Preprint
Article

This version is not peer-reviewed.

Seedling Emergence of Spring Maize Under Various Width of Plastic Film Mulch in the Cool-Spring Northwest China

Submitted:

05 July 2024

Posted:

09 July 2024

You are already at the latest version

Abstract
Seedling emergence is crucial for the establishment and growth of crops and is influenced by topsoil temperature and moisture. Mulching has been widely used to promote seedling emergence in areas with a cold spring. This study was conducted to determine and simulate the effects of transparent plastic film mulch on surface soil moisture, temperature, and seedling emergence of spring maize in Northwest China. Four treatments were used: no mulching (CK), full plastic film mulch (PMF), and partial plastic film mulch, 60 cm in width (PM60, 40 cm uncovered between rows of mulch) or 30 cm in width (PM30, 20 cm uncovered between rows of mulch). The effects of soil water conservation and temperature enhancement gradually decreased as the plastic film width decreased, but there was little difference between PMF and PM60 treatments. Soil-water-modified growing degree days (WGDD) described the beneficial effects of soil moisture and temperature with respect to seedling emergence under mulching conditions. Plastic film mulching markedly accelerated seedling emergence and increased final seedling emergence rate because mulching can shorten the autotrophy duration and maintain surface soil moisture, which leads to increased germination. The effects of seedling emergence improvement decreased as the plastic film width decreased. The relationship between WGDD and cumulative relative seedling emergence (CRE) was adequately described by a Gompertz function.
Keywords: 
;  ;  ;  

1. Introduction

Good crop establishment is imperative for improving productivity of agricultural systems [1]. Cumulative relative seedling emergence (CRE) represents the percentage of seedling emergence on a daily basis following sowing until final establishment [2,3]. Poor emergence results in reduced seedling leaf area [2,4] and can lead to increased competition by weeds, and decreased grain yield, thus reducing the profits of farmers [5]. Because daily counting of seedlings to estimate CRE is time-consuming work, it is desirable to develop relationships between CRE and other easily observed variables in order to evaluate the performance of various management practices.
Forcella et al. [6] state that soil water potential, thermal time, diurnal soil temperature fluctuations, oxygen deficiency, light quality, and seed burial depth effect seed dormancy, seed germination, and seedling elongation. In particular, soil moisture and temperature are key factors for germination, especially in thermophilic crops such as spring maize and sunflower, which require higher minimum temperatures for germination and emergence. In addition, seedbed structure (e.g., soil aggregates and soil texture) also affects seedling emergence by affecting seed-soil contact and soil crust formation, and so a plant emergence model that takes into account the seedbed structure is required [7,8]. Among the above seedbed characteristics, soil moisture and temperature are the most two important factors. Gummerson [9] suggested that soil thermal time (TT) should be revised to include soil moisture above a base soil water content for prediction of seedling emergence. Plastic film mulching is the most effective method to enhance soil water and temperature condition so as to accelerate the CRE and enhance the final emergence rate (FER) [10,11,12,13] in regions where cold spring temperatures are common.
Jame & Cutforth [14] divide the process of seedling emergence of wheat into three stages: germination, subcrown internode elongation, and coleoptile elongation. They found that soil moisture and temperature were the key factors influencing the three stages. The response of seedling emergence to temperature was curvilinear, and a general beta function [14,15], Weibull function [16], or Gompertz function [6,17] sufficiently described the effect of temperature on the seedling emergence of crops. The CRE-temperature relationship was linear over the temperature range of 0–30 ℃ for spring wheat [18] and 0–35 ℃ for rice [15]. It should be noted that the base, optimum and maximum temperatures (Tbase, Topt, and Tmax) must be established to ensure accurate growing-degree-day (GDD) calculation. A Tbase range of 5–8 ℃ and a Topt range of 28–30 ℃ [19,20,21] have been reported in field studies of maize. The Tmax for maize is commonly set as 34℃ [22]. Soil-water-modified growing-degree-days (WGDD, calculated with soil temperature and moisture at 5 cm depth) has been observed to have a stronger correlation with CRE than GDD [9].
Because mulching with different widths can result in different seedling emergence, which is related to soil temperature and moisture at 5 cm depth (T5 and θ5), we executed a two-year field experiment: (i) to analyse the effects of different mulching patterns on T5, θ5, and CRE and (ii) to model cumulative relative seedling emergence (CRE) based on modified growing degree-days (WGDD) using the Gompertz function.

2. Materials and Methods

2.1. Experiment Site

Field experiments were conducted in 2014 and 2015 in a same farmland at the Shuguang Irrigation Research Station in the Hetao Irrigation District of the western Inner Mongolia Autonomous Region in China (40°43N, 107°13E, 1042 m asl). This experimental area is characterized by an arid continental climate with an average annual rainfall of 135 mm, which falls mainly in June through September, while the mean annual pan evaporation exceeds 2000 mm. The annual average temperature is 9.1℃ with a frost-free period of 135 days, and monthly average temperatures range from 23.8 ℃ in July to -10.1°C in January. The above meteorological data are based on the average of the last 20 years. The soil is usually frozen for 5–6 months per year from late November to the middle of May. During the seedling emergence period in 2014 and 2015, total rainfall volumes were 7.6 and 1.3 mm, while the hourly average air temperature was 12.0 ℃ and 15.1 ℃, respectively. The soil at the field site had an alluvial parent material with a silty clay loam texture at the 0–40 cm depth. The main physical and chemical properties of the topsoil are listed in Table 1.

2.2. Experimental Design and Field Management

This experiment used a randomized block design with three replicates (blocks), and each plot was 4 m wide by 12 m long with 8 plant rows. Three mulching widths and a control were implemented as treatments (Figure 1): the full mulching treatment (PMF), mulching width of 60 cm (PM60), mulching width of 30 cm (PM30), and no mulch control (CK). The clear plastic film in all treatments was 8-μm-thick polyethylene, and the coverage ratio of the CK, PMF, PM60, and PM30 were 0, 1, 0.6, and 0.6, respectively.
Plots were manually covered with clear plastic film on 22 April 2014 and 26 April 2015. The maize cultivar, Ximeng 6, was planted on 24 April and 28 April in 2014 and 2015, respectively. Seeds were sown hole-by-hole using a hole-sowing machine set to 5 cm depth at a planting density of 66,600 plants ha-1 immediately after mulching. The hole-sowing machine was composed of three steel parts: a pipe (Ø=32 mm, length = 80 cm) with a handle, a sharp funnel welded on the bottom of the pipe mouth, and a funnel controller (Deou Company, China). First, the handle was pressed to insert the hole-sowing machine into the soil to the appropriate depth (5 cm). Next, a seed was put into the pipe, and lastly, the trigger was pulled to open the funnel to bury the seed into the soil. In both years, N was broadcast at 150 kg N ha-1 as a base fertilizer as urea (75 kg N ha-1) and diammonium phosphate (75 kg N ha-1), and diammonium phosphate was spread at 200 kg P2O5 ha-1 as a base fertilizer before mulching.

