Submitted:
10 July 2024
Posted:
11 July 2024
You are already at the latest version
Abstract
Keywords:
1. Introduction
2. Experimental Procedure
3. Results and Discussion
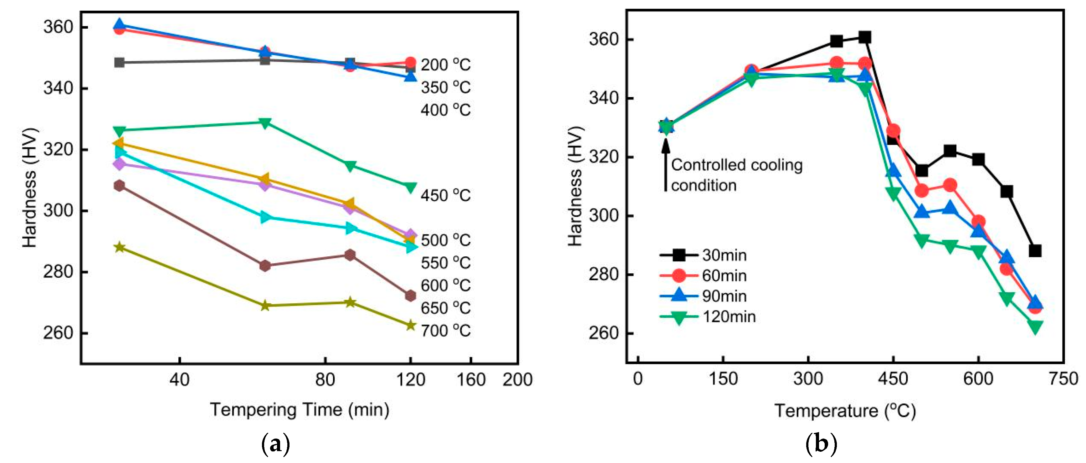
3.1. Effect of Tempering Parameters on Hardness
3.2. Establishment of Tempering Model Based on λ and P Parameters
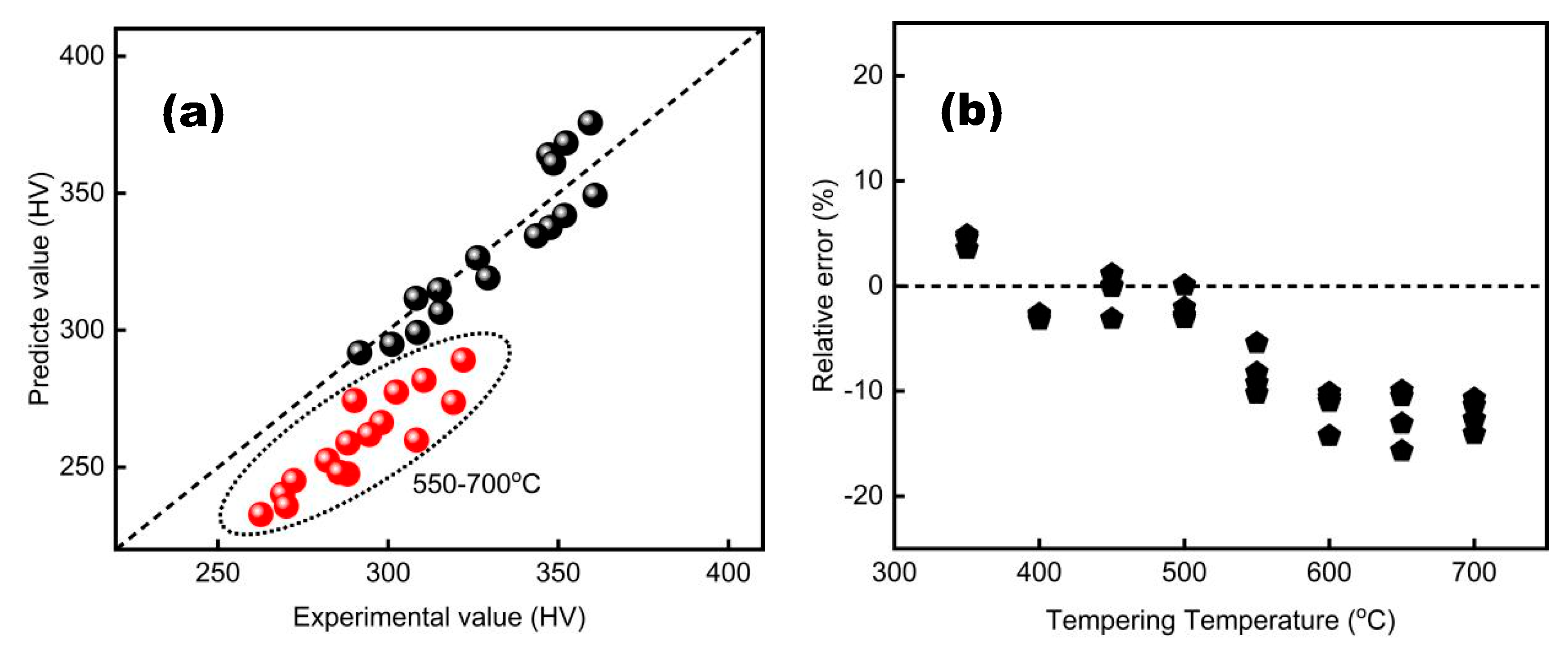
3.3. Error Analysis and Mechanical Prediction
4. Conclusions
Acknowledgments
References
- Emi T .Steelmaking Technology for the Last 100 Years: Toward Highly Efficient Mass-Production Systems for High-Quality Steels[J]. Tetsu To Hagane-journal of The Iron and Steel Institute of Japan, 2014, 100:31-58.
- Tzevelekou T V ,Geck, Hans Günter,van Hüllen, Peter,et al. Direct smelting of metallurgical dusts and ore fines in a 125t DC-HEP furnace[J].Steel Research International, 2004, 75(6):382-391.
- Liu H Y , Li J , Ma C .Smelting Period Shortening Practices in Process of Electric Arc Furnace Steelmaking[J]. Advanced Materials Research, 2012, 572:243-248.
- KUHL T,SUN S,TRINH M.Equipment and Practice Enhancements at Dofasco’s Vacuum Degas Tank for ULC Steel [J]. Iron and Steel Technology,2004,1(4):21-27.
- Shi, X. X. , Zhang, Z. X., Li, Y., & Zhang, L. L. (2023). Bainitic high-phosphorus steel with an excellent combination of strength, toughness and corrosion resistance. Materials Letters, 339, Article 134088.
- De-Castro, D. , Granados, J. E., & Ramirez, A. (2022). Morphological and crystallographic features of granular and lath-like bainite in a low carbon microalloyed steel. Materials Characterization, 184, Article 111703.
