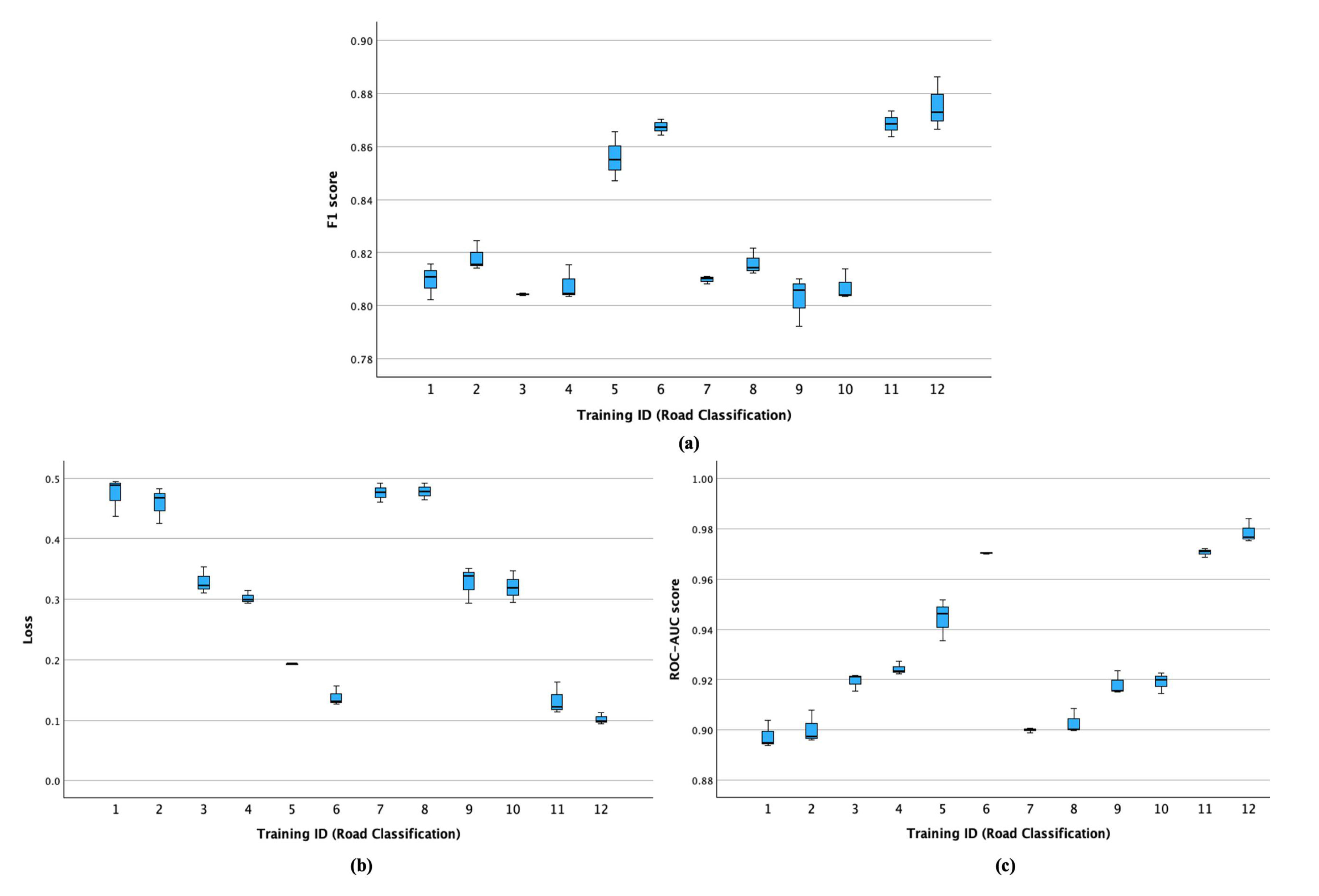
| Training Scenario ID (Road Classification) | 1 | Mean | 0.4736 | 0.8272 | 0.8096 | 0.8116 | 0.8081 | 0.8976 | |
| Std. Deviation | 0.0322 | 0.0053 | 0.0069 | 0.0054 | 0.0089 | 0.0054 | |||
| 2 | Mean | 0.4587 | 0.8325 | 0.8182 | 0.8156 | 0.8214 | 0.9004 | ||
| Std. Deviation | 0.0298 | 0.0044 | 0.0056 | 0.0045 | 0.0075 | 0.0064 | |||
| 3 | Mean | 0.3290 | 0.9101 | 0.8044 | 0.8358 | 0.7809 | 0.9194 | ||
| Std. Deviation | 0.0218 | 0.0018 | 0.0005 | 0.0090 | 0.0044 | 0.0033 | |||
| 4 | Mean | 0.3026 | 0.9113 | 0.8079 | 0.8372 | 0.7857 | 0.9243 | ||
| Std. Deviation | 0.0104 | 0.0013 | 0.0066 | 0.0041 | 0.0123 | 0.0025 | |||
| 5 | Mean | 0.1932 | 0.9717 | 0.8559 | 0.9633 | 0.7931 | 0.9445 | ||
| Std. Deviation | 0.0015 | 0.0008 | 0.0093 | 0.0170 | 0.0182 | 0.0082 | |||
| 6 | Mean | 0.1385 | 0.9734 | 0.8673 | 0.9618 | 0.8080 | 0.9703 | ||
| Std. Deviation | 0.0164 | 0.0005 | 0.0030 | 0.0080 | 0.0049 | 0.0003 | |||
| 7 | Mean | 0.4763 | 0.8259 | 0.8099 | 0.8090 | 0.8112 | 0.9000 | ||
| Std. Deviation | 0.0154 | 0.0025 | 0.0015 | 0.0033 | 0.0014 | 0.0010 | |||
| 8 | Mean | 0.4783 | 0.8311 | 0.8161 | 0.8149 | 0.8184 | 0.9029 | ||
| Std. Deviation | 0.0143 | 0.0068 | 0.0049 | 0.0084 | 0.0027 | 0.0049 | |||
| 9 | Mean | 0.3278 | 0.9088 | 0.8029 | 0.8312 | 0.7814 | 0.9182 | ||
| Std. Deviation | 0.0303 | 0.0026 | 0.0093 | 0.0062 | 0.0150 | 0.0048 | |||
| 10 | Mean | 0.3206 | 0.9116 | 0.8072 | 0.8399 | 0.7828 | 0.9190 | ||
| Std. Deviation | 0.0260 | 0.0024 | 0.0059 | 0.0050 | 0.0065 | 0.0042 | |||
| 11 | Mean | 0.1327 | 0.9733 | 0.8684 | 0.9544 | 0.8126 | 0.9705 | ||