2.3. Sampling and Measurement

2.3.1. Weather and Soil Data

Rainfall, temperature, and wind speed were recorded every minute using a HOBO H21-001 weather station on the experimental site. Soil temperature at 5 cm depth (T5) was sampled using a platinum thermistor (Pt1000) and recorded hourly by data loggers throughout the duration of the experiments. The platinum thermistors were placed in the soil at 5 cm depth and 5 cm away from the planting hole after mulching to avoid an impact on seedling emergence. One thermometer was installed in each plot.
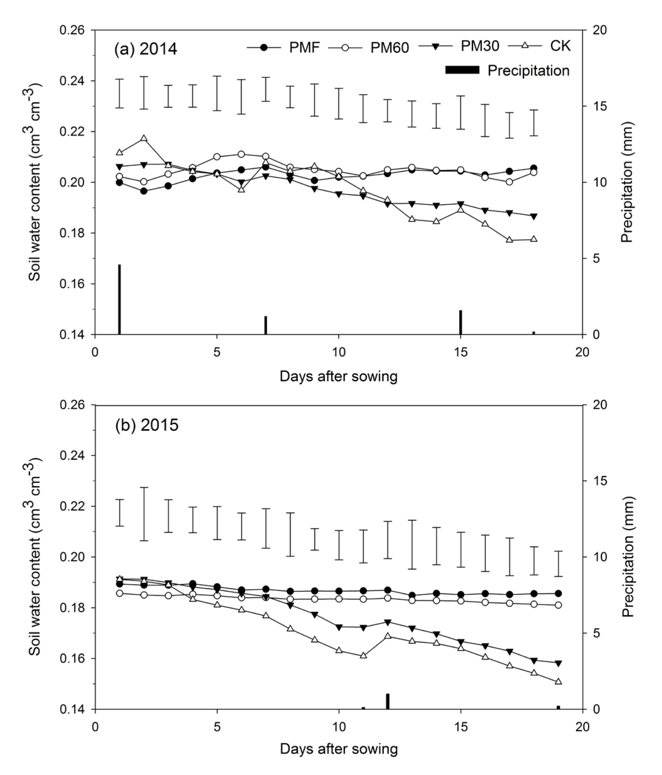
During seedling emergence in 2014 and 2015, the soil water content at 5 cm depth (θ5) was measured daily by taking three random soil samples 10 cm away from planting point, using a 54-mm diameter hand auger. The samples were oven-dried to measure the soil water content. In addition, θ5 was measured using the oven drying method at 8:00, 14:00, and 20:00 every five days from sowing to seedling emergence in 2015. Volumetric soil water content was calculated by multiplying the soil bulk density with the gravimetric soil water content.

2.3.2. Observations on Seedling Emergence

The date of emergence was recorded when the first shoot pushed through the soil surface to 3 cm [23,24]. Observations were conducted at 18:00 each day after sowing. The relative seedling emergence (RE) was counted by dividing emerged seedlings by the total number of seeds.
R E = N F S E 3 N T P × 100 %
where NFSE3 is the number of the seedlings with a height of 3 cm and NTP is the number of total plants in each plot. In this study, the NTP was 320.

2.4. Calculation of Crop and Soil Variables

2.4.1. Cumulative Relative Seedling Emergence (CRE) Modelling

The Gompertz function was regarded as the most suitable curve for modelling the CRE [17,25]. The coefficient of determination (r2) was used to evaluate the fitting effect of Gompertz function.
C R E   % = 100 * e x p [ e x p b W G D D a ]
Thermal time was calculated as growing degree-days as follows:
G D D = i = 1 n T m a x + T m i n 2 T b  
where, for days i = 1,…, n, and daily GDD_i < 0, GDD_i was set equal to 0°C [26].
GDD is the thermal time requirement for seedling emergence, Tmax is the daily maximum temperature (℃), Tmin is the daily minimum temperature (℃), Tb is the base temperature for seedling emergence (℃), parameter “a” is the displacement along the WGDD axis and parameter “b” is the exponential growth rate. In this study, 6 ℃ was assigned to Tb [27].
In this study, GDD was converted to WGDD based on soil water status.
W G D D = 0       i f   θ i < θ w p
W G D D = θ i θ w p θ f c θ w p G D D       i f   θ w p θ i θ f c  
W G D D = θ s a t θ i θ s a t θ f c G D D       i f   θ s a t > θ i > θ f c
where θi is soil water content of each plot, and θwp, θfc, and θsat are wilting point, field capacity, and saturated soil moisture, respectively. Germination and seedling elongation will stop when the soil is too dry [6]. If θi is always below θwp, germination and seedling elongation will not occur due to too little soil water; when soil moisture is between θwp and θfc, seedling emergence occurs, and soil moisture becomes a restriction factor for seedling emergence; and if θi is above θfc, seedling death occurs due to effects of waterlogging, through its physiological impact of anoxia on the embryo.

2.4.2. Soil Water Storage (SWS) Calculation

S W S = θ v × H
whereθv is the volumetric mean soil moisture (cm3 cm-3) of the soil layer, and H is the thickness of the soil layer (mm).

2.5. Statistical Analysis and Model Evaluation

Analysis of Variance (ANOVA) was used to determine if the mulching treatments had a significant effect on the response variables (θ5, CRE, and FER). The data were first tested for normality, assumption of chi-square and independence before ANOVA was performed. Multiple comparisons of the annual mean values were made using Duncan’s multiple range test. In all analyses, a probability of error < 5% (p < 0.05) was considered significant. SPSS 17.0 (SPSS Institute Ltd., USA) was used for all statistical analyses.
The relative root mean squared deviation (RRMSD), and bias [28] were used to evaluate model performance.
R R M S D = i = 1 n P i O i 2 N O ¯
b i a s = 1 N i = 1 n O i P i
Ma et al. [29] suggested that RRMSD < 20% means an acceptable fit model. Bias can indicate the overestimation or underestimation of the model’s simulation.

