Preprint
Article

This version is not peer-reviewed.

The Use of Diss Fibers to Enhance Lime Plaster Durability

Submitted:

10 July 2024

Posted:

12 July 2024

You are already at the latest version

Abstract
The use of natural fibres is investigated in recent years in cement, lime or geopolymer mortars to increase their toughness, resistance, tensile strength and durability. These fibres, derived from sources such as jute, hemp, sisal, and flax, are added to the mortar mix to enhance its mechanical properties and reduce cracking. The choice of the natural source strongly depends on local availability of the plant, its use and harvesting. In this paper the fibres of Diss (Ampelodesmos Mauritanicus, Poir) were used as reinforcement for mortars prepared by using waste materials, such as waste glass powder and air hardening lime obtained by the kilning of marble slurry. The samples underwent artificial and natural ageing and were characterized by measuring apparent density, water sorption coefficient, compression and bending stress, indicating a positive role of fibres addiction in increasing mortars durability.
Keywords: 
;  ;  ;  ;  

1. Introduction

Air lime mortars were used in construction since the beginning of human civilization [1], lime mortars were found in all ancient civilization ranging from Israel, to China, or South America dating back to 10000 BCE [2]. Nowadays the use of lime mortars for non-structural applications, i.e. plasters and renders, could be a way to reduce the environmental impact of the construction industry as the CO2 emissions in lime production are quite lower than the one of cement production [3,4]. Traditionally natural fibers, as straw and wood, were used to reinforce slaked lime mortars particularly to reduce shrinkage cracks [5,6]. These plant-based reinforcements aren't new, but they're gaining renewed interest due to their sustainability benefits. The use of natural fibers is investigated in recent years in cement, lime or geopolymer mortars to increase their toughness, resistance, tensile strength and durability. These fibers are derived from sources such as jute, hemp, sisal, and flax, are added to the mortar mix to enhance its mechanical properties and reduce cracking [7,8,9,10,11]. The use of natural fibers in lime mortars not only enhances the material's performance but also contributes to environmental conservation by offering an eco-friendly alternative to synthetic fibers. In the present era, the combination of ancient knowledge and new technologies has made the use of natural fibers in lime mortars an innovative and versatile solution for sustainable and high-quality construction applications. The use of natural fibers helps to increase the tensile strength and impact resistance of the mortar, making it more suitable for various construction applications. Nowadays the use of plants fibers in mortars is spreading due to the availability of the source, its low cost and their valuable properties. The choice of the natural source strongly depends on local availability of the plant, its use and harvesting. In Brasil, [12], researcher have studied the possibility of using coconut fibers with alterned results. Coconut fibers were compares with other natural ones in [13] showing some potential. Similarly natural fibers are compared with artificial ones and the results highlight good potential of natural ones [14,15]. Several Sicilian plants were explored as source of cellulosic fibers to be used in mortars [7,16] for cementitious or lime binder. Diss (Ampelodesmos Mauritanicus, Poir) is a plant widespread in the whole mediterranean region and in Sicily, it’s used in some traditional agricultural application but with no industrial application, so that many researcher studied the use of its fibers as admixtures for mortars with different binders. Moreover this plant is involved in the starting of fires in the summer as it can produce high flames and it grows spontaneously in the period from April to June, becoming dry at the beginning of July, resulting in material very sensitive in catching fire. Nouria et al, [17,18], described the chemical physical behaviour of Diss fibers before and after chemical treatment, highlighting the possibility to improve some characteristics by an alkaline treatment, like the unbundle of fibers and increase of mechanical properties. Diss fibers were tested for the production of biocomposites resulting in a significative improvement of their mechanical properties. Similarly the structure of diss fibers, characterized by the presence of uniformly distributed siliceous thorns along the stem, seem to ensure good adhesion to inorganic binders, cement, lime or geopolymers [19,20,21,22].
In order to develop a sustainable building material, in this paper, the fibers of Diss were used as reinforcement for mortars prepared by using waste materials, such as waste glass powder and air hardening lime obtained by the kilning of marble slurry.

