Submitted:
04 July 2024
Posted:
05 July 2024
You are already at the latest version
Abstract
Keywords:
1. Introduction
2. Materials and Methods
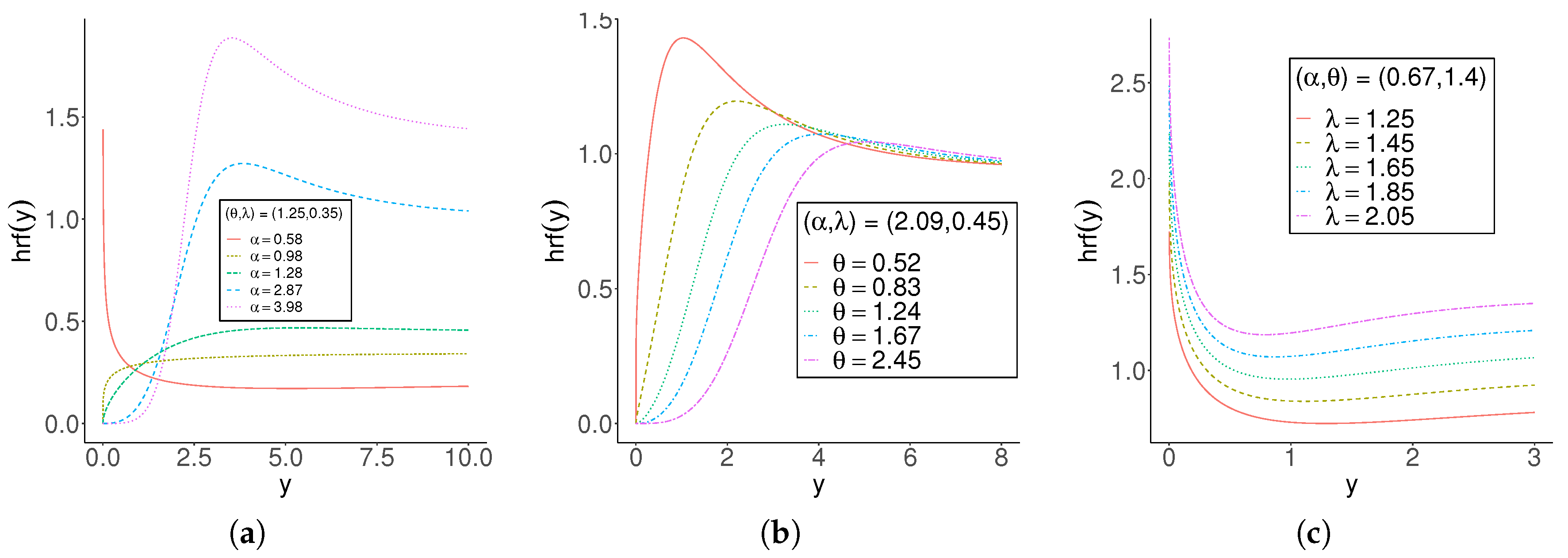
2.1. The GOLLE Distribution
2.2. Main Properties
2.3. Representation
2.4. Quantile function
2.5. Moments