3. Results

3.1. Soil Moisture

In both 2014 and 2015, θ5 in PMF and PM60 were similar (p > 0.05), and the average θ5 in the two experimental years for PM60 was 3.9% and 7.7% higher than PM30 and CK, respectively (p < 0.05). No distinct differences in θ5 were found among PMF, PM30, and CK (p > 0.05) in 2014 (Figure 2a) due to the high rainfall events during the seedling emergence period. Conversely, surface soil moisture in CK was significantly lower (p < 0.01) than PMF (7.5%), PM60 (9.5%) and PM30 (3.4%) in the relatively dry 2015 growing season, which was attributed to the sharp soil moisture decrease in CK treatment (Figure 2b).
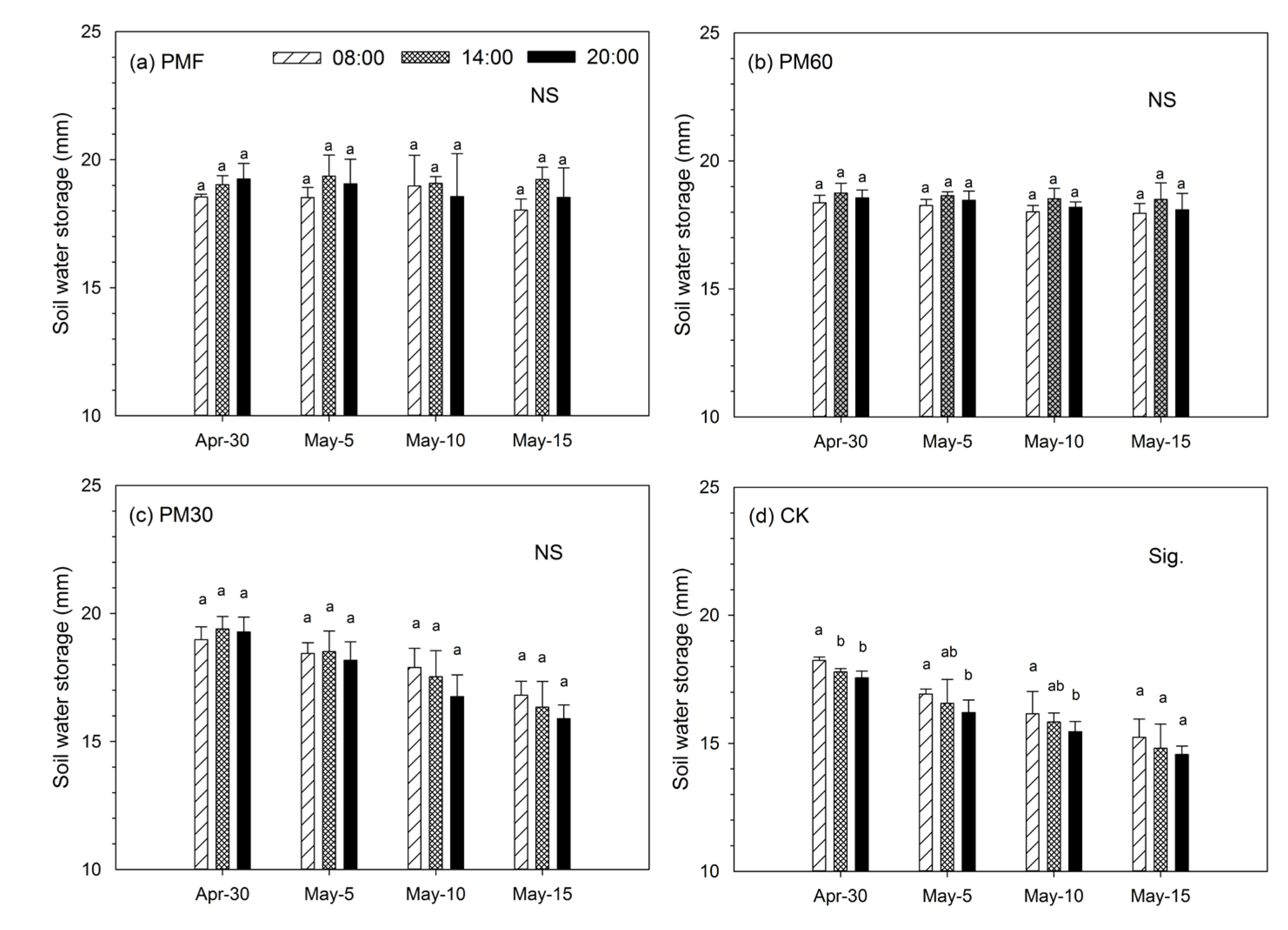
One-way ANOVA tests on soil moisture at different times in a day were conducted independently. Although plastic film mulch can prevent soil evaporation, seedling emergence consumes soil water. The average soil water storage changes before and after seedling emergence in the PMF, PM60, PM30, and CK conditions over the two years were 0.1, 0.2, -2.6, and -3.6 mm, respectively (Figure 3). There were no significant diurnal changes in soil water storage (p > 0.05) between 8:00, 14:00, and 20:00 in the mulching treatments (Figure 3a-c), but there was an obvious diurnal decrease in soil moisture in CK (Figure 3d) in the order of 8:00, 14:00, and 20:00 (p = 0.026 and 0.040 on 30 April; 0.087 and 0.021 on 5 May, 0.064 and 0.012 on 10 May, and 0.484 and 0.291 on 15 May), which were compared with 14:00 and 20:00.

3.2. Soil Temperature at 5 cm Depth (T5)

The average T5 of PMF, PM60, and PM30 were 3.1, 2.3, and 0.4 ℃ higher than CK (12.4 ℃) in 2014 and 4.4, 2.9, and 1.9 ℃ higher than CK (15.9 ℃) in 2015 during seedling emergence, respectively. T5 in CK was lower than air temperature while they were higher than air temperature in mulching treatments (Figure 4). Seedling stress as a result of low T5 occurred more frequently during the seedling emergence period (during 1, 2, 3, 7, and 10 DAS) in 2014, which had a lower average air temperature during the seedling emergence period (12.0 ℃) (Figure 4a), compared with 15.1 ℃ in 2015 (Figure 4b). All the three mulching treatments showed obvious effect on daily maximum T5 (6.1, 4.8, and 2.9 ℃), but not daily minimum T5 enhancement (1.8, 0.8, and -0.1 ℃).