2. Materials and Methods

The binder used in this paper is a lime putty obtained by kilning a marble slurry, collected from the quarries sited in Custonaci (TP), an important site for the production of a well known and appreciated hard and polishable limestone, commercially indicates as marble even if it’s a sedimentary stone, and slaking it in distilled water. Waste glass powder comes from a selective waste collection site located in Marsala (TP) operated by Sarco S.r.l. Common river sand, consisting mostly of quartz with traces of biotite and feldspar, was used as aggregate of the mortars. The binder obtained by mixing these materials, in 1:1 ratio, has low hydraulic properties [23].
Diss fibers were used in a previous work from the same research group [16]. Diss is a large grass widespread growing in the Mediterranean basin, it’s a perpetual plant living in arid and sandy soils. In Sicily, Ampelodesmos grasslands are commonly found from 0 to 1200 m a.s.l. Fibers are obtained by the its strong leaves, very rough, that can be very sharp due to the presence of microscopic siliceous thorns. Due to its excellent mechanical and physical properties these leaves were used in the construction of old dwellings [22]. Use of diss is considered in several locations in the mediterranean basin as this plant is widespread and its presence is related to the quick spreading of fires in the summer.
Mortars’ samples were prepared: a first series was prepared as a reference material with glass and standard sand as aggregate, and indicated as BGS; a second series has been prepared by substituting 2% of aggregates with diss fibers, referered to as BGSD; finally a third series has been prepared without standard sand, using only materials from renewable or recycled sources, i.e. wasted glass and diss, BGD. The composition of samples are described in Table 1, where the binder consists of slaked lime, glass powder has a been sieved to a diameter lower than 125 µm, river sand is standard quartz sand with diameter lower than 2 mm and finally diss fibers were cut into 2cm long pieces.
Samples were cured in molds for 5 days in laboratory conditions (22 °C ± 2 °C; 60% ± 5% RH) then outside molds for 3 months in laboratory conditions (22 °C ± 2 °C; 60% ± 5% RH). After that samples underwent ageing, half in natural conditions standing on the roof for up to 24 months; the other half underwent accelerated ageing in a Angelantoni Challenge 1200 thermal chamber for up to 6 months running a 24 h cycle continuously consisting of: 4 hours at −10 °C, 1 hour heating up to 25 °C staying at this temperature for 12 hours, then heating up to 45 °C in 1 hour, staying at this temperature for 4 hours with UV illumination and finally going back to −10 °C in the last hour. The cycle is described in Figure 1
Simultaneous thermal analysis, i.e. thermogravimetric and differential thermal analysis, were performed in a Netzsch STA 449 Jupiter F1 instrument, equipped with a SiC furnace operating from room temperature to 1200 °C. Thermal decomposition were interpreted according to [24].
Flexural stress test were conducted, for each type of mortar, on five specimens, and the results were recorded as the average of the tensions at breakage obtained from valid tests (at least three specimens for each type). Flexural strength was obtained for each sample by the following equation:
σ m a x = 3 P L 2 b h 2
The tests were carried out according to the standard, UNI EN 1015-11 (2013) in force control in a Zwick/Roell Z005 universal electromechanical machine equipped with a 5 kN load cell. The span value was set to 100 mm, the preload to 20 N and the loading speed to 20 N/s in order to obtain the breakage of the specimens between 15 and 60s.
Compressive Test were carried out on five specimens for each type of mortar, and the results were recorded as average of the maximum compressive strength obtained from valid tests (at least three specimens for each type). The tests were carried out in force control on halves of the samples previously tested for bending with reference to the standard UNI EN1015-11, in a universal electromechanical machine MP Strumenti ToolsWANCE UTM 502, at a loading speed equal to 50 N/s to obtain the rupture for all the specimens between 20 and 90 s.
Absorption and desorption tests were conducted on at least three specimens for each type of mortar investigated on halves of the samples previously tested for bending, according to the standard UNI EN 1015-18 (2004) [26]. Before performing the water absorption test, the samples were dried in an oven at 60 °C until constant mass was reached. The samples were then placed in a container with the fracture surface of the prism downward on suitable supports to maximize the contact between the water and the surfaces of the samples. The water level in the container was maintained between 5 and 10 mm throughout the test, which was performed at room temperature. Sorption coefficient was evaluated by the following equation:
C = 0.1(M2 - M1)
where: C is the absorption coefficient, M1 is the mass of the sample after 10 min of immersion and M2 is the mass of the sample after 90 min of immersion.

3. Results

This section may be divided by subheadings. It should provide a concise and precise description of the experimental results, their interpretation, as well as the experimental conclusions that can be drawn.