| Std. Deviation | 0.0267 | 0.0005 | 0.0048 | 0.0074 | 0.0096 | 0.0017 | |||
| 12 | Mean | 0.1018 | 0.9746 | 0.8751 | 0.9659 | 0.8195 | 0.9786 | ||
| Std. Deviation | 0.0093 | 0.0016 | 0.0101 | 0.0086 | 0.0145 | 0.0047 | |||
| Inferential Statistics | F-statistic | 130.338 | 1115.404 | 60.938 | 216.721 | 7.412 | 130.648 | ||
| p-value | <0.001 | <0.001 | <0.001 | <0.001 | <0.001 | <0.001 | |||
| η | 0.992 | 0.999 | 0.983 | 0.995 | 0.879 | 0.992 | |||
| η² | 0.984 | 0.998 | 0.965 | 0.990 | 0.773 | 0.984 | |||
| Total (Descriptive Statistics) | Mean | 0.3111 | 0.9043 | 0.8286 | 0.8700 | 0.8019 | 0.9288 | ||
| Std. Deviation | 0.1396 | 0.0599 | 0.0284 | 0.0666 | 0.0177 | 0.0292 | |||
| F1 score | ROC-AUC score | Loss | ||||||||||||
| Training ID | Subset | Training ID | Subset | Training ID | Subset | |||||||||
| 1 | 2 | 1 | 2 | 3 | 4 | 5 | 6 | 1 | 2 | 3 | 4 | |||
| 9 | 0.8029 | 1 | 0.8976 | 12 | 0.1018 | |||||||||
| 3 | 0.8044 | 7 | 0.9000 | 0.9000 | 11 | 0.1327 | 0.1327 | |||||||
| 10 | 0.8072 | 2 | 0.9004 | 0.9004 | 6 | 0.1385 | 0.1385 | |||||||
| 4 | 0.8079 | 8 | 0.9029 | 0.9029 | 0.9029 | 5 | 0.1932 | |||||||
| 1 | 0.8096 | 9 | 0.9182 | 0.9182 | 0.9182 | 4 | 0.3026 | |||||||
| 7 | 0.8099 | 10 | 0.9190 | 0.9190 | 10 | 0.3206 | ||||||||
| 8 | 0.8161 | 3 | 0.9194 | 0.9194 | 9 | 0.3278 | ||||||||
| 2 | 0.8182 | 4 | 0.9243 | 3 | 0.3290 | |||||||||
| 5 | 0.8559 | 5 | 0.9445 | 2 | 0.4587 | |||||||||
| 6 | 0.8673 | 6 | 0.9703 | 1 | 0.4736 | |||||||||
| 11 | 0.8684 | 11 | 0.9705 | 7 | 0.4763 | |||||||||
| 12 | 0.8751 | 12 | 0.9786 | 8 | 0.4783 | |||||||||
| p-value | 0.650 | 0.314 | p-value | 0.997 | 0.051 | 0.107 | 0.990 | 1.000 | 0.910 | p-value | 0.946 | 0.426 | 0.996 | 1.000 |
