Submitted:
09 July 2024
Posted:
11 July 2024
Read the latest preprint version here
Abstract

Keywords:
1. Introduction
2. Materials and Methods
3. Results and discussion
3.1. Metrics in Practice
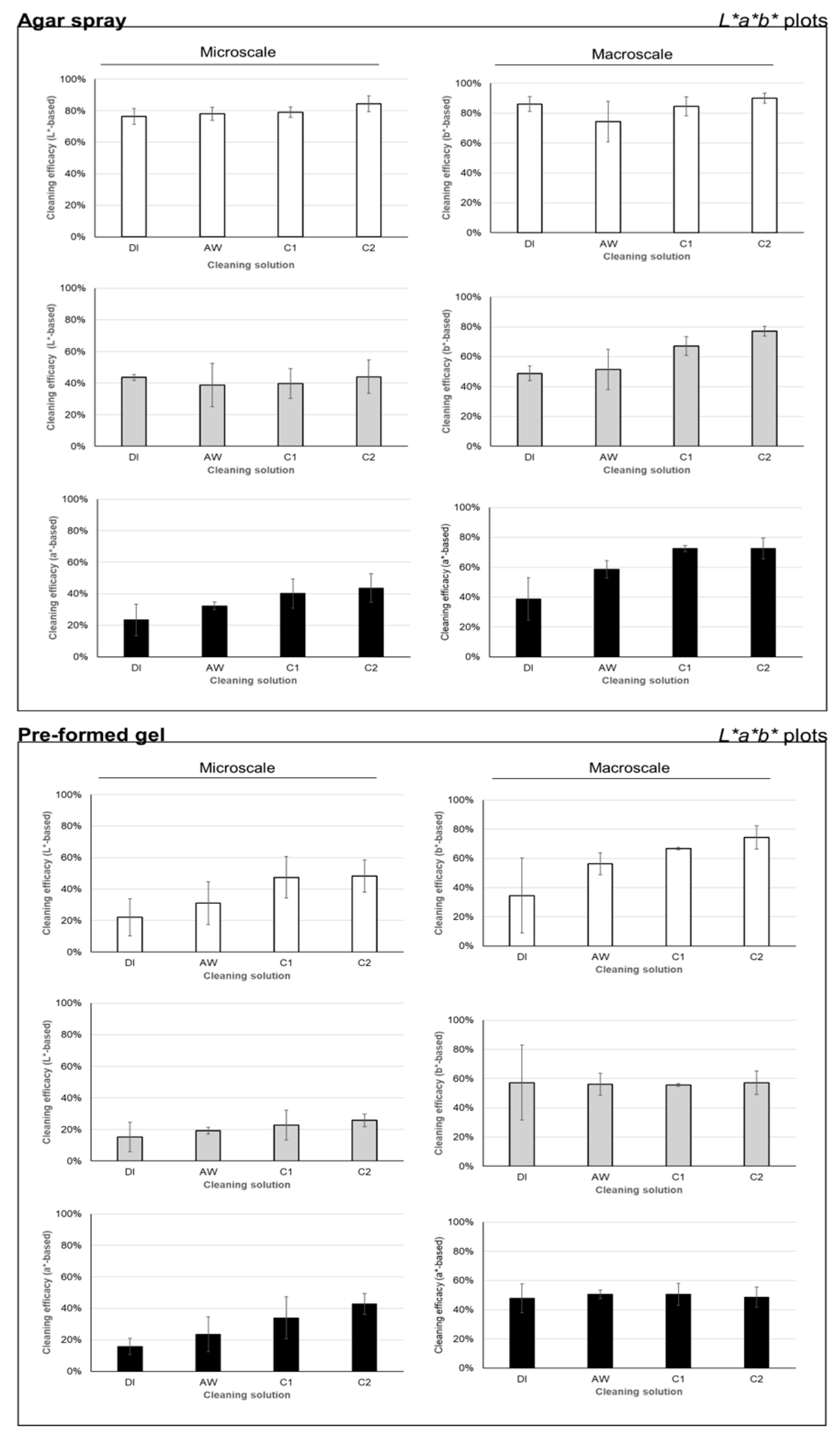
3.1.1. Image-Based Metrics: L*a*b*
3.1.2. Image-Based Metrics: Skewness
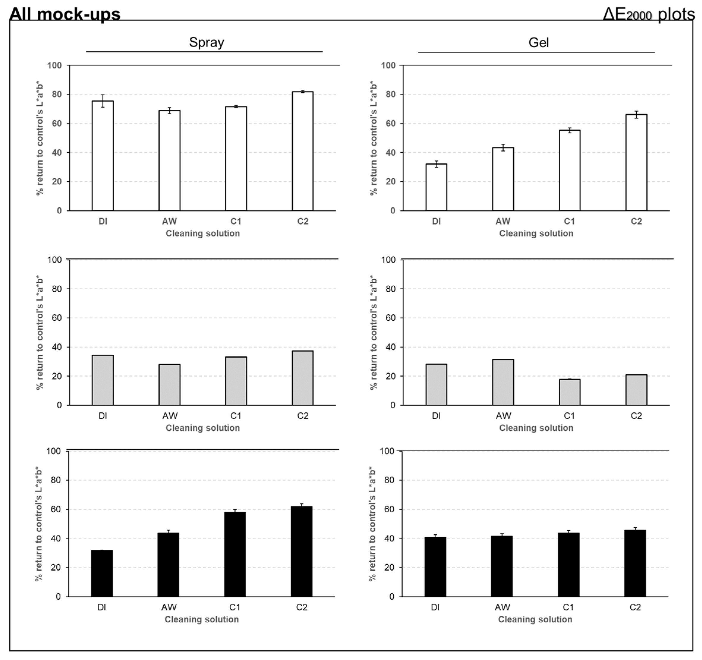
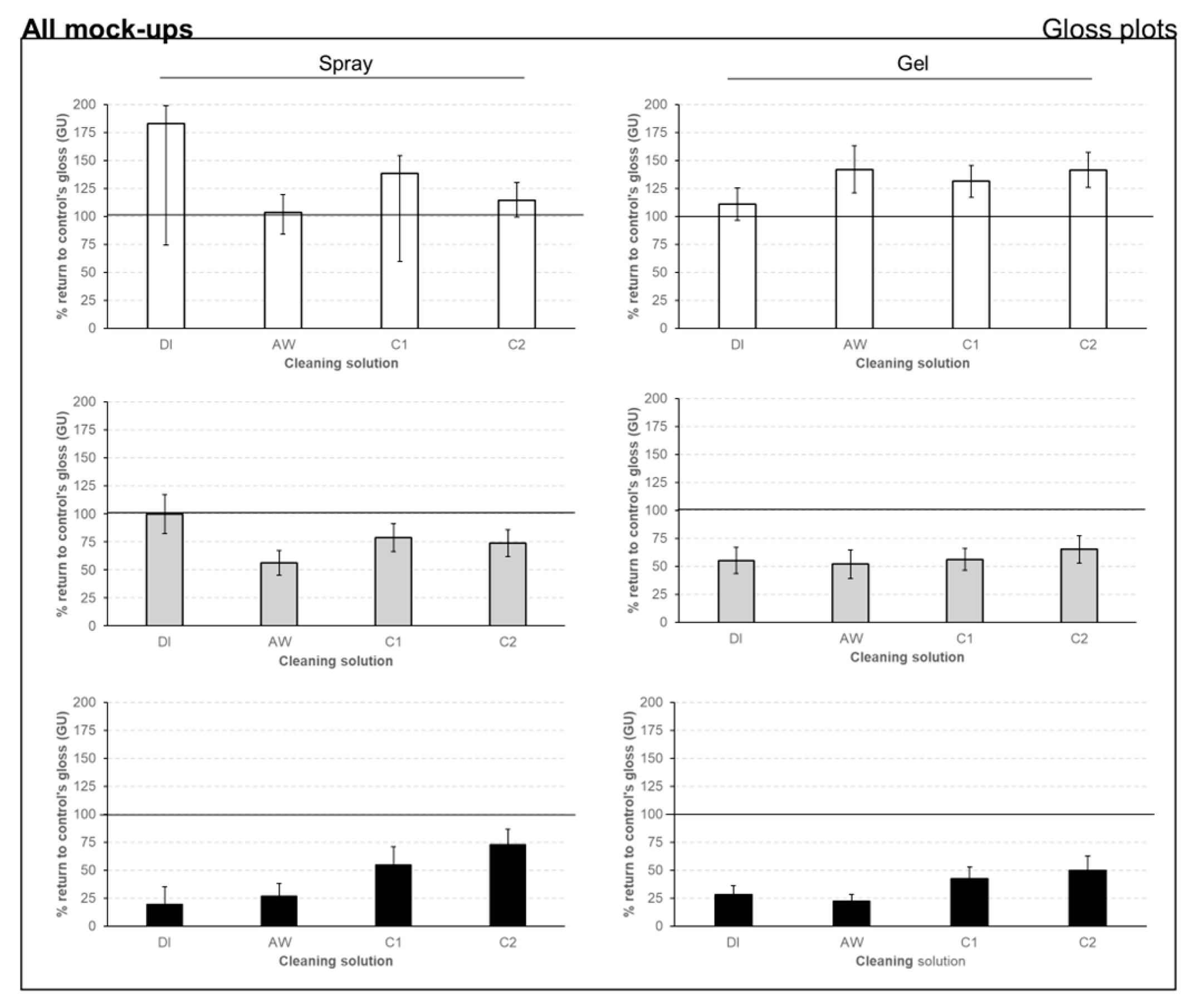
3.1.3. Appearance-Based Metrics: Colour and Gloss
3.1.4. Spectral-Based Metrics: HSI
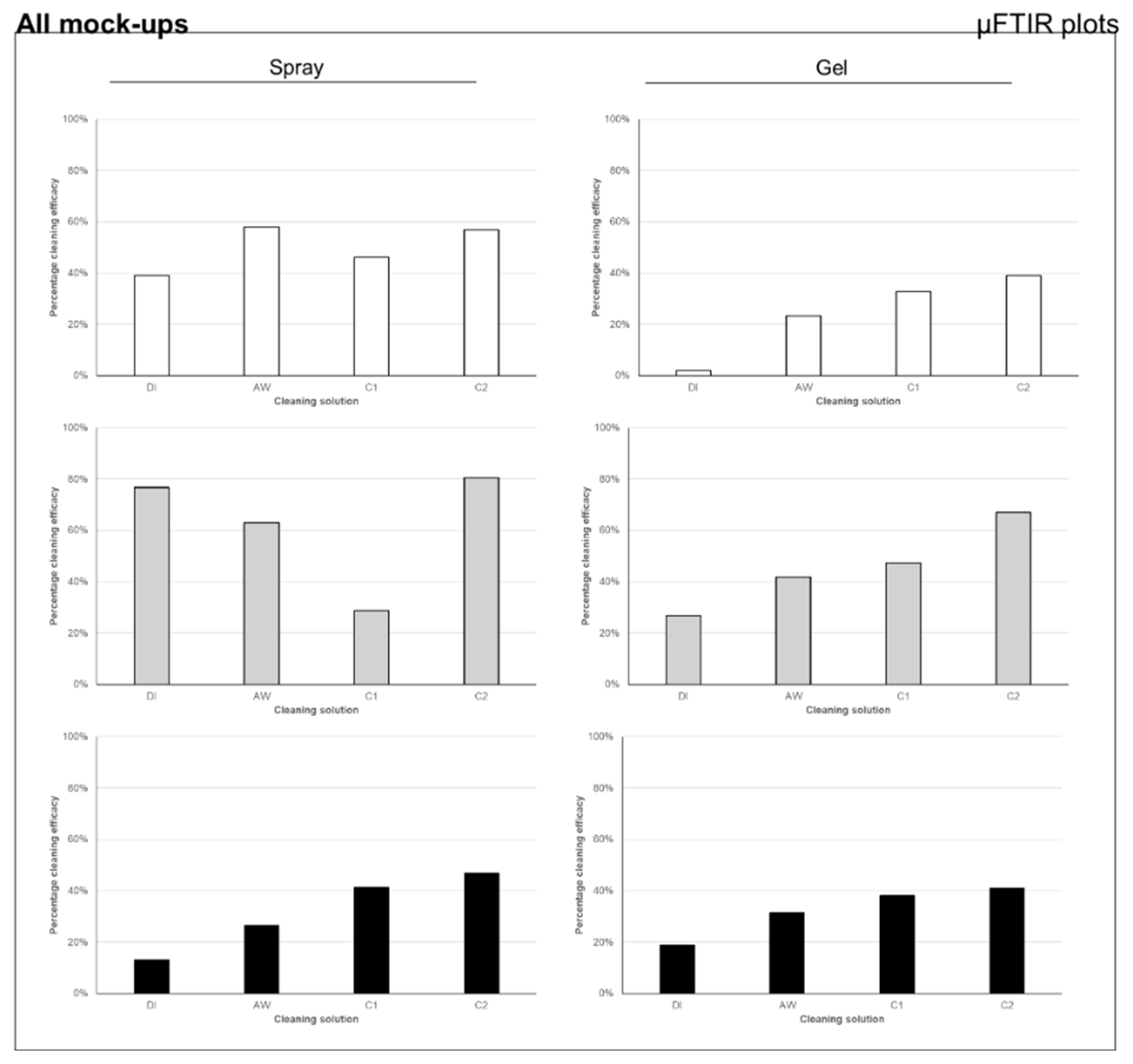
3.1.5. Spectral-Based Metrics: FTIR
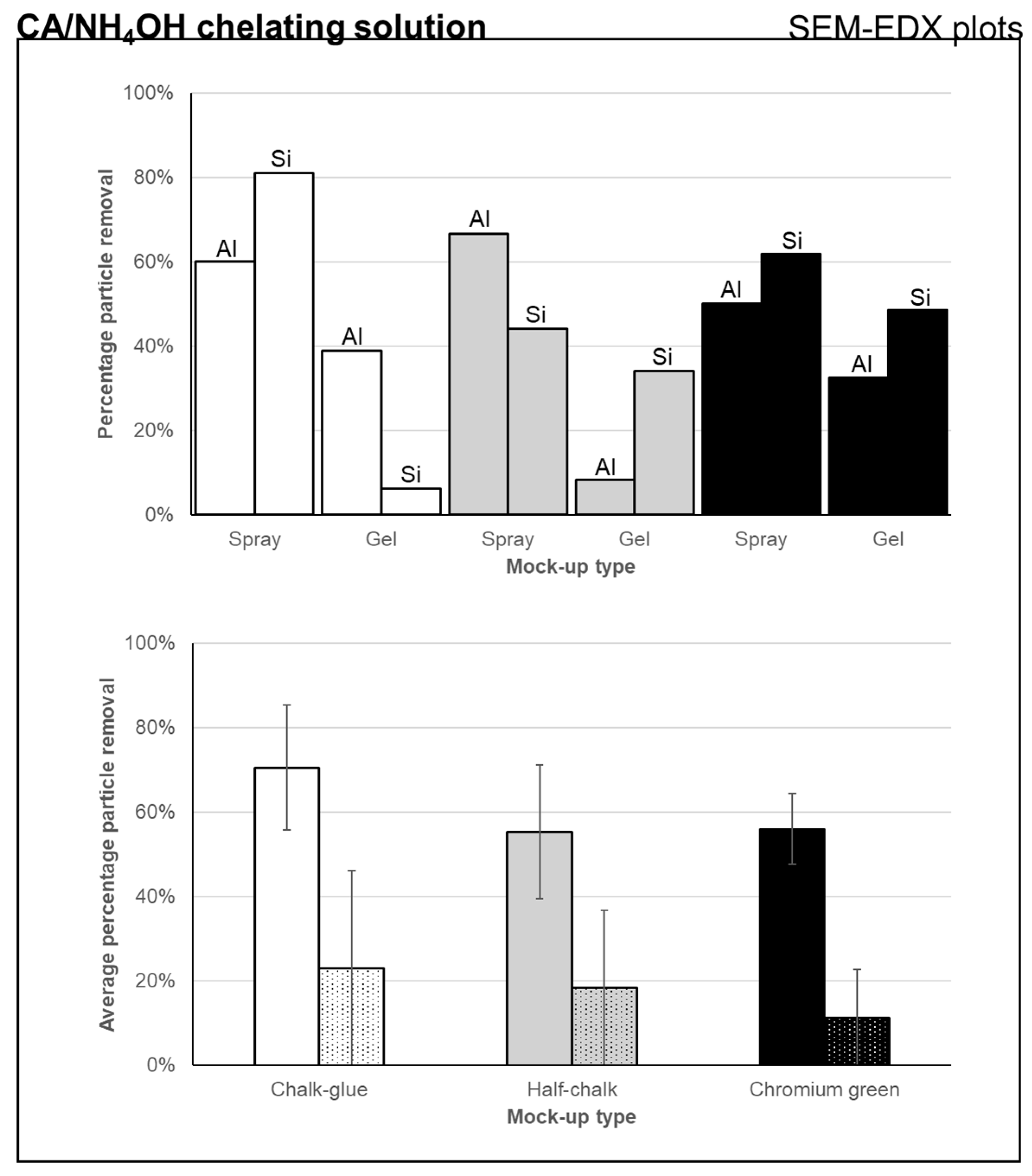
3.1.6. Spectral-Based Metrics: SEM-EDX
3.2. Evaluating Soiling Removal Scores Using the Metrics
4. Conclusions
Supplementary Materials
Author Contributions
Funding
Data Availability Statement
Acknowledgments
Conflicts of Interest
Appendix A. Additional Methodological Details
| Incident Light | Raking Light | ||
|---|---|---|---|
| Image Capture | Image Capture | ||
| ISO | 100 (ground); 200 (paint) | ISO | 160 (ground); 200 (paint) |
| Exposure | 1/125 s | Exposure | 1/125 s |
| Aperture | f/2.8 | Aperture | f/2.8 |
| SetupGeometries | SetupGeometries | ||
| Camera height | 73 cm | Camera height | 73 cm |
| Light quantity | 2 (left and right) | Light quantity | 1 (right) |
| Lights height from plane | 39 cm | Lights height from plane | 16 cm |
| Lights angle from plane | 45o | Lights angle from plane | 60o |
| Lights to lens distance | 45 cm | Lights to lens distance | 75 cm |
| HSI Cameras | VNIR1800 | SWIR384 | Lights | Tungsten-Halogen | |
|---|---|---|---|---|---|
| Spectral range, nm | 407-998 | 951-2505 | Spectral coverage, nm | c. 320-2600 | |
| Spectral bands | 186 | 288 | Quantity | 2 | |
| Spectral intervala, nm | 3.26 | 5.45 | Room lighting | Darkness | |
| Pixels acquired | 1800 | 384 | Geometryb | 45o, h: 130 cm, d: various | |
| Focal length, m | 0.30 | 0.30 | Spectral reflectance | Spectralon white (99%) | |
| Field-of-viewc, cm | 8.60 | 8.60 | standard | and grey (50%) diffuse | |
| Spatial resolution, μm | 50 | 220 | |||
| Mount | Fixed, perpendicular to surface | Mount | Fixed to stage | ||
| Acquisition Parameters | |||||
| HSNRd | 0 | 0 | |||
| Integration time, μs | |||||
| for exposed ground | 25000 | 6900 | |||
| for oil paint | 39000 | 10800 | |||



Appendix B. Discussion of Unsupervised Unmixing for Soiling Removal Mapping

References
- Ormsby, B.; Bartoletti, A.; van den Berg, K.J.; Stavroudis, C. Cleaning and Conservation: Recent Successes and Challenges. Heritage Science 2024, 12, 10. [Google Scholar] [CrossRef]
- Dirt and Dirt Removal | Paintings Conservation; Van den Berg, K.J., Gorter, L., Eds.; Paintings Conservation; Cultural Heritage Agency Netherlands: Amersfoort, 2022. [Google Scholar]
- Passaretti, A.; Cuvillier, L.; Sciutto, G.; Guilminot, E.; Joseph, E. Biologically Derived Gels for the Cleaning of Historical and Artistic Metal Heritage. Applied Sciences 2021, 11, 3405. [Google Scholar] [CrossRef]