3.1. Simultaneous Thermal Analysis

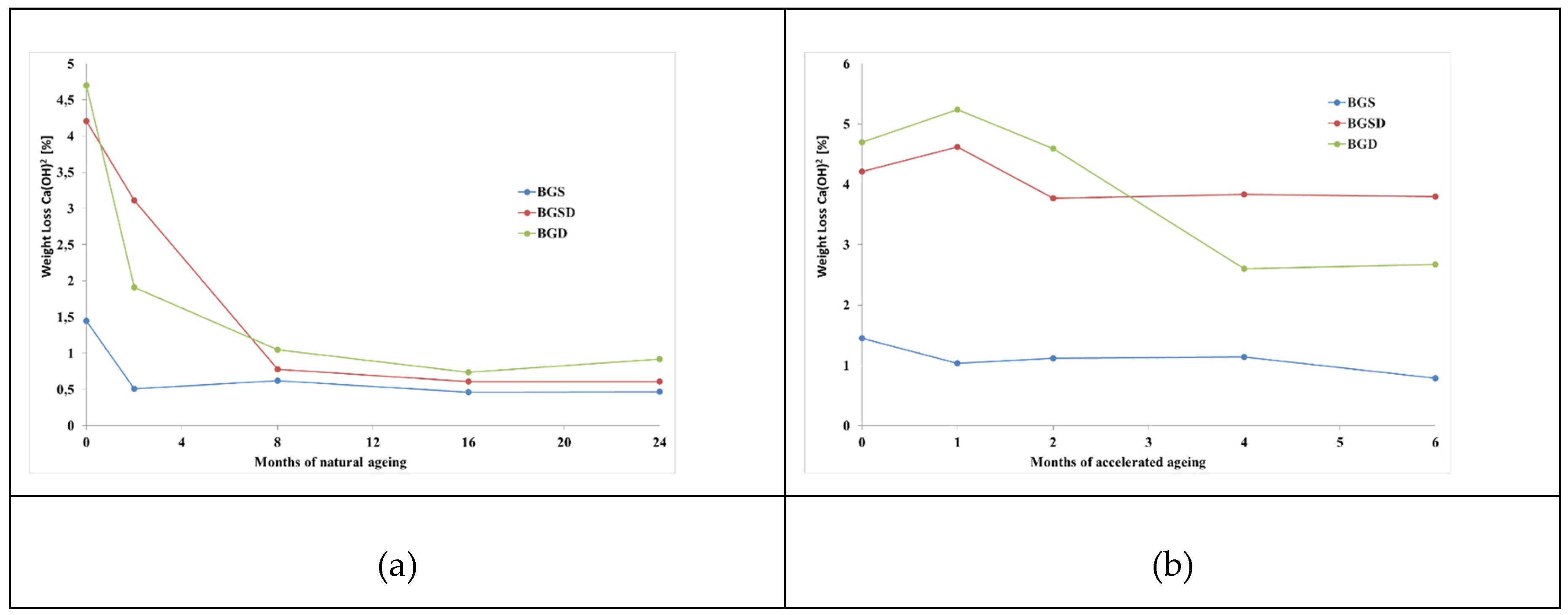
By the analysis of STA curves it was possible determine the weight loss associated with decomposition of Ca(OH)2 and plot it against time for natural and accelerated weathering.
It can be easily seen that in natural ageing conditions most of portlandite was consumed in the first 2 months and that from the second step. i.e. 8 months, the level of Ca(OH)2 remains constant for all samples. On the other hand samples with diss showed a more or less constant and high Ca(OH)2 content in accelerated ageing conditions, indicating that in such conditions hardening of the mortars isn’t effective.