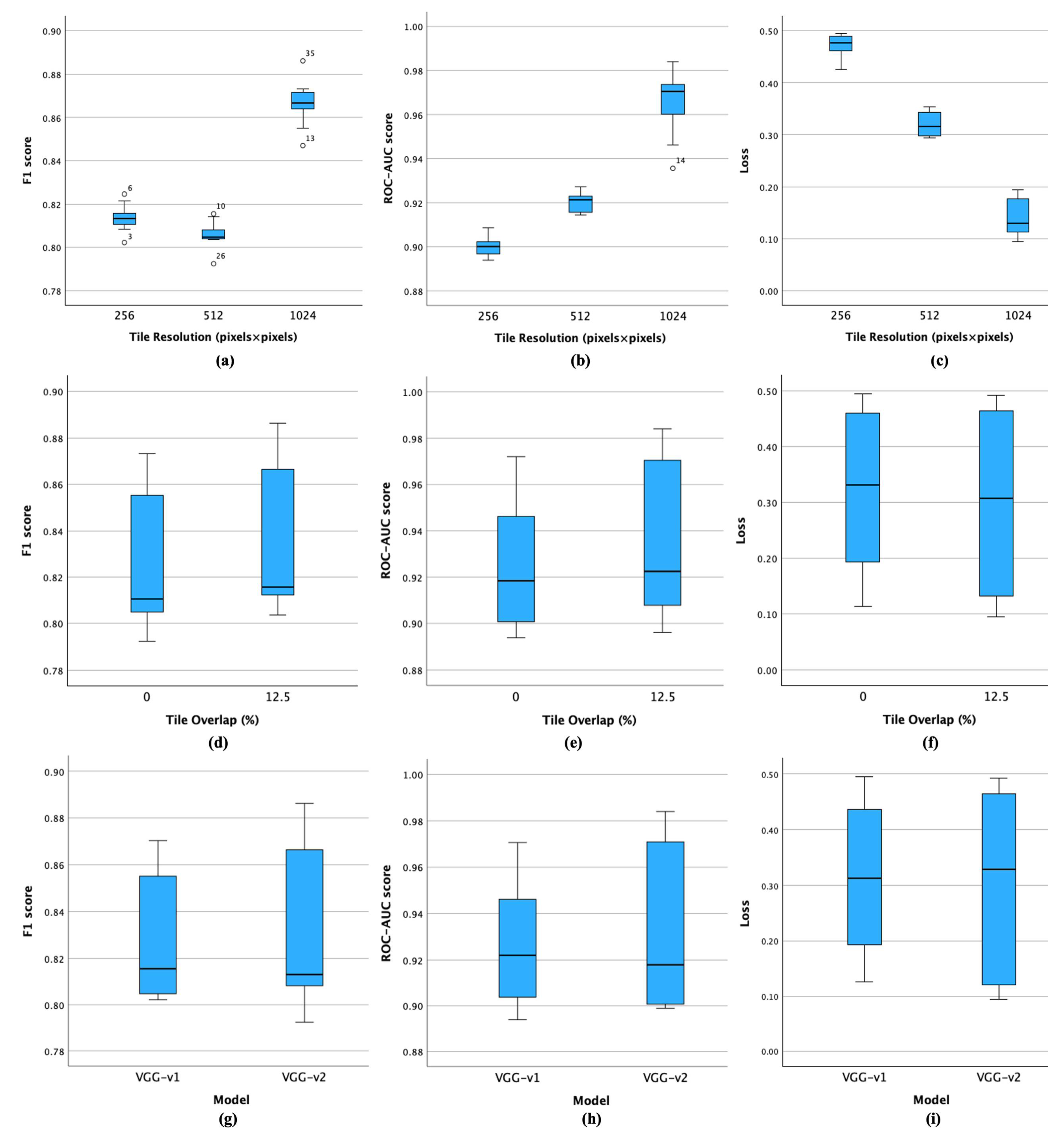
| Independent Variable | Category | Statistical Measure | Loss | Accuracy | F1 score | Precision | Recall | ROC-AUC score | |
| Tile Size (pixels × pixels) |
256 | Mean | 0.4717 | 0.8292 | 0.8135 | 0.8128 | 0.8148 | 0.9002 | |
| Std. Deviation | 0.0222 | 0.0051 | 0.0059 | 0.0056 | 0.0076 | 0.0046 | |||
| 512 | Mean | 0.3200 | 0.9104 | 0.8056 | 0.8360 | 0.7827 | 0.9202 | ||
| Std. Deviation | 0.0228 | 0.0021 | 0.0059 | 0.0063 | 0.0091 | 0.0041 | |||
| 1024 | Mean | 0.1415 | 0.9733 | 0.8667 | 0.9613 | 0.8083 | 0.9660 | ||
| Std. Deviation | 0.0371 | 0.0013 | 0.0096 | 0.0104 | 0.0149 | 0.0140 | |||
| Inferential Statistics | F-statistic | 411.747 | 5730.323 | 246.451 | 1283.264 | 28.559 | 174.008 | ||
| p-value | <0.001 | <0.001 | <0.001 | <0.001 | <0.001 | <0.001 | |||
| η | 0.981 | 0.999 | 0.968 | 0.994 | 0.796 | 0.956 | |||
| η2 | 0.961 | 0.997 | 0.937 | 0.987 | 0.634 | 0.913 | |||
| Tile Overlap (%) |
0 | Mean | 0.3221 | 0.9028 | 0.8252 | 0.8675 | 0.7979 | 0.9250 | |
| Std. Deviation | 0.1339 | 0.0616 | 0.0278 | 0.0677 | 0.0167 | 0.0266 | |||
| 12.5 | Mean | 0.3001 | 0.9057 | 0.8320 | 0.8726 | 0.8060 | 0.9326 | ||
| Std. Deviation | 0.1481 | 0.0600 | 0.0294 | 0.0674 | 0.0181 | 0.0320 | |||
| Inferential Statistics | F-statistic | 0.219 | 0.021 | 0.510 | 0.050 | 1.948 | 0.599 | ||
| p-value | 0.643 | 0.886 | 0.480 | 0.825 | 0.172 | 0.444 | |||
| η | 0.080 | 0.025 | 0.122 | 0.038 | 0.233 | 0.132 | |||
| η2 | 0.006 | 0.001 | 0.015 | 0.001 | 0.054 | 0.017 | |||
| Model (CNN architecture) |