3.3. WGDD Calculations Using Soil Moisture and Soil Temperature at 5 cm Planting Depth

The WGDD of PMF, PM60, and PM30, calculated using T5 with soil moisture by equation 3–6, were 37.4, 32.3, and 9.3 ℃ higher than CK in 2014, respectively (Figure 5a), and 61.9, 41.2, and 16.5 ℃ in 2015, respectively (Figure 5b). Similar to T5, WGDD showed similar results among mulching treatments with fewer differences in 2014, but greater differences were observed in 2015 (Figure 5a-c). Particularly, it can be noted that PM30 showed less effect on WGDD in 2014 (Figure 5a) but showed obvious WGDD enhancement in 2015 (Figure 5b).

3.4. Cumulative Relative Seedling Emergence (CRE) and Final Seedling Emergence Rate (FER)

Seeds in PMF, PM60, and PM30 emerged 2.7, 1.9, and 1.0 d earlier (based on ED-FE difference) than in CK based on average over the two experimental years (Table 2). However, PM30 showed no significant effect “(p > 0.05)” on seedling emergence acceleration in 2014 (Table 2). Final seedling emergence rate (FER) was obvious low (lower than 80%) in the CK treatment in both years and it was markedly increased by plastic film mulching (Table 2). The FER showed no significant difference among the mulching treatments, excepting a lower FER in PM30 in 2014 (Table 2). It is worth noting that WGDD for first seedling emergence (WGDD-FE) was different in various treatments and different years: a higher WGDD-FE was needed in year of 2015 (14.0 ℃) and mulching treatments (5.3 ℃), compared with that of in 2014 and CK treatment, respectively.

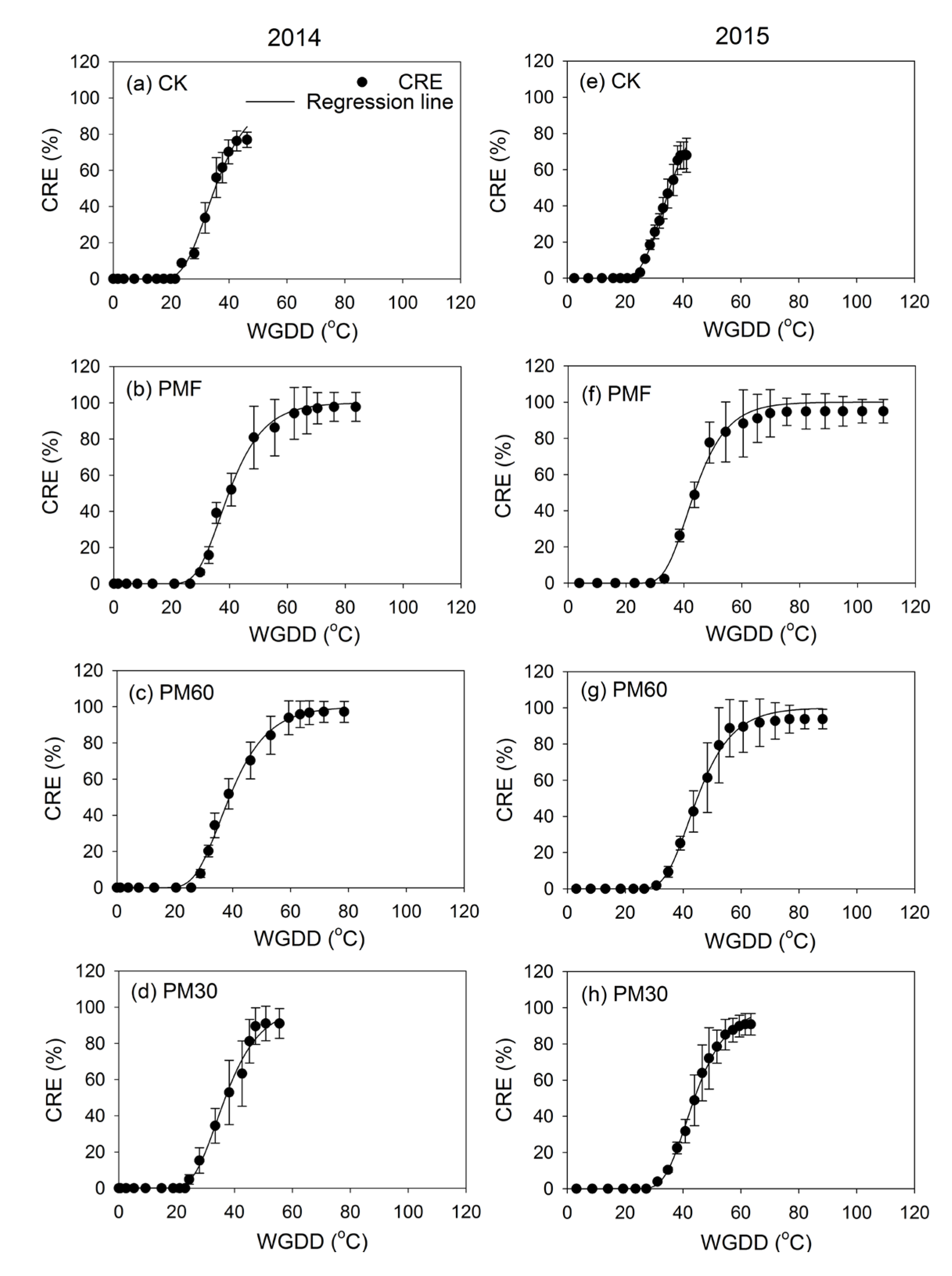
3.5. CRE Estimation Using the Gompertz Function

CRE-WGDD nonlinear regression using the Gompertz function is shown in Figure 6, and the estimated parameters are listed in Table 2. The Gompertz function described the observations well (r2 > 0.9). The Gompertz function was robust for the CRE prediction in the mulching treatments (RRMSD < 15%), however, the CRE prediction in CK treatments was not as accurate (15% < RRMSD < 20%) with some underestimation (-2.3% and -3.0% in 2014 and 2015 respectively). The estimated “a” parameter represents WGDD when the first seedlings emerged, and the “b” parameter indicates the speed of the CRE. It is worth noting that the “a” parameter were obviously different in 2014 and 2015, reflecting differences in growing conditions between the two experimental years (Table 2).