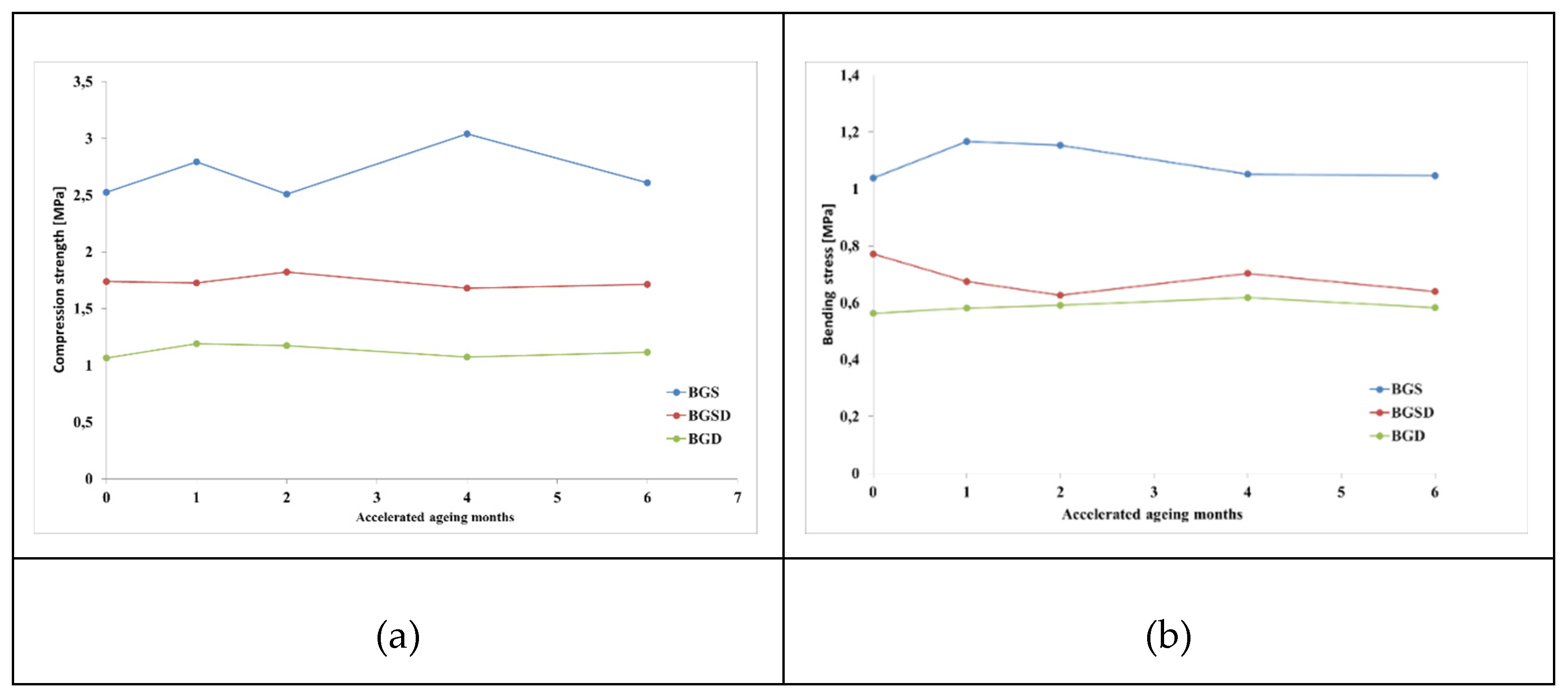
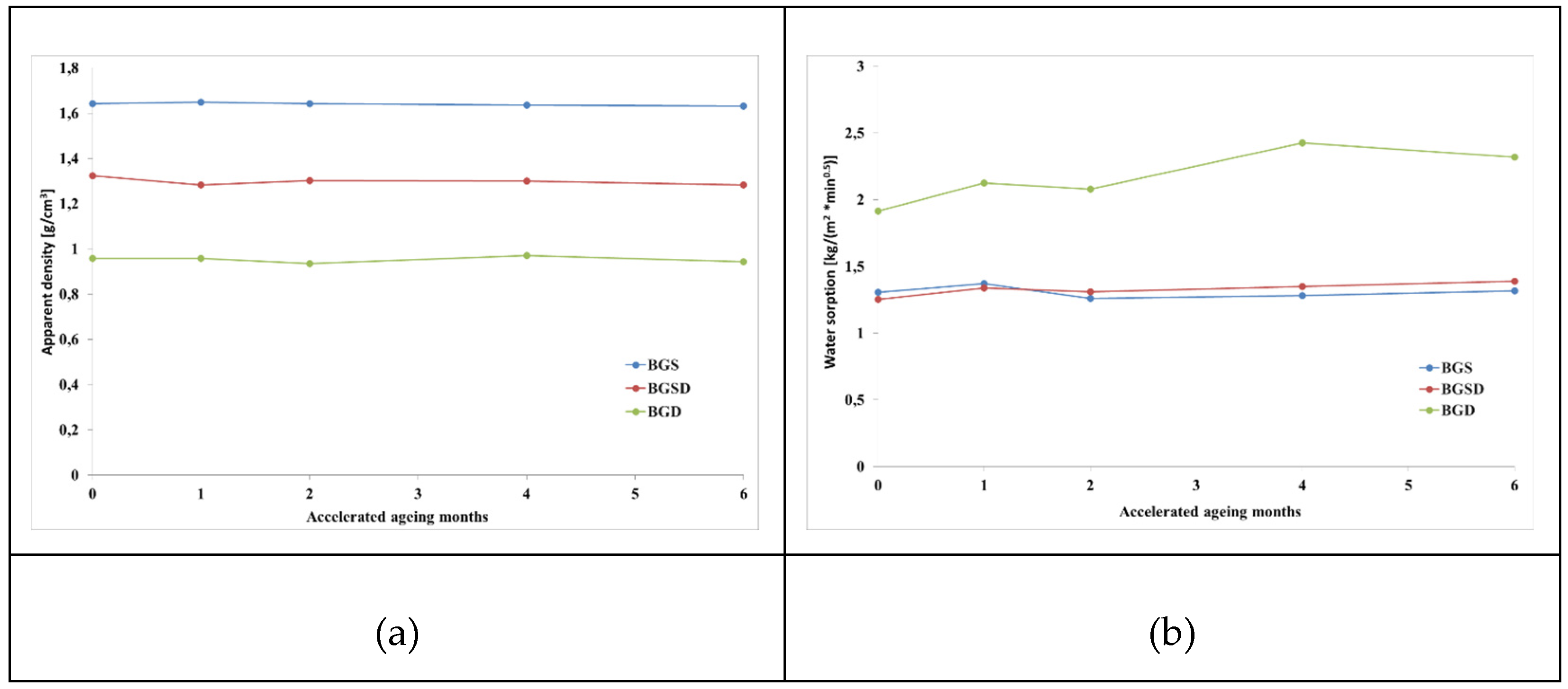
3.2. Accelerated Ageing Results