VGG-v1 | Mean | 0.3159 | 0.9044 | 0.8272 | 0.8709 | 0.7995 | 0.9261 | |
| Std. Deviation | 0.1288 | 0.0602 | 0.0261 | 0.0678 | 0.0170 | 0.0263 | |||
| VGG-v2 | Mean | 0.3062 | 0.9042 | 0.8299 | 0.8692 | 0.8043 | 0.9315 | ||
| Std. Deviation | 0.1532 | 0.0613 | 0.0313 | 0.0673 | 0.0184 | 0.0324 | |||
| Inferential Statistics | F-statistic | 0.042 | 0 | 0.080 | 0.006 | 0.654 | 0.307 | ||
| p-value | 0.839 | 0.995 | 0.779 | 0.941 | 0.424 | 0.583 | |||
| η | 0.035 | 0.001 | 0.048 | 0.013 | 0.137 | 0.095 | |||
| η2 | 0.001 | 0 | 0.002 | 0 | 0.019 | 0.009 |
| ID | Source | Dependent Variable | Type III Sum of Squares | df | Mean Square | F | p-value |
| 1 | Corrected Model | F1 score | 0.0273a | 11 | 0.0025 | 60.94 | <0.001 |
| ROC-AUC score | 0.0294b | 11 | 0.0027 | 130.65 | <0.001 | ||
| Loss | 0.6706c | 11 | 0.0610 | 130.34 | <0.001 | ||
| 2 | Intercept | F1 score | 24.7158 | 1 | 24.7158 | 606,928.45 | <0.001 |
| ROC-AUC score | 31.0576 | 1 | 31.0576 | 1,519,926.45 | <0.001 | ||
| Loss | 3.4838 | 1 | 3.4838 | 7,448.61 | <0.001 | ||
| 3 | Model | F1 score | 6.615-5 | 1 | 6.6151-5 | 1.62 | 0.2147 |
| ROC-AUC score | 0.0003 | 1 | 0.0003 | 13.06 | 0.0014 | ||
| Loss | 0.0008 | 1 | 0.0008 | 1.80 | 0.1920 | ||
| 4 | Size | F1 score | 0.0265 | 2 | 0.0133 | 325.37 | <0.001 |
| ROC-AUC score | 0.0273 | 2 | 0.0136 | 667.29 | <0.001 | ||
| Loss | 0.6555 | 2 | 0.3278 | 700.78 | <0.001 | ||
| 5 | Overlap | F1 score | 0.0004 | 1 | 0.0004 | 10.25 | 0.0038 |
| ROC-AUC score | 0.0005 | 1 | 0.0005 | 25.29 | <0.001 | ||
| Loss | 0.0044 | 1 | 0.0044 | 9.32 | 0.0055 | ||
| 6 | Size * Overlap | F1 score | 4.1602-5 | 2 | 2.0801-5 | 0.51 | 0.6064 |