- S.H. He, B.B. He, K.Y. Zhu, M.X. Huang. On the correlation among dislocation density, lath thickness and yield stress of bainite. Acta Materialia, Volume 135,2017,Pages 382-389. [CrossRef]
- F.G. Caballero, H. Roelofs, S. Hasler, et al. Influence of bainite morphology on impact toughness of continuously cooled cementite free bainitic steels[J]. Mater. Sci. Technol. 2012(28): 95-102.
- Xiangyun Zhang, Shiyun Liu, Kun Wang, Ling Yan, Jialong Wang, Qihang Xia, Hao Yu. Effect of vanadium microalloying on phase transformation and strengthening mechanism of 1000 MPa low carbon bainitic steel.Materials Science and Engineering: A,Volume 884,2023,145578. [CrossRef]
- Pancholi V, Krishnan M, Samajdar I S, et al. Self-accommodation in the bainitic microstructure of ultra-high-strength steel[J].Acta Materialia, 2008, 56(9):2037-2050.
- Im Y R, Oh Y J, Lee B J,et al. Effects of carbide precipitation on the strength and Charpy impact properties of low carbon Mn-Ni-Mo bainitic steels[J]. Journal of Nuclear Materials, 2001, 297(2):138-148.
- E. Tkachev, S. Borisov, Yu. Borisova, T. Kniaziuk, A. Belyakov, R. Kaibyshev. Austenite stabilization and precipitation of carbides during quenching and partitioning (Q&P) of low-alloyed Si–Mn steels with different carbon content. Materials Science and Engineering: A,Volume 895, 2024,146212. [CrossRef]
- Shin S Y, Han S Y, Hwang B,et al. Effects of Cu and B addition on microstructure and mechanical properties of high-strength bainitic steels[J]. Materials Science & Engineering A, 2009, 517(1-2):212-218.