The accelerated ageing conditions didn’t allowed a proper hardening and it can be confirmed by looking at the results of physical and mechanical characterizations as presented in Figure 2 and Figure 3. Both apparent density and water sorption remains more or less constant with ageing, with a slight increase in the latter for samples with only glass and Diss. In the same way even mechanical properties of the samples didn’t show significant variations with time, both compressive and bending stresses remained more or less constant, with no clear indication of weathering.
Figure 2. Calcium hydroxide content of the samples during both (a) natural and (b) accelerated ageing.
Figure 2. Calcium hydroxide content of the samples during both (a) natural and (b) accelerated ageing.
Preprints 111821 g002
Figure 3. Variation of physical properties with accelerated ageing: (a) apparent density; (b) water sorption coefficient.
Figure 3. Variation of physical properties with accelerated ageing: (a) apparent density; (b) water sorption coefficient.
Preprints 111821 g003
Figure 4. Variation of mechanical properties with accelerated ageing: (a) compression strength; (b) bending strength.
Figure 4. Variation of mechanical properties with accelerated ageing: (a) compression strength; (b) bending strength.
Preprints 111821 g004

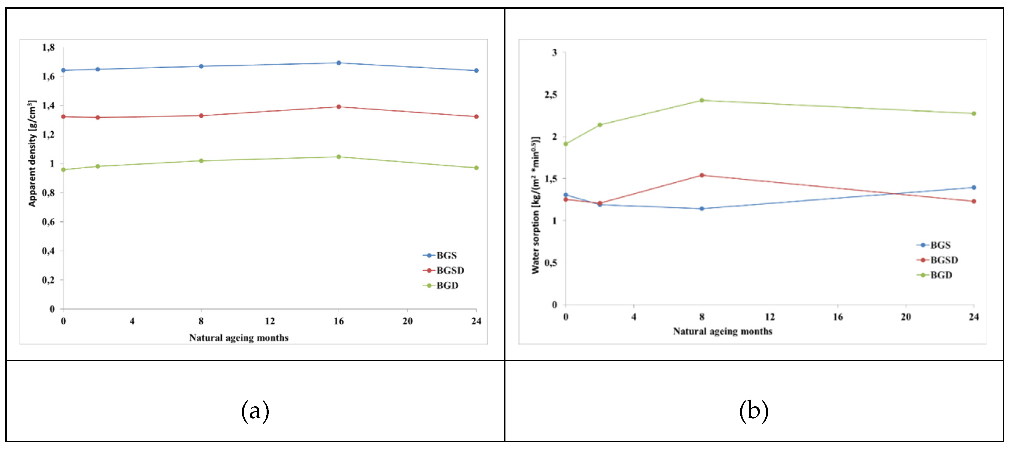
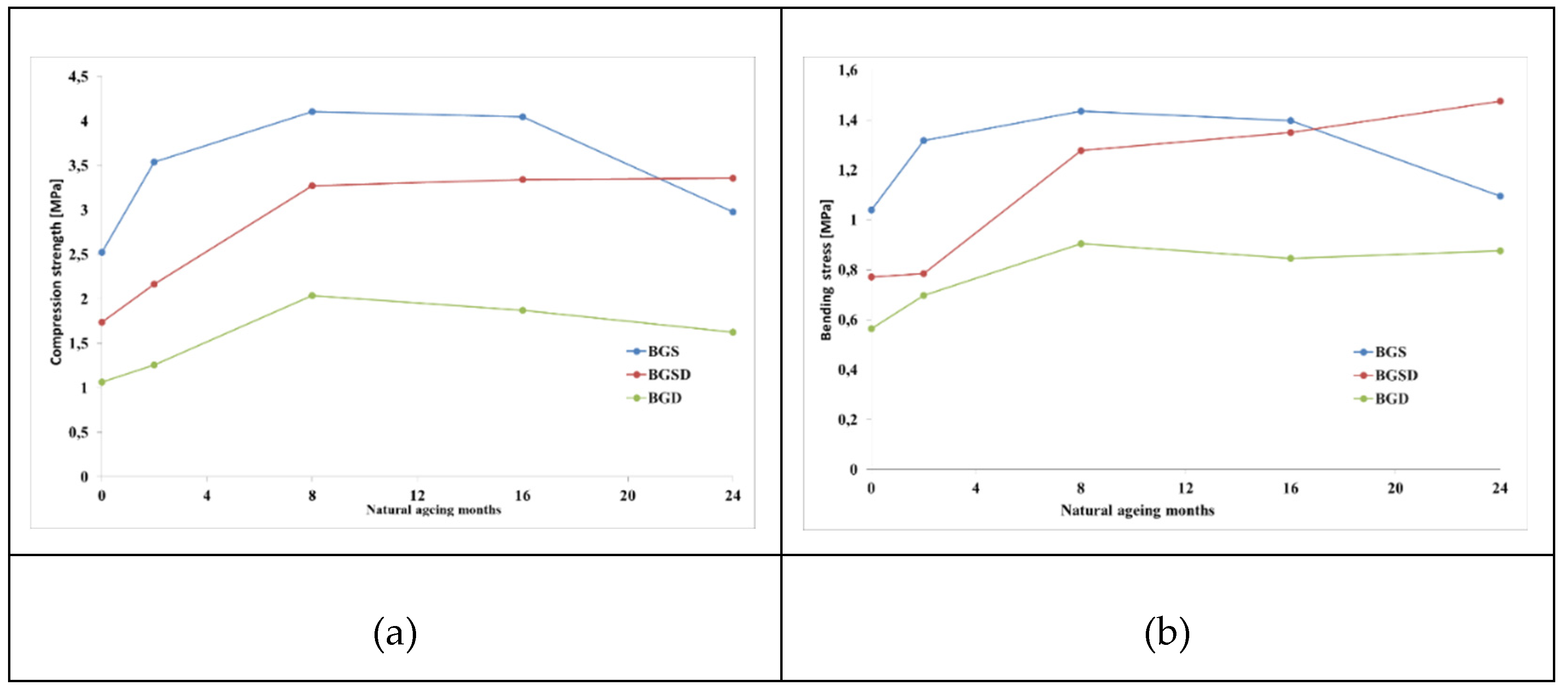
3.3. Natural Ageing Results