4. Discussion

4.1. Soil Moisture and Soil Temperature at 5 cm Depth (T5)

Liu et al. [30] and Mamkagh [31] reported that mulching can effectively increase surface soil moisture. He et al. [3] found that the soil water content of plots partially covered with narrow (55 cm), wide (110 cm), and fully mulched plastic film were 5.0%, 5.3%, and 7.7% higher than that of no mulch conditions, respectively. Our study also revealed that the effects of soil water conservation gradually decreased as the plastic film width decreased, and the θ5 of PM30 was slightly lower than that of PM60 with the same mulched area index in 2015 (Figure 2a). However, it showed that the effects of soil moisture conservation among the various mulching treatments were influenced by rainfall (Figure 2b). Surface soil can absorb precipitation, whereas plastic film blocked rainfall infiltration in the rainy period during the late April and early May in 2014. Plastic film (PMF or PM60) condensed water vapour from the soil on the under-side of the mulch, which dripped to the soil surface and led to a rise of surface soil moisture in the middle of a day (Figure 3). Mulching did not significantly influence diurnal changes in soil water content (Figure 3a-c), but increase surface soil water storage, which increased seedling emergence (Figure 2b).
The processes of energy exchange across the interface between soil and mulch have been investigated in previous studies [32], and the air temperature between soil and mulch (Tms) has served as an input for modelling soil temperature under mulching conditions [33]. Liu et al. [34] observed that T5 in mulched plots was 11.5 ℃ higher than bare soil in Hebei Province, China, however, the differences of T5 among all treatments in this study (0.5–4.5 ℃) was smaller than 11.5 ℃ (Figure 4), this is because the air temperature during seedling emergence period (late April to early May) at this experiment site was relatively lower (13.6 ℃) than that of Liu et al. [34]. It indicates that high air temperatures could intensify the effects of increased soil temperature in the mulching treatments in a potentially non-linear fashion. Our observations also confirmed that the soil temperature under wide plastic film mulching was greater than that under narrow film [3,29].

4.2. Previous studies commonly use a “two-region model” for soil water and heat analysis or prediction, which divide the soil profile into two zones. This soil profile partitioning hypothesised that mulching blocks soil evaporation and regulates soil temperature in the “mulched zone”, and the mulched area to total area index (mulched area index, MAI) is commonly employed for soil moisture and temperature simulation [35,36]. However, the differences in soil moisture and temperature at the soil surface soil may lead to lateral exchange of soil water and heat, which MAI can’t explain (i.e., difference soil moisture and T5 PM30 and PM60 in this study) and mulching width should also be taken into consider.4.3. GDD Modified Soil Moisture (WGDD)

The WGDD is mainly influenced by T5 (Figure 2a-b), and soil water content when the soil is dry, such as in 2015 (Figure 2b). In no mulch conditions, soil moisture and heat often have an inverse relationship [37], which does not result in WGDD accumulation. As a result, WGDD increased to a much greater extent in PMF and PM60 compared to CK in both years and PM30 in 2014 (Figure 5). The results indicated that PM30 had no effect on WGDD accumulation during the relatively cold conditions in 2014.

4.4. Cumulative Relative Seedling Emergence (CRE) and Final Seedling Emergence Rate (FER)

Li et al. [38] found that mulched shoots of spring wheat emerged 8 d earlier than that in bare soil, which showed more obvious seedling emergence enhancement than our study (3 d earlier than CK in PMF treatment). For this maize variety, seedling emergence was first observed when WGDD reached 25.2 ℃ − 33.3 ℃ (Table 2), while the final seedling emergence rate (FER) was determined when WGDD summed up to 60.0 ℃ (Figure 6b-d, f-h) and 45.0 ℃ (Figure 6a, e) in mulching treatments and CK, respectively. This suggests that seedling emergence was controlled by WGDD, and the more obvious seedling emergence enhancement in study of Li et al. [38] was perhaps due to the different WGDD. Interestingly, a higher WGDD-FE in 2015 (14.0 ℃ higher than 2014) may be due to the less T5 fluctuations between each day (Figure 4b) compared to 2014 (Figure 4a) [6]. Alternatively, a higher WGDD-FE (5.3 ℃) in mulching treatments may be due to the poor soil aeration which is caused by reduced air exchange at soil-air interface (i.e., convective heat flux). Less exchange of air at the soil-air interface (such as PMF) may have led to a higher WGDD-FE (Table 2).
The emergence phase begins at seed imbibition, followed by germination, and lastly shoot elongation. So, germination is very important for a high final seedling emergence rate (FER). Once the seed is moistened, autotrophy begins. The duration of autotrophy depends on seed reserves and surface soil temperature [39], and a prolonged period of autotrophy reduces the germination rate and FER [40]. Seedling imbibition was not a key factor for germination rate in this study because θ5 did not differ among treatments before germination (Figure 2), and the obvious low FER under no mulching condition was mainly due to the low T5 and which may have prolonged the autotrophy period. The lower FER in CK in 2015 compared to 2014 was because of extremely low θ5 after germination (volumetric θ5 < 16%). Germination initiates the growth of the root and then of the shoot, and unsuitable soil moisture cannot sustain respiration and may reduce germination density further [41].

4.5. The Gompertz Nonlinear Regression of the CRE and WGDD

This study demonstrated that when GDD was combined with soil water, it could improve seedling emergence predictions [42]. The Gompertz curve is a simple continuous cumulative sigmoidal curve often used to describe population growth, which is similar to Weibull, Richards, and logistic functions, and it has been shown to be the best equation for CRE-GDD (or WGDD) regression with a more precise emergence starting time prediction and less CRE overestimation [6,17]. The Gompertz nonlinear regression of CRE-WGDD was applicable for seedling emergence prediction, which agreed with Mohanty & Painuli [17]. The performance of the CRE prediction for the CK treatments was not as accurate as it was for mulching treatments. King & Oliver [25] argue that the disparity between the observations and the best fit values for the Gompertz function is due to the soil water deficit that restrains germination and seedling elongation thus restricting CRE, which was confirmed in CK treatment in 2015 (Table 2). Our study also found low T5 before germination was also a disadvantage for CRE-WGDD prediction using the Gompertz function, such as for CK in 2014 (Table 2).
Parameter “a” of the Gompertz function gave an objective description for WGDD-FE (Table 2). However, parameter “b” of the Gompertz function in Table 2 showed no significant difference, which was because germination was suppressed and the process of seedling emergence was shorten by the adverse soil water and thermal conditions, thus causing a “bigger-slope” of the Gompertz curve. In recent years, seedling emergence prediction models that comprehensively consider indicators such as soil hydrothermal conditions, soil texture, and soil aggregates in seedbeds have been developed, such as the SIMPLE model (8). In the current study, we estimated the Gompertz curve parameters under different plastic mulch width coverings, which helps to improve the above model for the simulation of seed emergence in mulched farmland.