- Angelova, L.V.; Ormsby, B.; Townsend, J.; Wolbers, R. Gels in the Conservation of Art; Archetype Publications, 2017. [Google Scholar]
- Mastrangelo, R.; Montis, C.; Bonelli, N.; Tempesti, P.; Baglioni, P. Surface Cleaning of Artworks: Structure and Dynamics of Nanostructured Fluids Confined in Polymeric Hydrogel Networks. Phys. Chem. Chem. Phys. 2017, 19, 23762–23772. [Google Scholar] [CrossRef] [PubMed]
- Issue S1: Proceedings of the LACONA 10 Conference, Sharjah 2014, August 2015; Elnaggar, A., Nevin, A., Castillejo, M., Strlič, M., Eds.; Routledge: Studies in Conservation, 2015. [Google Scholar]
- Alabone, G.; Carvajal, M.S. The Removal of Bronze Paint Repairs from Overgilded Picture Frames Using an Erbium:YAG Laser. Journal of the Institute of Conservation 2020, 43, 107–121. [Google Scholar] [CrossRef]
- Duncan, T.T.; Chan, E.P.; Beers, K.L. Maximizing Contact of Supersoft Bottlebrush Networks with Rough Surfaces to Promote Particulate Removal. ACS Appl. Mater. Interfaces 2019, 11, 45310–45318. [Google Scholar] [CrossRef] [PubMed]
- Freese, S.; Diraoui, S.; Mateescu, A.; Frank, P.; Theodorakopoulos, C.; Jonas, U. Polyolefin-Supported Hydrogels for Selective Cleaning Treatments of Paintings. Gels 2019, 6, 1. [Google Scholar] [CrossRef] [PubMed]
- Bartoletti, A.; Barker, R.; Chelazzi, D.; Bonelli, N.; Baglioni, P.; Lee, J.; Angelova, L.V.; Ormsby, B. Reviving WHAAM! A Comparative Evaluation of Cleaning Systems for the Conservation Treatment of Roy Lichtenstein’s Iconic Painting. Herit Sci 2020, 8, 9. [Google Scholar] [CrossRef]
- Mastrangelo, R.; Chelazzi, D.; Poggi, G.; Fratini, E.; Pensabene Buemi, L.; Petruzzellis, M.L.; Baglioni, P. Twin-Chain Polymer Hydrogels Based on Poly(Vinyl Alcohol) as New Advanced Tool for the Cleaning of Modern and Contemporary Art. Proc Natl Acad Sci U S A 2020, 117, 7011–7020. [Google Scholar] [CrossRef]
- Sansonetti, A.; Bertasa, M.; Canevali, C.; Rabbolini, A.; Anzani, M.; Scalarone, D. A Review in Using Agar Gels for Cleaning Art Surfaces. Journal of Cultural Heritage 2020, 44, 285–296. [Google Scholar] [CrossRef]
- Al-Emam, E.; Motawea, A.G.; Caen, J.; Janssens, K. Soot Removal from Ancient Egyptian Complex Painted Surfaces Using a Double Network Gel: Empirical Tests on the Ceiling of the Sanctuary of Osiris in the Temple of Seti I—Abydos. Heritage Science 2021, 9, 1–10. [Google Scholar] [CrossRef]
- Bertasa, M.; Canevali, C.; Sansonetti, A.; Lazzari, M.; Malandrino, M.; Simonutti, R.; Scalarone, D. An In-Depth Study on the Agar Gel Effectiveness for Built Heritage Cleaning. Journal of Cultural Heritage 2021, 47, 12–20. [Google Scholar] [CrossRef]
- Giordano, A.; Cremonesi, P. New Methods of Applying Rigid Agar Gels: From Tiny to Large-Scale Surface Areas. Studies in Conservation 2021, 66, 437–448. [Google Scholar] [CrossRef]