| ROC-AUC score | 0.0004 | 2 | 0.0002 | 9.74 | <0.001 | ||
| Loss | 0.0021 | 2 | 0.0011 | 2.25 | 0.1269 | ||
| 7 | Model * Size | F1 score | 0.0003 | 2 | 0.0001 | 3.07 | 0.0649 |
| ROC-AUC score | 0.0007 | 2 | 0.0003 | 16.30 | <0.001 | ||
| Loss | 0.0068 | 2 | 0.0034 | 7.29 | 0.0034 | ||
| 8 | Model * Overlap | F1 score | 9.8178-6 | 1 | 9.8178-6 | 0.24 | 0.6279 |
| ROC-AUC score | 0.0001 | 1 | 0.0001 | 5.78 | 0.0243 | ||
| Loss | 0.0009 | 1 | 0.0009 | 1.92 | 0.1786 | ||
| 9 | Model * Size * Overlap | F1 score | 1.1549-5 | 2 | 5.7744-6 | 0.14 | 0.8685 |
| ROC-AUC score | 0.0001 | 2 | 6.4747-5 | 3.17 | 0.0601 | ||
| Loss | 1.8477-5 | 2 | 9.2386-6 | 0.02 | 0.9805 | ||
| 10 | Error | F1 score | 0.0010 | 24 | 4.0723-5 | ||
| ROC-AUC score | 0.0005 | 24 | 2.0434-5 | ||||
| Loss | 0.0112 | 24 | 0.0005 | ||||
| 11 | Total | F1 score | 24.7441 | 36 | |||
| ROC-AUC score | 31.0874 | 36 | |||||
| Loss | 4.1656 | 36 | |||||
| 12 | Corrected Total | F1 score | 0.0283 | 35 | |||
| ROC-AUC score | 0.0299 | 35 | |||||
| Loss | 0.6818 | 35 |
Disclaimer/Publisher’s Note: The statements, opinions and data contained in all publications are solely those of the individual author(s) and contributor(s) and not of MDPI and/or the editor(s). MDPI and/or the editor(s) disclaim responsibility for any injury to people or property resulting from any ideas, methods, instructions or products referred to in the content. |
© 2024 by the authors. Licensee MDPI, Basel, Switzerland. This article is an open access article distributed under the terms and conditions of the Creative Commons Attribution (CC BY) license (http://creativecommons.org/licenses/by/4.0/).