5. Conclusion

The cumulative effects of tiny diurnal rises of surface soil moisture in PMF and PM60 play an important role in increasing surface soil water storage and seedling emergence. The effects of soil water conservation and temperature enhancement gradually decreased as the plastic film width decreased, however, there was no difference between PMF and PM60. Soil water modified growing degree days (WGDD) describe the effects of soil water conservation and temperature enhancement under mulching conditions, especially under arid conditions. PM30 had no effect on WGDD accumulation enhancement in cold environment.
Plastic film mulching markedly accelerated seedling emergence and increased final seedling emergence rate because mulching can mitigate in poor situations (i.e., long autotrophy duration or too low θ5) thus leading to a good germination. The effects of seedling emergence improvement were also gradually decreased as the plastic film width decreased. WGDD-CRE can be well regressed using Gompertz function. However, a “larger exponential rate” of the Gompertz curve may be shown for CK treatments because of suppression of seedling emergence process.

Acknowledgments

This work was supported by the National Natural Science Foundation of China (52369006), Yunnan Fundamental Research Projects (202401AT070323), and Yunnan Provincial Field Scientific Observation and Research Statio on Water-Soil-Crop System in Seasonal Arid Region (202305AM070006).

Conflicts of Interest

The authors declare no conflicts of interest.