- Jia, Y.; Sciutto, G.; Botteon, A.; Conti, C.; Focarete, M.L.; Gualandi, C.; Samorì, C.; Prati, S.; Mazzeo, R. Deep Eutectic Solvent and Agar: A New Green Gel to Remove Proteinaceous-Based Varnishes from Paintings. Journal of Cultural Heritage 2021, 51, 138–144. [Google Scholar] [CrossRef]
- Stoveland, L.P.; Frøysaker, T.; Stols-Witlox, M.; Grøntoft, T.; Steindal, C.C.; Madden, O.; Ormsby, B. Evaluation of Novel Cleaning Systems on Mock-Ups of Unvarnished Oil Paint and Chalk-Glue Ground within the Munch Aula Paintings Project. Herit Sci 2021, 9, 144. [Google Scholar] [CrossRef]
- Giordano, A.; Caruso, M.R.; Lazzara, G. New Tool for Sustainable Treatments: Agar Spray—Research and Practice. Heritage Science 2022, 10, 123. [Google Scholar] [CrossRef]
- Delattre, C.; Bearman, G.; Choi, Y.L.; McPherson, L.; Stiglitz, M. The Use of Enzymatic Gels in the Conservation Treatment of Mendelssohn’s “Green Books”. In ICOM-CC 20th Triennial Conference Preprints Valencia 18-22 September 2023; ICOM: Paris, 2023. [Google Scholar]
- Husby, L.M.; Andersen, C.K.; Pedersen, N.B.; Ormsby, B. Selecting, Modifying, and Evaluating of Water-Based Methods for the Removal of Dammar Varnish from Oil Paint. Meddelelser om Konservering 2023, 2023, 51–65. [Google Scholar]
- Husby, L.M.; Andersen, C.K.; Pedersen, N.B.; Ormsby, B. Evaluating Three Water-Based Systems and One Organic Solvent for the Removal of Dammar Varnish from Artificially Aged Oil Paint Samples. Heritage Science 2023, 11, 244. [Google Scholar] [CrossRef]
- Ortiz Miranda, A.S.; Lehmann Banke, P.; Ludvigsen, L. Non-Invasive Imaging Systems as Tools for Evaluating Treatments: The Case “Bathers” by Henri Matisse. In ICOM-CC 20th Triennial Conference Preprints Valencia 18-22 September 2023; Bridgland, J., Ed.; ICOM: Paris, 2023. [Google Scholar]
- Tobin, G.; Sawicki, M. Developing Conservation Practices for Cleaning Gilded Surfaces: Application for xPVOH-Borax Organogels to Clean Two Gilded Frames. In ICOM-CC 20th Triennial Conference Preprints Valencia 18-22 September 2023; Bridgland, J., Ed.; ICOM: Paris, 2023. [Google Scholar]
- Cuvillier, L.; Passaretti, A.; Guilminot, E.; Joseph, E. Agar and Chitosan Hydrogels’ Design for Metal-Uptaking Treatments. Gels 2024, 10, 55. [Google Scholar] [CrossRef] [PubMed]
- Macchia, A.; Biribicchi, C.; Carnazza, P.; Montorsi, S.; Sangiorgi, N.; Demasi, G.; Prestileo, F.; Cerafogli, E.; Colasanti, I.A.; Aureli, H.; et al. Multi-Analytical Investigation of the Oil Painting “Il Venditore Di Cerini” by Antonio Mancini and Definition of the Best Green Cleaning Treatment. Sustainability 2022, 14, 3972. [Google Scholar] [CrossRef]
- Frøysaker, T. Unintended Contamination? A Selection of Munch’s Paintings with Non-Original Zinc White. In Public paintings by Edvard Munch and his contemporaries. Change and conservation challanges; Frøysaker, T., Streeton, N.L.W., Kutzke, H., Hanssen-Bauer, F., Topalova-Casadiego, B., Eds.; Archetype Publications: London, 2015. [Google Scholar]