On the other hand samples aged naturally showed some indications of the role of diss fibers in durability of these mortars. The apparent density of the samples remained constant during time, indicating no physical damages occurred to the samples in both ageing procedures. Naturally samples containing Diss fibers have lower density than samples without fibers. Similarly water sorption coefficient remained constant with ageing indicating no relevant increase in porosity. It can be observed that samples without fibers, i.e. BGS, showed a reduction of water sorption in the first eight months of ageing, consistent with the decrease of calcium hydroxide content, and a slight increase in it after that point, resulting in a water sorption at the end of ageing equal to the starting one, while samples with diss have an increase in water sorption in the first months and then a slight decrease in the last but for all samples no significant variation of water sorption coefficient were observed.
Figure 5. Variation of physical properties with natural ageing: (a) apparent density; (b) water sorption coefficient.
Figure 5. Variation of physical properties with natural ageing: (a) apparent density; (b) water sorption coefficient.
Preprints 111821 g005
Figure 6. Variation of mechanical properties with natural ageing: (a) compression strength; (b) bending strength.
Figure 6. Variation of mechanical properties with natural ageing: (a) compression strength; (b) bending strength.
Preprints 111821 g006
The mechanical properties of mortars without fibers has an increase in the first eight months, consistent with the occurring hardening of the lime as showed by the lowering of portlandite content in Figure 2, but afterwards both compression and bending resistance goes down indicating a beginning of decay phenomena affecting the resistance of the mortars. On the opposite, samples with diss fibers showed a better behaviour with time, both in compression and bending, particularly samples consisting of both river sand and diss, showed an increase in mechanical properties and after weathering result the ones with better mechanical behaviour both in compression and bending.

4. Discussion and Conclusions

In this paper the use of diss fibers as admixture to improve durability of air hardening lime mortars was studied. The diss was chosen as it’s widespread in Sicily, has no other industrial uses and its harvesting is mandatory to reduce fire risk during the summer, so that proposing a use that can improve its value can have an important side effect in reducing the number of fires in the region. Preparing samples based only on waste materials, such as kilned marble slurry, recycled glass and diss fibers can produce reliable lime mortars to be used as render with no structural application.
Accelerated ageing wasn’t effective in both ensuring air hardening of lime and resulting in an effective ageing as six months couldn’t give the same results of two years of natural ageing.
The use of diss fibers seems to increase the durability of lime mortars as the presence of short fibers can reduce the shrinkage cracks and slowing fissure propagation.
Several series of samples were prepared and characterized and the experimental results indicate that diss fibers can be used to improve the durability of lime mortars as their mechanical properties seem to improve with time. This confirms similar results from other research group indicating that Diss is a valuable source of ligno-cellulosic fibers for applications in the construction industry.
The results of this paper are the first step in the use of Diss fibers in the construction industry in Sicily, further studies are needed with longer hardening period for the mortars and longer ageing time in order to ensure the validity of this first insight in usability of diss fibers.