- Canale Lauralice, Yao Xin, Gu Jianfeng,,et al. A historical overview of steel tempering parameters[J]. Int. J. Microstructure and Materials Properties, 2008(4–5): 474–525.
- Pashangeh S, Somani M, Banadkouki S S G.Structure-Property Correlations of a Medium C Steel Following Quenching and Isothermal Holding above and below the M-s Temperature[J]. ISIJ International, 2021, 61(1): 442-451.
- Rancel L, Gomez M, Medina S F,et al. Measurement of bainite packet size and its influence on cleavage fracture in a medium carbon bainitic steel[J]. Materials Science & Engineering A, 2011, 530:21-27.
- Adamczyk J, Grajcar A.Heat treatment of TRIP-aided bainitic steel[J]. International Journal of Microstructure & Materials Properties, 2007, 2(2):112-123.
- Yuang Dong, Xinqiang Lan, Siqi Yang, Jingxiang Lu, Siyu Yan, Kaiwen Wei, Zemin Wang. Effect of quenching and tempering treatments on microstructure and mechanical properties of 300M ultra-high strength steel fabricated by laser powder bed fusion. Materials Characterization,Volume 212,2024,113935. [CrossRef]
- , Zhang, C., Zhang, J., Liu, H., & Huang, Y. (2023). Achieving high strength-ductility synergy in nickel aluminum bronze alloy via a quenching-aging-tempering heat treatment. Materials Letters, 333, Article 2.
- Zhang J, Dai Z, Zeng L,et al. Revealing carbide precipitation effects and their mechanisms during quenching-partitioning-tempering of a high carbon steel: Experiments and Modeling[J]. Acta Materialia, 2021, 217.
- Yerbolat Koyanbayev. Applying the Hollomon-Jaffe parameter to predict changes in mechanical properties of irradiated austenitic chromium-nickel steels during isothermal exposure[J]. AIMS Materials Science, 2024, 11(2): 216-230.
- Virtanen E, Tyne C J V, Levy B S,et al. The tempering parameter for evaluating softening of hot and warm forging die steels[J].Journal of Materials Processing Technology, 2013, 213(8):1364–1369.
- Kang S, Lee S J.Prediction of Tempered Martensite Hardness Incorporating the Composition-Dependent Tempering Parameter in Low Alloy Steels[J]. Materials Transactions, 2014, 55(7):1069-1072.
- Revilla C, Lopez B, Rodriguez-Ibabe J M.Carbide size refinement by controlling the heating rate during induction tempering in a low alloy steel[J]. Materials and Design, 2014, 62(oct.):296–304.
- Gomes C , Kaiser A L , Bas J P ,et al. Predicting the mechanical properties of a quenched and tempered steel thanks to a “tempering parameter”[J]. Metallurgical Research & Technology, 2010, 107: 293-302.
- Gomes C, Kaiser A L, Bas J P,et al. Predicting the mechanical properties of a quenched and tempered steel thanks to a “tempering parameter”[J]. Metallurgical Research & Technology, 2010.
- Goulas C, Kumar A, Mecozzi M G,et al. Atomic-scale investigations of isothermally formed bainite microstructures in 51CrV4 spring steel[J]. Materials Characterization, 2019, 152:67-75.
- Jun H J, Park S H, Choi S D,et al. Decomposition of retained austenite during coiling process of hot rolled TRIP-aided steels[J]. Materials Science and Engineering A, 2004, 379(1-2):204-209.
- H. Dong, Y. Zhang, G. Miyamoto, et al. Unraveling the effects of Nb interface segregation on ferrite transformation kinetics in low carbon steels[J]. Acta Mater. 215 (2021), 117081.
- J. Takahashi, K. Kawakami, J.I. Hamada, et al. Direct observation of niobium segregation to dislocations in steel[J]. Acta Mater. 107 (2016) 415–422.







![]() |
Disclaimer/Publisher’s Note: The statements, opinions and data contained in all publications are solely those of the individual author(s) and contributor(s) and not of MDPI and/or the editor(s). MDPI and/or the editor(s) disclaim responsibility for any injury to people or property resulting from any ideas, methods, instructions or products referred to in the content. |
© 2024 by the authors. Licensee MDPI, Basel, Switzerland. This article is an open access article distributed under the terms and conditions of the Creative Commons Attribution (CC BY) license (http://creativecommons.org/licenses/by/4.0/).