- Daudin-Schotte, M.; Bisschoff, M.; Joosten, I.; van Keulen, H.; Berg, K.J. van Keulen, H.; Berg, K.J. van den. Dry Cleaning Approaches for Unvarnished Paint Surfaces. In New Insights into the Cleaning of Paintings: Proceedings from the Cleaning 2010 International Conference Universidad Politécnica de Valencia and Museum Conservation Institute; Mecklenburg, M., Charola, A.E., Koestler, R.J., Eds.; Smithsonian Institution Scholary Press: Washington DC, 2013; pp. 209–219. [Google Scholar]
- Gillman, M.; Lee, J.; Ormsby, B.; Burnstock, A. Water-Sensitivity in Modern Oil Paintings: Trends in Phenomena and Treatment Options. In Conservation of Modern Oil Paintings; van den Berg, K.J., Bonaduce, I., Burnstock, A., Ormsby, B., Scharff, M., Carlyle, L., Heydenreich, G., Keune, K., Eds.; Springer International Publishing: Cham, 2019; pp. 477–494. [Google Scholar] [CrossRef]
- Ormsby, B.; Lee, J.; Bonaduce, I.; Lluveras-Tenorio, A. Evaluating Cleaning Systems for Use on Water Sensitive Modern Oil Paints: A Comparative Study. In Conservation of Modern Oil Paintings; van den Berg, K.J., Bonaduce, I., Burnstock, A., Ormsby, B., Scharff, M., Carlyle, L., Heydenreich, G., Keune, K., Eds.; Springer International Publishing: Cham, 2019; pp. 11–35. [Google Scholar] [CrossRef]
- Bartoletti, A.; Maor, T.; Chelazzi, D.; Bonelli, N.; Baglioni, P.; Angelova, L.V.; Ormsby, B.A. Facilitating the Conservation Treatment of Eva Hesse’s Addendum through Practice-Based Research, Including a Comparative Evaluation of Novel Cleaning Systems. Heritage Science 2020, 8, 35. [Google Scholar] [CrossRef]
- Chung, J.Y.; Ormsby, B.; Lee, J.; Burnstock, A. An Investigation of Options for Surface Cleaning Unvarnished Water- Sensitive Oil Paints Based on Recent Developments for Acrylic Paints. 2017, 12.
- Sully, D. Conservation Theory and Practice: Materials, Values, and People in Heritage Conservation. In The International Handbooks of Museum Studies; John Wiley & Sons, Ltd., 2015; pp. 293–314. [Google Scholar] [CrossRef]
- Cutajar, J.D.; Duckor, A.; Sully, D.; Fredheim, L.H. A Significant Statement: New Outlooks on Treatment Documentation. Journal of the Institute of Conservation 2016, 39, 81–97. [Google Scholar] [CrossRef]
- Fredheim, L.H.; Khalaf, M. The Significance of Values: Heritage Value Typologies Re-Examined. International Journal of Heritage Studies 2016, 22, 466–481. [Google Scholar] [CrossRef]
- Avrami, E.; Mason, R. Mapping the Issue of Values. Values in heritage management. Emerging approaches and research directions, 2019; 9–33. [Google Scholar]
- Lithgow, K.; Golfomitsou, S.; Dillon, C. Coming Clean about Cleaning. Professional and Public Perspectives: Are Conservators Truthful and Visitors Useful in Decision-Making? Studies in Conservation 2018, 63 (Suppl. S1), 392–396. [Google Scholar] [CrossRef]
- Coming Clean. Available online: http://www.comingcleanucl.com (accessed on 29 October 2022).