Author Contributions

Bartolomeo Megna: Conceptualization, Investigation, Writing - original draft; Vincenzo Fiore: Conceptualization, Investigation; Dionisio Badagliacco: Conceptualization, Investigation, Visualization; Carmelo Sanfilippo Conceptualization, Investigation, Visualization; Antonino Valenza: supervision.

Funding

This research received no external funding.

Conflicts of Interest

The authors declare no conflicts of interest.

References

  1. Barbero-Barrera, M.M.; Maldonado-Ramosa, L.; Van Balen, K.; García-Santosa, A.; Neila-Gonzáleza, F.J. Lime render layers: an overview of their properties. J. Cult. Heritage 2014, 15, 326–330. [Google Scholar] [CrossRef]
  2. Arizzi, A.; Cultrone, G. The influence of aggregate texture, morphology and grading on the carbonation of non-hydraulic (aerial) limebased mortars. Quarterly Journal of Engineering Geology and Hydrogeology 2013, 46, 507–520. [Google Scholar] [CrossRef]
  3. Santos, T.; Almeida, J.; Silvestre, J.D.; Faria, P. Life cycle assessment of mortars: A review on technical potential and drawbacks. Construction and Building Materials 2021, 288. [Google Scholar] [CrossRef]
  4. Forster, A.M.; Vàlek, J.; Hughes, J.J.; Pilcher, N. Lime binders for the repair of historic buildings: Considerations for CO2 abatement. Journal of Cleaner Production 2020, 252. [Google Scholar] [CrossRef]
  5. Stefanidou, M.; Papayianni, I.; Pachta, V. Evolution of Inclusions in historic mortars. Archaeometry 2012, 54, 737–751. [Google Scholar] [CrossRef]
  6. Angiolilli, M.; Gregori, A.; Vailati, M. Lime-Based Mortar Reinforced by Randomly Oriented Short Fibers for the Retrofitting of the Historical Masonry Structure. Materials 2020, 13, 3462. [Google Scholar] [CrossRef] [PubMed]
  7. Badagliacco, D.; Sanfilippo, C.; Megna, B.; La Mantia, T.; Valenza, A. Mechanical and Thermal Properties of Insulating Sustainable Mortars with Ampelodesmos mauritanicus and Pennisetum setaceum Plants as Aggregates. Appl. Sci. 2021, 11, 5910. [Google Scholar] [CrossRef]
  8. Zollo, R.F. Fiber-reinforced concrete: an overview after 30 Years of development. Cement Concr. Compos. 1997, 19, 107–122. [Google Scholar] [CrossRef]
  9. Maia Pederneiras, C.; Veiga, R.; de Brito, J. Incorporation of Natural Fibers in Rendering Mortars for the Durability of Walls. Infrastructures 2021, 6, 82. [Google Scholar] [CrossRef]
  10. Vailati, M.; Mercuri, M.; Angiolilli, M.; Gregori, A. Natural-Fibrous Lime-Based Mortar for the Rapid Retrofitting of Heritage Masonry Buildings. Fibers 2021, 9, 68. [Google Scholar] [CrossRef]
  11. Haily, E.; Zari, N.; Bouhfid, R.; Qaiss, A. Natural fibers as an alternative to synthetic fibers in the reinforcement of phosphate sludge-based geopolymer mortar. Journal of Building Engineering 2023, 67. [Google Scholar] [CrossRef]
  12. dos Santos Alberton, K.; Blodow do Nascimento, C.; Brasil Cavalheiro, R.; Costa de Oliveira, V.; Teles Gonzaga, L.B.; Cesar Pierozan, R. Properties of coconut fiber-reinforced mortars for sustainable solutions. Journal of Building Pathology and Rehabilitation 2023, 8, 44. [Google Scholar] [CrossRef]
  13. Cardoso, C.; Eires, R.; Camoes, A. Natural Fibre Reinforced Earth and Lime Based Mortars, Contribution of Sustainable Building to Meet EU 20-20-20 Targets, Chapter 3 - High Performance Sustainable Building Solutions https://www.irbnet.de/daten/iconda/CIB_DC26392.pdf.
  14. Stefanidou, M.; Papachristoforou, M.; Kesikidou, F. Fiber- reinforced lime mortars, in Proceedings of the 4th Historic Mortars Conference, Santorini, Greece, 10th-12th October 2016.
  15. Abderraouf, A.; Naima, B.; Fouad, G. Thermal conductivity and thermal degradation of cementitious mortars reinforced with doum and diss fibers, in Proceedings of the International Conference On Materials and Energy – ICOME 16, La Rochelle, France, 17-20 May 2016.