References

  1. Kumar, R., Mishra, J. S., Naik, S. K., Mondal, S., Meena, R. S., Kumar, S., Dubey, A. K., Makarana, G., Jha, B. K., Mali, S. S., Biswas, A. K., Choudhary, A. K., Hans, H., Dubey, R., Kumar, S., Sundaram, P. K., Raman, R. K., Monobrullah, M., Kumar, S., Kumar, U., Bhatt, P. K. (2022). Impact of crop establishment and residue management on soil properties and productivity in rice-fallow ecosystems in India. Land Degradation and Development, 33(5), 798–812. [CrossRef]
  2. Gan, Y. T., Stobe, E. H., Moes, J. (1992). Relative date of wheat seedling emergence and its impact on grain yield. Crop Science, 32, 1275–1281. [CrossRef]
  3. He, H., Tian, C. Y., Wang, L. X. (2009). Effect of different coverings on soil temperature and soil moisture content in cotton field in Xinjiang. Arid Zone Research, 26, 826–831. [CrossRef]
  4. Tribouillois, H., Constantin, J., Justes, E. (2018). Analysis and modeling of cover crop emergence: Accuracy of a static model and the dynamic STICS soil-crop model. European Journal of Agronomy, 93, 73–81. [CrossRef]
  5. Coleman, R. K , Gill, G. S., Rebetzke, G. J. (2001). Identification of quantitative trait loci (QTL) for traits conferring weed competitiveness in wheat (Triticum aestivum L.). Australian Journal of Agricultural Research, 52, 1235–1246. [CrossRef]
  6. Forcella, F., Arnold, R. L. B., Sanchez, R., Ghersa, C. M. (2000). Modeling seedling emergence. Field Crops Research, 67, 123–139. [CrossRef]
  7. Constantin, J., Dürr, C., Tribouillois, H., Justes, E. (2015). Catch crop emergence success depends on weather and soil seedbed conditions in interaction with sowing date: A simulation study using the SIMPLE emergence model. Field Crops Research, 176, 22–33. [CrossRef]
  8. Lamichhane, J. R., Boiffin, J., Boizard, H., Dürr, C., Richard, G. (2021). Seedbed structure of major field crops as affected by cropping systems and climate: Results of a 15-year field trial. Soil & Tillage Research, 206, 104845. [CrossRef]
  9. Gummerson, R. J. (1986). The effect of constant temperatures and osmotic potential on the germination of sugar beet. Journal of Experimental botany, 37, 729–741. [CrossRef]
  10. Bu, L. D., Zhu, L., Liu, J. L., Luo, S. S., Chen, X. P., Li, S. Q. (2013). Source-sink capacity responsible for higher maize yield with removal of plastic film. Agronomy Journal, 105, 591–598. [CrossRef]
  11. Yuan, Z. Q., Zhang, R., Wang, B. X., Gao, B. Q., Ayana, G., Abera, D., Ashraf, M., Li, F. M. (2019). Film mulch with irrigation and rainfed cultivations improves maize production and water use efficiency in Ethiopia. Annals of Applied Biology, 2019;1–13. [CrossRef]
  12. Tang, W., Baskin, C. C., Baskin, J. M., Nan, Z. B. (2020). Plastic film mulching improves seed germination, seedling development and potential for perenniality of Vicia unijuga under subalpine climate conditions. Crop & Pasture Science, 71, 592–609. [CrossRef]
  13. Ding, D. Y., Xu, Z. P., Chen, F. Y., Dong, W. J., Zhong, Z. C., Peng, J. W., Jiang, S. J., Mu, K., Yan, H. M., Wang, N. J., Zou, Y. F., Feng, H. (2021). Optimization simulation of AquaCrop based on the compensatory effect under palstic mulching. Agricultural Research in the Arid Areas, 39(6), 113–125. [CrossRef]
  14. Jame, Y. W., & Cutforth, H. W. (2004). Simulating the effects of temperature and seeding depth on germination and emergence of spring wheat. Agricultural and Forest Meteorology, 124, 207–218. [CrossRef]
  15. Wang, H., Cutforth, H., McCaig, T., McLeod, G., Brandt, K., Lemke, R., Goddard, T., Sprout, C. (2009). Predicting the time to 50% seedling emergence in wheat using a Beta model. NJAS - Wageningen Journal of Life Sciences, 57, 65–71. [CrossRef]
  16. Soltani, E., Gonzalez-Andujar, J. L., Oveisi, M., Salehi, N. (2018). Development and validation of a predictive model for seedling emergence of volunteer canola (brassica napus) under semi-arid climate. International Journal of Plant Production, 12, 53–60. [CrossRef]
  17. Mohanty, M., & Painuli, D. K. (2004). Modeling rice seedling emergence and growth under tillage and residue management in a rice-wheat system on a Vertisol in Central India. Soil & Tillage Research, 76, 167–174. [CrossRef]
  18. Jame, Y. W., & Cutforth, H. W. (2004). Simulating the effects of temperature and seeding depth on germination and emergence of spring wheat. Agricultural and Forest Meteorology, 124, 207–218. [CrossRef]
  19. Major, D. J., Brown, A., Bootsma, A., Dupuis, G., Fairey, N., Grant, E. A., Green, D. G., Hamilton, R. I., Langille, J., Sonmor, L. G., Smeltzer, G. C., White, R. P. (1983). An evaluation of the corn heat unit system for the short growing regions across Canada. Canada Journal of Plant Science, 63, 121–130.
  20. Stevens, E. J., Stevens, S. J., Flowerday, A. D., Gardner, C. O., Eskridge, K. M. (1986). Phenology of dent corn and pop corn. II Improved crop development models. Agronomy Journal, 78, 885–891. [CrossRef]
  21. Bonhomme, R., Derieux, M., Edmeades, G. O. (1994). Flowering of diverse maize cultivars in relation to temperature and photoperiod in multilocation field trials. Crop Science, 34, 156–164. [CrossRef]
  22. de Vries, D. A. (1963). Thermal properties of soils. In van Wijk, W.R. (Eds.) Physics of Plant Environments Amsterdam: North-Holland, pp.210–235.
  23. Ritchie, J. T., & NeSmith, D. S. (1991). Temperature and crop development. In: Hanks, R.J., Ritchie, J.T. (Eds.) Modeling Plant and Soil Systems. Agronomy Monograph No. 31, (WI, USA:‌ Madison) ‌pp. 5–29.
  24. China Meteorological Administration (1993). Ground Meteorological Observation Criterion. (In Chinese.) Meteorological Press, Beijing.
  25. King, C. A., & Oliver, L. R. (1994). A model for predicting large crabgrass (Digitaria sanguinalis) emergence as influenced by temperature and water potential. Weed Science, 42, 561–567. [CrossRef]
  26. McMaster, G. S., & Wilhelm, W. W. (1998). Is soil temperature better than air temperature for predicting winter wheat phenology? Agronomy Journal, 90, 602–607.
  27. Li, Q. S., Gao, L. Q., Shi, A. L., Xing, Z. M., Liang, Q. H., Ji, Z. Q. (2011). Relationships between soil temperature and emergence of maize. Crops, 27, 89–92. [CrossRef]
  28. Daly, C., Neilson, R. P., Phillips, D. L. (1994). A statistical-topographic model for mapping climatological precipitation over mountainous terrain. Journal of Applied Meteorology, 33, 140–158. [CrossRef]
  29. Ma, Z. M., Du, S. P., Xue, L. (2011). Influences of different plastic film mulches on temperature and moisture of soil and growth of watermelon in gravel-mulched land. Acta Ecologica Sinica, 3, 1295–1302.
  30. Liu, S. Y., Zhang, L. F., Li, Z. H., Jia, J. M., Fan, F. C., Shi, Y. F. (2014). Effects of plastic mulch on soil moisture and temperature and limiting factors to yield increase for dryland spring maize in the Northern China. Chinese Journal of Applied Ecology, 25, 3197–3206. [CrossRef]
  31. Mamkagh, A. M. A. (2009). Effect of tillage time and plastic mulch on growth and yield of okra (Abelmoschus esculentus) grown under rainfed conditions. International Journal of Agriculture and Biology, 11, 453–457. [CrossRef]
  32. Liakatas, A., Clark, J. A., Monteith, J. L. (1986). Measurements of the heat balance under plastic mulches. Part I. Radiation balance and soil heat flux. Agricultural and Forest Meteorology, 36, 227–239. [CrossRef]