- Carlyle, L.; Witlox, M. Historically Accurate Reconstructions of Artists’ Oil Painting Materials. Tate Papers 2005, 7, 1–9. [Google Scholar]
- Carlyle, L. Historically Accurate Reconstructions of Oil Painters Materials: An Overview of the HART Project 2002-2005. In Reporting Highlights of the De Mayerne Programme: Research programme on molecular studies in conservation and technical studies in history; Ferreira, E.S.B., Jaap, J.B., Eds.; Netherlands Organisation for Scientific Research: The Hague, 2006; pp. 63–76. [Google Scholar]
- Lawson, L.; Cane, S. Do Conservators Dream of Electric Sheep? Replicas and Replication. Studies in Conservation 2016, 61 (Suppl. S2), 109–113. [Google Scholar] [CrossRef]
- Pugliese, M.; Ferriani, B.; Ratti, I. Materiality and Immateriality in Lucio Fontana’s Environments: From Documentary Research to the Reproduction of Lost Artworks. Studies in Conservation 2016, 61 (Suppl. S2), 188–192. [Google Scholar] [CrossRef]
- Stoveland, L.P.; Ormsby, B.; Stols-Witlox, M.; Frøysaker, T.; Caruso, F. Designing Paint Mock-Ups for a Study of Novel Surface Cleaning Techniques for Munch’s Unvarnished Aula Paintings. In Conservation of Modern Oil Paintings; van den Berg, K.J., Bonaduce, I., Burnstock, A., Ormsby, B., Scharff, M., Carlyle, L., Heydenreich, G., Keune, K., Eds.; Springer International Publishing: Cham, 2019; pp. 553–563. [Google Scholar] [CrossRef]
- Stoveland, L.P.; Stols-Witlox, M.; Ormsby, B.; Streeton, N.L.W. Mock-Ups and Materiality in Conservation Research. In Transcending boundaries: Integrated approaches to conservation. ICOM-CC 19th triennial conference Beijing preprints; Bridgland, J., Ed.; ICOM-CC: Beijing, 2021; pp. 1–14. [Google Scholar]
- Frøysaker, T.; Miliani, C.; Grøntoft, T.; Kleiva, I. Monitoring of Surface Blackening and Zinc Reaction Products on Prepared Samples Located Adjacent to Munch’s The Source in the Aula at the University of Oslo. In Public paintings by Edvard Munch and his contemporaries. Change and conservation challanges; Frøysaker, T., Streeton, N.L.W., Kutzke, H., Hanssen-Bauer, F., Topalova-Casadiego, B., Eds.; Archetype Publications: London, 2015; pp. 126–131. [Google Scholar]
- Duncan, T.T.; Vicenzi, E.P.; Lam, T.; Brogdon-Grantham, S.A. A Comparison of Dry-Cleaning Materials for the Removal of Soot from Rough Papers. Journal of the American Institute for Conservation 2023, 39. [Google Scholar]
- Striova, J.; Dal Fovo, A.; Fontana, R. Reflectance Imaging Spectroscopy in Heritage Science. Riv. Nuovo Cim. 2020, 43, 515–566. [Google Scholar] [CrossRef]
- Duncan, T.T.; Chan, E.P.; Beers, K.L. Quantifying the ‘Press and Peel’ Removal of Particulates Using Elastomers and Gels. Journal of Cultural Heritage 2021, 48, 236–243. [Google Scholar] [CrossRef]
- Schindelin, J.; Arganda-Carreras, I.; Frise, E.; Kaynig, V.; Longair, M.; Pietzsch, T.; Preibisch, S.; Rueden, C.; Saalfeld, S.; Schmid, B.; et al. Fiji: An Open-Source Platform for Biological-Image Analysis. Nat Methods 2012, 9, 676–682. [Google Scholar] [CrossRef]
- Drumetz, L.; Chanussot, J.; Jutten, C. Chapter 2.7 - Variability of the Endmembers in Spectral Unmixing. In Data Handling in Science and Technology; Amigo, J.M., Ed.; Elsevier, 2020; Volume 32, pp. 167–203. [Google Scholar] [CrossRef]
- Nascimento, J.; Martín, G. Chapter 2.6 - Nonlinear Spectral Unmixing. In Data Handling in Science and Technology; Amigo, J.M., Ed.; Elsevier, 2020; Volume 32, pp. 151–166. [Google Scholar] [CrossRef]
- Quintano, C.; Fernández-Manso, A.; Shimabukuro, Y.E.; Pereira, G. Spectral Unmixing. International Journal of Remote Sensing 2012, 33, 5307–5340. [Google Scholar] [CrossRef]
- Neher, R.A.; Mitkovski, M.; Kirchhoff, F.; Neher, E.; Theis, F.J.; Zeug, A. Blind Source Separation Techniques for the Decomposition of Multiply Labeled Fluorescence Images. Biophysical Journal 2009, 96, 3791–3800. [Google Scholar] [CrossRef] [PubMed]
- McRae, T.D.; Oleksyn, D.; Miller, J.; Gao, Y.-R. Robust Blind Spectral Unmixing for Fluorescence Microscopy Using Unsupervised Learning. PLoS ONE 2019, 14, e0225410. [Google Scholar] [CrossRef]
- Malegori, C.; Alladio, E.; Oliveri, P.; Manis, C.; Vincenti, M.; Garofano, P.; Barni, F.; Berti, A. Identification of Invisible Biological Traces in Forensic Evidence by Hyperspectral NIR Imaging Combined with Chemometrics. Talanta 2020, 215, 120911. [Google Scholar] [CrossRef] [PubMed]
- Piarulli, S.; Sciutto, G.; Oliveri, P.; Malegori, C.; Prati, S.; Mazzeo, R.; Airoldi, L. Rapid and Direct Detection of Small Microplastics in Aquatic Samples by a New near Infrared Hyperspectral Imaging (NIR-HSI) Method. Chemosphere 2020, 260, 127655. [Google Scholar] [CrossRef] [PubMed]
- Lugli, F.; Sciutto, G.; Oliveri, P.; Malegori, C.; Prati, S.; Gatti, L.; Silvestrini, S.; Romandini, M.; Catelli, E.; Casale, M.; et al. Near-Infrared Hyperspectral Imaging (NIR-HSI) and Normalized Difference Image (NDI) Data Processing: An Advanced Method to Map Collagen in Archaeological Bones. Talanta 2021, 226, 122126. [Google Scholar] [CrossRef] [PubMed]
- Cutajar, J.D.; Babini, A.; Deborah, H.; Hardeberg, J.Y.; Joseph, E.; Frøysaker, T. Hyperspectral Imaging Analyses of Cleaning Tests on Edvard Munch’s Monumental Aula Paintings. Studies in Conservation 2022, 67 (Suppl. S1), 59–68. [Google Scholar] [CrossRef]
- CHANGE. Available online: https://change-itn.eu/ (accessed on 1 July 2024).
- The Munch Aula Paintings project (MAP) - Department of Archaeology, Conservation and History. Available online: https://www.hf.uio.no/iakh/english/research/projects/aula-project/index.html (accessed on 1 July 2024).
- Lee, J.; Ormsby, B.; Burnstock, A.; van den Berg, K.J. Modern Oil Paintings in Tate’s Collection: A Review of Analytical Findings and Reflections on Water-Sensitivity. In Conservation of Modern Oil Paintings; van den Berg, K.J., Bonaduce, I., Burnstock, A., Ormsby, B., Scharff, M., Carlyle, L., Heydenreich, G., Keune, K., Eds.; Springer International Publishing: Cham, 2019; pp. 495–522. [Google Scholar] [CrossRef]
- Frøysaker, T. The Paintings of Edvard Munch in the Assembly Hall of Oslo University. Their Treatment History and the Aula-Project. Restauro. Forum für Restauratoren, Konservatoren und Denkmalpfleger 2007, 113, 246–257. [Google Scholar]
- Frøysaker, T.; Liu, M. Four (of Eleven) Unvarnished Oil Paintings on Canvas by Edvard Munch in the Aula of Oslo University. Preliminary Notes on Their Materials, Techniques and Original Appearances. Restauro. Forum für Restauratoren, Konservatoren und Denkmalpfleger 2009, 115, 44–62. [Google Scholar]
- Frøysaker, T.; Miliani, C.; Liu, M. Non-Invasive Evaluation of Cleaning Tests Performed on “Chemistry” (1909-1916). A Large Unvarnished Oil Painting on Canvas by Edvard Munch. Restauro. Forum für Restauratoren, Konservatoren und Denkmalpfleger 2011, 117, 53–63. [Google Scholar]
- Frøysaker, T.; Liu, M.; Miliani, C. Extended Abstract—Noninvasive Assessments of Cleaning Tests on an Unvarnished Oil Painting on Canvas by Edvard Munch. In New Insights into the Cleaning of Paintings: Proceedings from the Cleaning 2010 International Conference, Universidad Politécnica de Valencia and Museum Conservation Institute; Mecklenburg, M., Charola, A.E., Koestler, R.J., Eds.; Smithsonian Institution Scholary Press: Washington, DC, 2013; pp. 119–123. [Google Scholar]
- Mengshoel, K.; Liu, M.; Kempton, H.M.; Frøysaker, T. Moving Monumental Munch: From Listed Building to Temporary Studio - and Back Again. In Moving Collections. Processes and Consequences; Bronken, I.A.T., Braovac, S., Olstad, T.M., Ørnhøi, A.A., Eds.; Archetype Publications: London, 2012; pp. 65–72. [Google Scholar]
- Scharffenberg, K.S. Investigations of a Tideline and Its Influences on the Painting Materials in The Source. In Public paintings my Edvard Munch and his contemporaries. Change and conservation challanges; Frøysaker, T., Streeton, N.L.W., Kutzke, H., Hanssen-Bauer, F., Topalova-Casadiego, B., Eds.; Archetype Publications: London, 2015; pp. 117–125. [Google Scholar]
- Frøysaker, T.; Schönemann, A.; Gernert, U.; Stoveland, L.P. Past and Current Examinations of Ground Layers in Edvard Munch’s Canvas Paintings. Journal of Art Technology and Conservation 2019, 34, 285–300. [Google Scholar]
- Ormsby, B.; Soldano, A.; Keefe, M.; Phenix, A.; Learner, T. An Empirical Evaluation of a Range of Cleaning Agents for Removing Dirt from Artist’s Acrylic Emulsion Paints. In The AIC Painting Specialty Group Postprints. Volume 23, 2010.; Buckley, B., Ed.; AIC: Washington, DC, 2013; pp. 77–87. [Google Scholar]
- Stoveland, L.P.; Ormsby, B.; Stols-Witlox, M.; Frøysaker, T.; Caruso, F. Designing Paint Mock-Ups for a Study of Novel Surface Cleaning Techniques for Munch’s Unvarnished Aula Paintings. In Conservation of Modern Oil Paintings; van den Berg, K.J., Bonaduce, I., Burnstock, A., Ormsby, B., Scharff, M., Carlyle, L., Heydenreich, G., Keune, K., Eds.; Springer International Publishing: Cham, 2019; pp. 553–563. [Google Scholar] [CrossRef]
- Mills, L.; Burnstock, A.; Keulen, H.; Duarte, F.; Megens, L.; Van den Berg, K.J. Water Sensitivity of Modern Artists’ Oil Paints. In ICOM Committee for Conservation, 15th Triennial Meeting; ICOM-CC: Rome, 2008; Volume 2, pp. 651–659. [Google Scholar]
- ISO. ISO 4628-6: 2011. Paints and Varnishes — Evaluation of Degradation of Coatings — Designation of Quantity and Size of Defects, and of Intensity of Uniform Changes in Appearance — Part 6: Assessment of Degree of Chalking by Tape Method, 2011.