  16. Badagliacco, D.; Megna, B.; Valenza, A. Induced Modification of Flexural Toughness of Natural Hydraulic Lime Based Mortars by Addition of Giant Reed Fibers. Case Studies in Construction Materials 2020, 13. [Google Scholar] [CrossRef]
  17. Nouri, M.; Griballah, I.; Tahlaitia, M.; Grondinb, F.; Beaugrand, J. Plant Extraction and Physicochemical Characterizations of Untreated and Pretreated Diss Fibers (Ampelodesmos mauritanicus). Journal of Natural Fibers 2019, 1–11. [Google Scholar] [CrossRef]
  18. Nouri, M.; Tahlaiti, M.; Grondin, F.; Belarbi, R. The Influence of Chemical and Thermal Treatments on the Diss Fiber Hygroscopic Behaviors. Journal of Natural Fibers 2020. [Google Scholar] [CrossRef]
  19. Touati, Z.; Boulahia, H.; Belhaneche-Bensemra, N.; et al. Modification of Diss Fibers for Biocomposites Based on Recycled Low-Density Polyethylene and Polypropylene Blends. Waste Biomass Valor 2019, 10, 2365–2378. [Google Scholar] [CrossRef]
  20. Abdelouahed, A.; Kechkar, C.; Hebhoub, H.; Merzoud, M.; Boukhatem, G. Enhancing the Performance and Durability of Eco-Friendly Mortar with Diss Fibers (Ampelodesmos mauritanicus). Revue des Composites et des Matériaux Avancés-Journal of Composite and Advanced Materials, 2023. [Google Scholar] [CrossRef]
  21. Sellami, A.; Bouayad, D.; Benazzouk, A.; Amziane, S.; Merzoud, M. Study of toughness and thermal properties of bio-composite reinforced with diss fibers for use as an insulating material. Energy & Buildings, 2022; 276. [Google Scholar] [CrossRef]
  22. Sellami, A.; Merzoud, M.; Amziane, S. Improvement of mechanical properties of green concrete by treatment of the vegetals fibers Construction and Building Materials Volume 47, 2013, Pages 1117-1124. [CrossRef]
  23. Megna, B.; Badagliacco, D.; Sanfilippo, C.; Valenza, A. Physical and Mechanical Properties of Sustainable Hydraulic Mortar Based on Marble Slurry with Waste Glass. Recycling 2021, 6, 37. [Google Scholar] [CrossRef]
  24. Rizzo, G.; Megna, B. Characterization of hydraulic mortars by means of simultaneous thermal analysis. J Therm Anal Calorim 2008, 92, 173–178. [Google Scholar] [CrossRef]
  25. UNI EN 1015-11. Metodi di Prova per Malte per Opere Murarie—Parte 11: Determinazione Della Resistenza a Flessione e a Compressione Della Malta Indurita; Ente Nazionale Italiano di Unificazione: Milan, Italy, 2007.
  26. UNI EN 1015-18. Metodi di Prova per Malte per Opere Murarie—Determinazione del Coefficiente di Assorbimento D’acqua per Capillarità Della Malta Indurita; Ente Nazionale Italiano di Unificazione: Milan, Italy, 2004.
Figure 1. Accelerated ageing conditions.
Figure 1. Accelerated ageing conditions.
Preprints 111821 g001
Table 1. Name and composition by volume of samples series: B= Lime; G=Glass powder; S=River Sand; D=Diss fiber.
Table 1. Name and composition by volume of samples series: B= Lime; G=Glass powder; S=River Sand; D=Diss fiber.
Composition by volume
Samples’ name B G S D
BGS 1 1 2
BGDS 1 1 1 1
BGD 1 1 2
Disclaimer/Publisher’s Note: The statements, opinions and data contained in all publications are solely those of the individual author(s) and contributor(s) and not of MDPI and/or the editor(s). MDPI and/or the editor(s) disclaim responsibility for any injury to people or property resulting from any ideas, methods, instructions or products referred to in the content.
Copyright: This open access article is published under a Creative Commons CC BY 4.0 license, which permit the free download, distribution, and reuse, provided that the author and preprint are cited in any reuse.
Prerpints.org logo

Preprints.org is a free preprint server supported by MDPI in Basel, Switzerland.

Subscribe

Disclaimer

Terms of Use

Privacy Policy

Privacy Settings

© 2025 MDPI (Basel, Switzerland) unless otherwise stated