  33. Zhou, L. F., Zhao, W. Z., He, J. Q., Flerchinger, G. N., Feng, H. (2020). Simulating soil surface temperature under plastic film mulching during seedling emergence of spring maize with the RZ–SHAW and DNDC models. Soil & Tillage Research, 197, 104517. [CrossRef]
  34. Liu, S. Y., Zhang, L. F., Li, Z. H., Jia, J. M., Fan, F. C., Shi, Y. F. (2014). Effects of plastic mulch on soil moisture and temperature and limiting factors to yield increase for dryland spring maize in the Northern China. Chinese Journal of Applied Ecology, 25, 3197–3206. [CrossRef]
  35. Chung, S., & Horton, R. (1987). Soil heat and water flow with a partial surface mulch. Water Resoures Research, 23, 2175–2186. [CrossRef]
  36. Liang, H., Hu, K. L., Qin, W., Zuo, Q., Zhang, Y. N. (2017). Modelling the effect of mulching on soil heat transfer, water movement and crop growth for ground cover rice production system. Field Crops Research, 201, 97–107. [CrossRef]
  37. Zhang, Z., Tian, F. Q., Zhong, R. S. (2011). Spatial and Temporal pattern of soil temperature in cotton field under mulched drip irrigation condition in Xinjiang. Transactions of the Chinese Society of Agricultural Engineering, 27, 44–51. [CrossRef]
  38. Li, F. M., Guo, A., Wei, H. (1999). Effects of clear plastic film mulch on yield of spring wheat. Field Crops Research, 63, 79–86. [CrossRef]
  39. Brisson, N., Launay, M., Mary, B., Beaudoin, N. (2008). Conceptual basis, formalisations and parameterization of the STICS crop model, Editions QUAE, Versailles.
  40. Bradford, K. J. (2002). Application of hydrothermal time to quantififying and modeling seed germination and dormancy. Weed Science, 50, 248–260. [CrossRef]
  41. Nabi, G., & Mullins, C. E. (2008). Soil temperature dependent growth of cotton seedlings before emergence. Pedosphere, 18, 54–59.
  42. Roman, E. S., Thomas, A. G., Murphy, S. D., Swanton, C. J. (1999). Modelling germination and seedling elongation of common lambsquarters (Chenopodium album). Weed Science, 47, 149–155. [CrossRef]
Figure 1. The different mulching methods in seedling treatment plots. a: fully mulched with clear plastic film at 140 cm in width (PMF); b: partially mulched with wide clear plastic film (PM60); c: partially mulched with narrow clear plastic film (PM30); d: plot without mulch (CK). The bold lines indicate the mulched zones.
Figure 1. The different mulching methods in seedling treatment plots. a: fully mulched with clear plastic film at 140 cm in width (PMF); b: partially mulched with wide clear plastic film (PM60); c: partially mulched with narrow clear plastic film (PM30); d: plot without mulch (CK). The bold lines indicate the mulched zones.
Preprints 111373 g001
Figure 2. Soil moisture (cm3 cm-3) at 5 cm depth in the different treatments during the maize seedling emergence stage in (a) 2014 and (b) 2015. Error bars are the LSD at P = 0.05.
Figure 2. Soil moisture (cm3 cm-3) at 5 cm depth in the different treatments during the maize seedling emergence stage in (a) 2014 and (b) 2015. Error bars are the LSD at P = 0.05.
Preprints 111373 g002
Figure 3. Diurnal changes of soil water storage (mm) at the 0–10 cm depths in the different treatments during maize seedling emergence in 2015. Lowercase letters represent the significant differences of soil water storage between 8:00, 14:00, and 20:00, which were tested by one-way ANOVA. “NS” represents not significant, and “Sig” represents significant.
Figure 3. Diurnal changes of soil water storage (mm) at the 0–10 cm depths in the different treatments during maize seedling emergence in 2015. Lowercase letters represent the significant differences of soil water storage between 8:00, 14:00, and 20:00, which were tested by one-way ANOVA. “NS” represents not significant, and “Sig” represents significant.
Preprints 111373 g003
Figure 4. Soil temperature at 5 cm depth (T5) in the different mulching treatments during the maize seedling emergence stage in (a) 2014 and (b) 2015.
Figure 4. Soil temperature at 5 cm depth (T5) in the different mulching treatments during the maize seedling emergence stage in (a) 2014 and (b) 2015.
Preprints 111373 g004
Figure 5. WGDD of the different treatments during the maize seedling emergence stage in 2014 (a) and 2015 (b). WGDD were calculated using T5 with soil moisture thresholds according to Equations 3‒6.
Figure 5. WGDD of the different treatments during the maize seedling emergence stage in 2014 (a) and 2015 (b). WGDD were calculated using T5 with soil moisture thresholds according to Equations 3‒6.
Preprints 111373 g005
Figure 6. CRE-WGDD regression by Gompertz function of the different treatments during the maize seedling emergence stage in 2014 (a-d) and 2015 (e-h).
Figure 6. CRE-WGDD regression by Gompertz function of the different treatments during the maize seedling emergence stage in 2014 (a-d) and 2015 (e-h).
Preprints 111373 g006
Table 1. Physical and chemical properties of the topsoil at the experimental site.
Table 1. Physical and chemical properties of the topsoil at the experimental site.
Deptha
(cm)
BD
(g cm-3)
FC (%) EC
(ms cm-1)
SOM
(g kg-1)
NO3-
(mg kg-1)
NH4+
(mg kg-1)
Particle size (%) Soil
texture
Clay Silt Sand
0–20 1.4±0.1 29.4±0.8 0.3±0.0 7.3±0.2 39.5±2.6 8.0±0.4 20.0±0.9 47.8±0.6 32.2±0.6 Silty loam
20–40 1.4±0.0 31.3±1.1 0.3±0.0 6.7±0.3 28.5±1.2 13.8±0.7 23.0±1.1 53.8±0.6 23.2±0.6 Silty loam
a BD, bulk density; FC, field capacity; EC, electrical conductivity; SOM, soil organic matter.
Table 2. The relationship analysis between the RE and WGDD using the Gompertz function in 2014 and 2015.
Table 2. The relationship analysis between the RE and WGDD using the Gompertz function in 2014 and 2015.
Yeara Treat-ment ED-FE
(day)
WGDD-FE
(℃)
FER
(%)
C R E   % = 100 *   e x p { e x p b ( W G D D a )   }
ac bc r2 RRMSD
(%)
bias
(%)
2014 CK 10.7a±0.6b 23.6b±0.9 76.9c±4.2 55.9 0.1 0.993** 18.0 -2.3
PMF 7.6b±0.6 29.8a±1.2 97.9a±7.6 90.7 0.1 0.995** 8.3 0.2
PM60 8.3b±0.6 28.8a±1.1 97.2a±5.8 54.2 0.1 0.997** 7.0 0.4
PM30 9.7a±0.6 24.3b±1.0 91.0b±8.3 62.2 0.1 0.993** 11.1 1.0
2015 CK 8.3a±0.6 25.2b±1.0 68.0b±7.6 85.8 0.1 0.995** 14.7 -3.0
PMF 6.0c±0.0 33.3a±1.3 95.0a±6.5 215.7 0.1 0.991** 7.4 -1.7
PM60 7.0b±0.0 30.8a±1.2 93.8a±5.4 159.4 0.1 0.995** 7.2 -0.5
PM30 7.3b±0.6 31.2a±1.2 90.8a±6.0 208.9 0.1 0.994** 4.8 -0.3
a ED-FE, elapsed days when the first seed emerged; WGDD-FE, WGDD for first seedling emergence; FER, final seedling emergence rate. b Values followed by different uppercase letters in the same row are significantly different according to Duncan’s multiple range test (p < 0.05). Mean ± standard deviation. c Parameters fitted with the simulated WGDD and CRE.
Disclaimer/Publisher’s Note: The statements, opinions and data contained in all publications are solely those of the individual author(s) and contributor(s) and not of MDPI and/or the editor(s). MDPI and/or the editor(s) disclaim responsibility for any injury to people or property resulting from any ideas, methods, instructions or products referred to in the content.
Copyright: This open access article is published under a Creative Commons CC BY 4.0 license, which permit the free download, distribution, and reuse, provided that the author and preprint are cited in any reuse.
Prerpints.org logo

Preprints.org is a free preprint server supported by MDPI in Basel, Switzerland.

Subscribe

Disclaimer

Terms of Use

Privacy Policy

Privacy Settings

© 2026 MDPI (Basel, Switzerland) unless otherwise stated