- Giordano, A.; Cremonesi, P. Gel rigidi polisaccaridici per il trattamento dei manufatti artistici; Il Prato, 2019.
- Giordano, A.; Cremonesi, P. New Methods of Applying Rigid Agar Gels: From Tiny to Large-Scale Surface Areas. Studies in Conservation 2021, 66, 437–448. [Google Scholar] [CrossRef]
- Giordano, A.; Cremonesi, P. Gel rigidi polisaccaridici per il trattamento dei manufatti artistici; Il Prato, 2019.
- Keynan, D.; Hughes, A. Testing the Waters: New Technical Applications for the Cleaning of Acrylic Paint Films and Paper Supports. 2013, 9.
- Stavroudis, C.; Doherty, T. The Modular Cleaning Program in Practice: Application to Acrylic Paintings. In Proceedings from the Cleaning 2010 International Conference; Citeseer: Universidad Politecnica de Valencia and Museum Conservation Institute, 2013; pp. 139–145. [Google Scholar]
- Stoveland, L.P. Soiling Removal from Painted Mock-Ups. Evaluation of Novel Surface Cleaning Methods on Oil Paint and Chalk-Glue Ground in the Context of the Unvarnished Aula Paitnings by Edvard Munch. Ph.D. Thesis, University of Oslo, Oslo, 2021. [Google Scholar]
- Stavroudis, C. Gels: Evolution in Practice. In Gels in the conservation of art; Angelova, L.V., Ormsby, B., Townsend, J., Eds.; Archetype Publications: London, 2017; pp. 209–227. [Google Scholar]
- Charola, A.E.; Wachowiak, M.; Webb, E.K.; Grissom, C.A.; Chong, W.; Szczepanowska, H.; DePriest, P. Developing a Methodology to Evaluate the Effectiveness of a Biocide. New York, 2012, 10.
- Doane, D.P.; Seward, L.E. Measuring Skewness: A Forgotten Statistic? Journal of Statistics Education 2011, 19, null. [Google Scholar] [CrossRef]
- Mills, J.S.; Smith, P. Cleaning, Retouching and Coating: Technology and Practice for Easel Paintings and Polychrome Sculpture; International Institute for Conservation of Historic and Artistic Works, 1990. [Google Scholar]
- Szczepanowska, H.M. Conservation of Cultural Heritage: Key Principles and Approaches; Routledge, 2013. [Google Scholar]
- Issues in Contemporary Oil Paint; van den Berg, K.J., Burnstock, A., de Keijzer, M., Krueger, J., Learner, T., Tagle, de, A., Heydenreich, G., Eds.; Springer International Publishing: Cham, 2014. [Google Scholar] [CrossRef]
- Conservation of Easel Paintings, 2nd ed; Stoner, J.H., Rushfield, R.A., Eds.; Routledge series in conservation and museology; Routledge: New York, 2021. [Google Scholar]
- Quabeck, N. Reframing the Notion of “The Artist’s Intent:” A Study of Caring for Thomas Hirschhorn’s Intensif-Station (2010). Journal of the American Institute for Conservation 2021, 60, 77–91. [Google Scholar] [CrossRef]
- Haralick, R.M.; Shanmugam, K.; Dinstein, I. Textural Features for Image Classification. IEEE Transactions on Systems, Man, and Cybernetics 1973, SMC-3, 610–621. [Google Scholar] [CrossRef]
- Murata, S.; Herman, P.; Lakowicz, J.R. Texture Analysis of Fluorescence Lifetime Images of AT- and GC-Rich Regions in Nuclei. J Histochem Cytochem 2001, 49, 1443–1451. [Google Scholar] [CrossRef] [PubMed]
- Cabrera, J.E. GLCM Texture Analyzer. 2006. Available online: https://imagej.nih.gov/ij/plugins/texture.html (accessed on 11 November 2022).
- Haralick, R.M.; Shanmugam, K.; Dinstein, I. Textural Features for Image Classification. IEEE Transactions on Systems, Man, and Cybernetics 1973, SMC-3, 610–621. [Google Scholar] [CrossRef]
- Albregtsen, F. Statistical Texture Measures Computed from Gray Level Coocurrence Matrices, 2008.
- Rosi, F.; Harig, R.; Miliani, C.; Braun, R.; Sali, D.; Daveri, A.; Brunetti, B.G.; Sgamellotti, A. Mid-Infrared Hyperspectral Imaging of Painting Materials; Pezzati, L., Targowski, P., Eds.; Munich, Germany, 2013; p. 87900Q. [CrossRef]
- Rosi, F.; Miliani, C.; Braun, R.; Harig, R.; Sali, D.; Brunetti, B.G.; Sgamellotti, A. Noninvasive Analysis of Paintings by Mid-Infrared Hyperspectral Imaging. Angew. Chem. Int. Ed. 2013, 52, 5258–5261. [Google Scholar] [CrossRef] [PubMed]
- Sandak, J.; Sandak, A.; Legan, L.; Retko, K.; Kavčič, M.; Kosel, J.; Poohphajai, F.; Diaz, R.H.; Ponnuchamy, V.; Sajinčič, N.; et al. Nondestructive Evaluation of Heritage Object Coatings with Four Hyperspectral Imaging Systems. Coatings 2021, 11, 244. [Google Scholar] [CrossRef]
- Russo, S.; Brambilla, L.; Thomas, J.-B.; Joseph, E. 2D Chemical Imaging for the Monitoring of the Formation of Metal Soaps on Oil-Painted Copper and Zinc Substrates. In Metal 2022 Proceedings of the Interim Meeting of the ICOM-CC Metals Working Group September 5-9, 2022 Helsinki, Finland; ICOM-CC: Helsinki, 2023. [Google Scholar]
- Knez, D.; Toulson, B.W.; Chen, A.; Ettenberg, M.H.; Nguyen, H.; Potma, E.O.; Fishman, D.A. Spectral Imaging at High Definition and High Speed in the Mid-Infrared. Science Advances 2022, 8, eade4247. [Google Scholar] [CrossRef]
- Bindokas, V.; Mascalchi, P. ImageJ / Fiji Macro to Automatically Correct White Balance in RGB Images. 2017. Available online: https://github.com/pmascalchi/ImageJ_Auto-white-balance-correction (accessed on 11 November 2022).
- Image.sc. Auto White Balance of Stack - Image Analysis. 2019. Available online: https://forum.image.sc/t/auto-white-balance-of-stack/22439/1 (accessed on 11 November 2022).
- Schwartzwald, D. Color Space Converter. 2012. Available online: https://imagej.nih.gov/ij/plugins/color-space-converter.html (accessed on 11 November 2022).
- Doane, D.P.; Seward, L.E. Measuring Skewness: A Forgotten Statistic? Journal of Statistics Education 2011, 19, null. [Google Scholar] [CrossRef]
- Pillay, R.; Hardeberg, J.Y.; George, S. Hyperspectral Imaging of Art: Acquisition and Calibration Workflows. Journal of the American Institute for Conservation 2019, 58, 3–15. [Google Scholar] [CrossRef]
- Deborah, H.; George, S.; Hardeberg, J.Y. Spectral-Divergence Based Pigment Discrimination and Mapping: A Case Study on The Scream (1893) by Edvard Munch. Journal of the American Institute for Conservation 2019, 58, 90–107. [Google Scholar] [CrossRef]
- Babini, A.; George, S.; Hardeberg, J.Y. Hyperspectral Imaging Workflow for the Acquisition and Analysis of Stained-Glass Panels. In Optics for Arts, Architecture, and Archaeology VIII; Groves, R., Liang, H., Eds.; SPIE: Online Only, Germany, 2021. [Google Scholar] [CrossRef]
- Babini, A. Hyperspectral Imaging of Stained Glass. Ph.D. Thesis, NTNU, Gjøvik, 2023. [Google Scholar]
- Grillini, F. Reflectance Imaging Spectroscopy: Fusion of VNIR and SWIR for Cultural Heritage Analysis. Ph.D. Thesis, NTNU, Gjøvik, 2023. [Google Scholar]
- Cutajar, J.D.; Babini, A.; Deborah, H.; Hardeberg, J.Y.; Joseph, E.; Frøysaker, T. Hyperspectral Imaging Analyses of Cleaning Tests on Edvard Munch’s Monumental Aula Paintings. Studies in Conservation 2022, 67 (Suppl. S1), 59–68. [Google Scholar] [CrossRef]
- Vagnini, M.; Miliani, C.; Cartechini, L.; Rocchi, P.; Brunetti, B.G.; Sgamellotti, A. FT-NIR Spectroscopy for Non-Invasive Identification of Natural Polymers and Resins in Easel Paintings. Anal Bioanal Chem 2009, 395, 2107–2118. [Google Scholar] [CrossRef] [PubMed]
- Hourant, P.; Baeten, V.; Morales, M.T.; Meurens, M.; Aparicio, R. Oil and Fat Classification by Selected Bands of Near-Infrared Spectroscopy. Appl. Spectrosc., AS 2000, 54, 1168–1174. [Google Scholar] [CrossRef]
- Duconseille, A.; Andueza, D.; Picard, F.; Santé-Lhoutellier, V.; Astruc, T. Molecular Changes in Gelatin Aging Observed by NIR and Fluorescence Spectroscopy. Food Hydrocolloids 2016, 61, 496–503. [Google Scholar] [CrossRef]
- Eldin, A.B. Near Infra Red Spectroscopy; IntechOpen, 2011. [Google Scholar] [CrossRef]
- Amato, S.R.; Burnstock, A.; Michelin, A. A Preliminary Study on the Differentiation of Linseed and Poppy Oil Using Principal Component Analysis Methods Applied to Fiber Optics Reflectance Spectroscopy and Diffuse Reflectance Imaging Spectroscopy. Sensors (Basel) 2020, 20, 7125. [Google Scholar] [CrossRef] [PubMed]
- Li, X.; Sun, C.; Zhou, B.; He, Y. Determination of Hemicellulose, Cellulose and Lignin in Moso Bamboo by near Infrared Spectroscopy. Sci Rep 2015, 5, 17210. [Google Scholar] [CrossRef]
- Catelli, E.; Sciutto, G.; Prati, S.; Chavez Lozano, M.V.; Gatti, L.; Lugli, F.; Silvestrini, S.; Benazzi, S.; Genorini, E.; Mazzeo, R. A New Miniaturised Short-Wave Infrared (SWIR) Spectrometer for on-Site Cultural Heritage Investigations. Talanta 2020, 218, 121112. [Google Scholar] [CrossRef]
- Magnusson, M.; Sigurdsson, J.; Armansson, S.E.; Ulfarsson, M.O.; Deborah, H.; Sveinsson, J.R. Creating RGB Images from Hyperspectral Images Using a Color Matching Function. In IGARSS 2020 - 2020 IEEE International Geoscience and Remote Sensing Symposium; 2020; pp. 2045–2048. [Google Scholar] [CrossRef]
- Miller, J.N.; Miller, J.C. Statistics and Chemometrics for Analytical Chemistry, 6th ed.; Prentice Hall/Pearson: Harlow, 2018. [Google Scholar]
- Luo, M.R.; Cui, G.; Rigg, B. The Development of the CIE 2000 Colour-difference Formula: CIEDE2000. Color Research & Application: Endorsed by Inter-Society Color Council, The Colour Group (Great Britain), Canadian Society for Color, Color Science Association of Japan, Dutch Society for the Study of Color, The Swedish Colour Centre Foundation, Colour Society of Australia, Centre Français de la Couleur, 2001, 26, 340–350.
- Habekost, M. Which Color Differencing Equation Should Be Used. International Circular of Graphic Education and Research 2013, 6, 20–33. [Google Scholar]
- Boronkay, G. Colour Conversion Centre. Available online: http://ccc.orgfree.com/ (accessed on 1 November 2022).
- Williams, J.H. Guide to the Expression of Uncertainty in Measurement (the GUM). Quantifying Measurement: The tyranny of numbers 2016. [Google Scholar] [CrossRef]
- Wienand, J.; Wuest, L. Error Propagation Calculator (online tool for any formula). Available online: http://www.julianibus.de/ (accessed on 1 November 2022).
- Larkin, P. Chapter 3 - Instrumentation and Sampling Methods. In Infrared and Raman Spectroscopy; Larkin, P., Ed.; Elsevier: Oxford, 2011. [Google Scholar] [CrossRef]
- Campbell, W. TN21-03. ATR Crystal Choice and Quest Puck Guide. 2022. Available online: https://specac.com/news-atr-spectroscopy-of-carbon-black/ (accessed on 13 June 2023).
- Menges, F. Spectragryph - Optical Spectroscopy Software. 2021. Available online: http://www.effemm2.de/spectragryph/ (accessed on 13 June 2023).
- Botton, G.; Prabhudev, S. Analytical Electron Microscopy. In Springer Handbook of Microscopy; Hawkes, P.W., Spence, J.C.H., Eds.; Springer Handbooks; Springer International Publishing: Cham, 2019; pp. 345–453. [Google Scholar] [CrossRef]
- Erdman, N.; Bell, D.C.; Reichelt, R. Scanning Electron Microscopy. In Springer Handbook of Microscopy; Hawkes, P.W., Spence, J.C.H., Eds.; Springer Handbooks; Springer International Publishing: Cham, 2019; pp. 229–318. [Google Scholar] [CrossRef]
- Springer Handbook of Microscopy; Springer Handbooks; Hawkes, P.W., Spence, J.C.H., Eds.; Springer International Publishing: Cham, 2019. [Google Scholar] [CrossRef]
- Morrison, R.; Bagley-Young, A.; Burnstock, A.; van den Berg, K.J.; van Keulen, H. An Investigation of Parameters for the Use of Citrate Solutions for Surface Cleaning Unvarnished Paintings. Studies in Conservation 2007, 52, 255–270. [Google Scholar] [CrossRef]











| Scoring Criteria | ||||
|---|---|---|---|---|
| Score Rating |
Cleaning Efficacy |
Cleaning Homogeneity |
Pigment Swelling | Selectivity (Pigment Loss) |
| 1 | No effect | Uneven removal (<30%) | Extreme, visible swelling | Unacceptable loss |
| 2 | Little effect | Inconsistent removal (<50%) | Moderate, visible swelling | Notable loss |
| 3 | Moderate effect | Consistent removal (<80%) | Sensation of swelling, invisible | Microscopic loss |
| 4 | Effective removal | Complete removal (100%) | No swelling | No loss |
| Mock-Up | Stratigraphy | Application | Ageing and Soilinga | Surface Propertiesb |
|---|---|---|---|---|
| Chalk-Glue Ground |
Canvas: washed linen, twill weave, stretched Size: rabbit skin glue Ground: chalk, in rabbit skin glue |
Hog’s hair brushes | 6 months ambient drying 3 weekly cycles of accelerated ageing: Memmert ICH110L chamber; light: 4 fluorescent lamps (6 500 K (D56), 500 W); irradiance: 70 Wm-2; total energy: 169 330 kJm-2; 40oC (CHT); and fluctuating RH (15–65%) 3 spraying campaigns (2 for oil paint) of artificial soiling adapted for the Aula Soiling layer: 27.1 ±2.4 µm Min particle size: 0.095 µm Max particle size: 10 µm |
Thickness: 122.3 ±39.2 µm Water sensitivity: 14 rolls Chalking: ISO 2 pH: 6.5 Conductivity: 1 500 µS cm-1 |
|
Composite Half-Chalk Ground |
Canvas: ibid. Size: ibid. Ground: chalk, zinc white, lead white in rabbit skin glue and boiled linseed oil emulsion |
Thickness: 104.9 ±40.2 µm Water sensitivity: 10 rolls Chalking: ISO 3 pH: 6.4 Conductivity: 500 µS cm-1 |
||
|
Chromium Oxide Green Oil Paint |
Canvas: ibid. Size: ibid. Ground: half-chalk ground Pigment-binder: undiluted chromium oxide green in linseed oil |
Thickness: 114.9 ±26.4 µm Water sensitivity: 5 rolls Chalking: ISO 1 pH: 6.4 Conductivity: 530 µS cm-1 |
| Supplier | Material | Composition | Quantity | Dry Weight |
|---|---|---|---|---|
| g or mL | % | |||
| Rublev | Lamp black (oil furnaces) | C | 0.62 | 1.00 |
| Kremer | Vine black (organic source) | C | 0.62 | 1.00 |
| Burgundy ochre (fine) | Fe2O3·H2O | 1.45 | 2.34 | |
| Wheat starch powder | Polysaccharide (C6H10O5)n | 10.00 | 16.14 | |
| Gelatin powder | Proteins and peptides | 10.00 | 16.14 | |
| Merck | Sodium nitrate | NaNO3 | 2.50 | 4.03 |
| Kaolin | Al2Si2O5(OH)4 | 18.00 | 29.06 | |
| Portland cement (Type I) | CaO·SiO2 Fe, Al, MgO | 17.00 | 27.45 | |
| Silica, quartz | SiO2 | 1.75 | 2.83 | |
| Mineral oil | Hydrocarbons | 5.0 | - | |
| Filippo Berio | Olive oil | Mainly triacylglycerols | 2.5 | - |
| Kremer | Shellsol D40 | Hydrocarbons | 1000 | - |
| Cleaning Solution |
Concentration | Chalk-Glue Ground | Half-Chalk Ground | Chromium Oxide Green |
|---|---|---|---|---|
| Deionised water |
- | pH 7.2, 20 µS cm-1 | pH 7.2, 20 µS cm-1 | pH 7.2, 20 µS cm-1 |
| Adjusted watera (ammonium acetate) |
Conductivity-related | pH 5.5, 1 500 µS cm-1 | pH 5.5, 500 µS cm-1 | pH 5.0, 500 µS cm-1 |
| Chelatorb (citric acid / sodium hydroxide) |
0.5% w/v (0.026M) CA in 10% w/v (2.5M) NaOH | pH 5.0, 4 240 µS cm-1 | pH 4.5, 3 240 µS cm-1 | pH 4.5, 3 240 µS cm-1 |
| Chelatorb (citric acid / ammonium hydroxide) |
0.5% w/v (0.026M) CA in 10% w/v (5.0M) NH4OH | pH 5.0, 5 320 µS cm-1 | pH 4.5, 4 270 µS cm-1 | pH 4.5, 4 270 µS cm-1 |
| Clearancec (ammonium acetate) |
Conductivity-related | pH 6.5, 500 µS cm-1 | pH 6.5, 500 µS cm-1 | pH 6.5, 500 µS cm-1 |
| Metrica | Rangeb | Data Typec | Concept | Equipmentd | Post-Processinge | |
|---|---|---|---|---|---|---|
|
Cleaning homogeneity |
VNIR /SWIR |
2D spectral maps |
Image homogeneity from grey-level co-occurrence matrix (GLCM) | DLSR camera HSI camera |
Change image type to 8-bit depth for GLCM Texture plug-in in ImageJ |
|
| Cleaning efficacy | ||||||
| Image-based |
L*a*b* images | VIS | 2D RGB images |
Thresholded pixels representing soiling |
DLSR camera Mobile phone |
Conversion to CIELAB space; image thresholding |
| Histogram skewness |
VIS | 2D RGB images |
Histogram distribution asymmetry as function of darker soiling on lighter substrate | Spreadsheet/statistical calculations |
||
| Appearance | Glossimetry | VIS | 1D point measurements |
Perceived surface texture under direct light source |
Glossmeter | Spreadsheet/statistical calculations |
| Colorimetry (from HSI) |
VNIR | 2D L*a*b* images (from 3D datacube) |
Colour difference, ΔE2000, before and after soiling removal |
HSI camera | Conversion to CIELAB space; colorimetric and statistical calculations | |
| Spectral-based | HSI: spectral unmixing |
VNIR /SWIR |
3D datacube | Spectral reflectance similarity (compared to unsoiled areas, or soiling) |
HSI camera | Spectral calibration; algorithm pre- and post-processing |
| HSI: NDI mapping |
SWIR | 2D normalised difference images |
SWIR marker bands for soiling and surface |
HSI camera | Spectral calibration; PCA; image processing | |
| FTIR mapping | MIR | 2D chemical maps |
MIR spectra (or marker bands) for soiling | FTIR spectrometer |
Atmospheric correction; correlation map profiles | |
| SEM-EDX mapping |
(XR) | 2D chemical maps |
Element signal for soiling | SEM | TruMap processing; element selection |
| Cleaning Efficacy Metric | Value for xBT | Value for xAT | |
|---|---|---|---|
| Image-based |
L*a*b* images | Number of black pixels before treatment (black pixels represent soiling) | Number of black pixels after treatment (black pixels represent soiling) |
| Histogram skewness | Difference in skewness between unsoiled (CT) and soiled (BT) mock-up (ΔskewnessCT,BT) |
Difference in skewness between unsoiled (CT) and cleaned (AT) mock-up (ΔskewnessCT,AT) |
|
| Appearance | Glossimetry | Difference in gloss between the unsoiled (CT) and soiled (BT) mock-up (ΔglossCT,BT) | Difference in gloss between the unsoiled (CT) and cleaned (AT) mock-up (ΔglossCT,AT) |
| Colorimetry (from HSI) | CIE2000 colour difference between the unsoiled (CT) and soiled (BT) mock-up (ΔE2000(CT,BT)) |
CIE2000 colour difference between the unsoiled (CT) and cleaned (AT) mock-up (ΔE2000(CT,AT)) |
|
| Spectral-based | HSI: spectral unmixing | Mean pixel value from 100 pixel x 100 pixel area taken from unsoiled (CT) mock-up, or soiling control (sCT), in unmixing map (CT, or sCT) | Mean pixel value from 100 pixel x 100 pixel area taken from cleaned (AT) mock-up, in unmixing map (AT) |
| HSI: NDI mapping | Mean pixel value from 100 pixel x 100 pixel area taken from unsoiled (CT) mock-up, or soiling control (sCT), in NDI map (CT, or sCT) | Mean pixel value from 100 pixel x 100 pixel area taken from cleaned (AT) mock-up, in NDI map (AT) | |
| FTIR mapping | Number of white pixels before treatment (white pixels represent soiling) | Number of white pixels after treatment (white pixels represent soiling) | |
| SEM-EDX mapping | Number of element-rich areas as counted by Analyse particles function in ImageJ before cleaning |
Number of element-rich areas as counted by Analyse particles function in ImageJ after cleaning |
| CleaningEfficacyMetrics | MeanValues | |||||||||||||
|---|---|---|---|---|---|---|---|---|---|---|---|---|---|---|
| Image-Based | Spectral-Based | |||||||||||||
| Cleaning Solution | L*a*b* | Skewness | Supervised (VNIR) | NDI (SWIR) | FTIR (MIR) | Image-Based | Spectral-Based | |||||||
| Deionised water | 0.76 | 0.81 | 0.95 | 0.85 | 0.39 | 0.79 | 0.73 | |||||||
| Adjusted water | 0.78 | 0.79 | 0.91 | 0.84 | 0.58 | 0.79 | 0.78 | |||||||
| Chelator (NaOH) | 0.79 | 0.70 | 0.91 | 0.88 | 0.46 | 0.75 | 0.75 | |||||||
| Chelator (NH4OH) | 0.84 | 0.68 | 0.96 | 0.96 | 0.57 | 0.76 | 0.80 | |||||||
| Scoring criteria | ||||||||||||||
| CleaningSolution | CleaningEfficacya |
Cleaning Homogeneityb |
Colour Integrityc |
Gloss Integrityc |
Selectivityd | Residue Absenced | ||||||||
| Deionised water | 0.76 | 0.23 | 0.75 | 0.17 | 1.00 | 1.00 | ||||||||
| Adjusted water | 0.78 | 0.22 | 0.69 | 0.64 | 1.00 | 1.00 | ||||||||
| Chelator (NaOH) | 0.75 | 0.33 | 0.72 | 0.62 | 0.60 | 1.00 | ||||||||
| Chelator (NH4OH) | 0.78 | 0.57 | 0.82 | 0.86 | 0.80 | 1.00 | ||||||||
Disclaimer/Publisher’s Note: The statements, opinions and data contained in all publications are solely those of the individual author(s) and contributor(s) and not of MDPI and/or the editor(s). MDPI and/or the editor(s) disclaim responsibility for any injury to people or property resulting from any ideas, methods, instructions or products referred to in the content. |
© 2024 by the authors. Licensee MDPI, Basel, Switzerland. This article is an open access article distributed under the terms and conditions of the Creative Commons Attribution (CC BY) license (http://creativecommons.org/licenses/by/4.0/).