2.6. Generating Function
2.7. Estimation
2.7.1. Simulation Study
3. The proposal LGOLLE distribution
4. The New LGOLLE Regression Model
4.1. Estimation
4.2. Regression Simulation Study
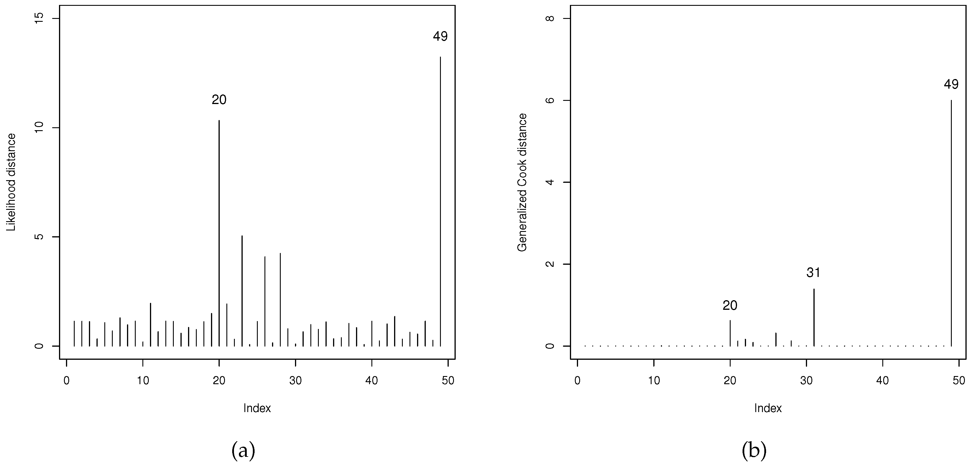
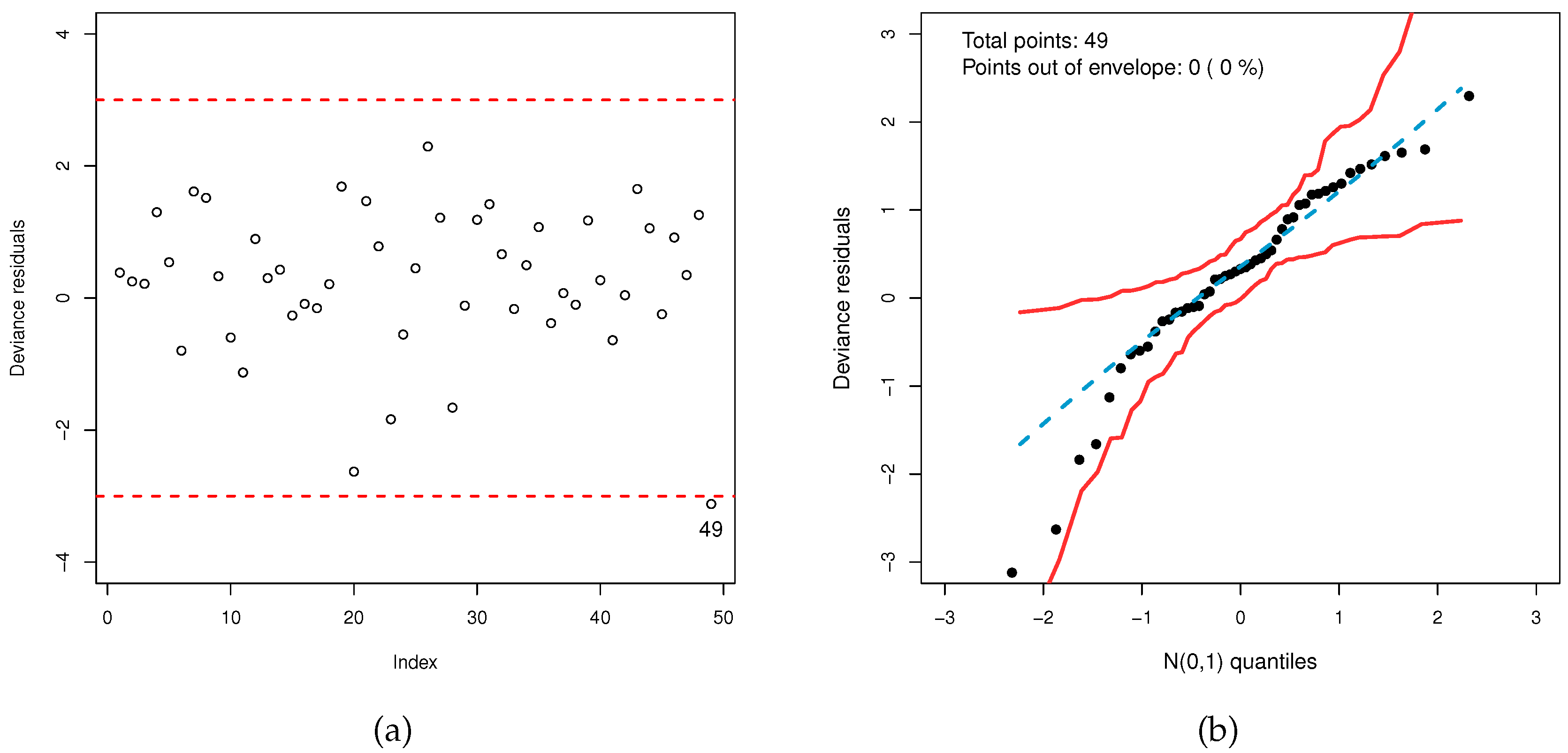
4.3. Model Checking
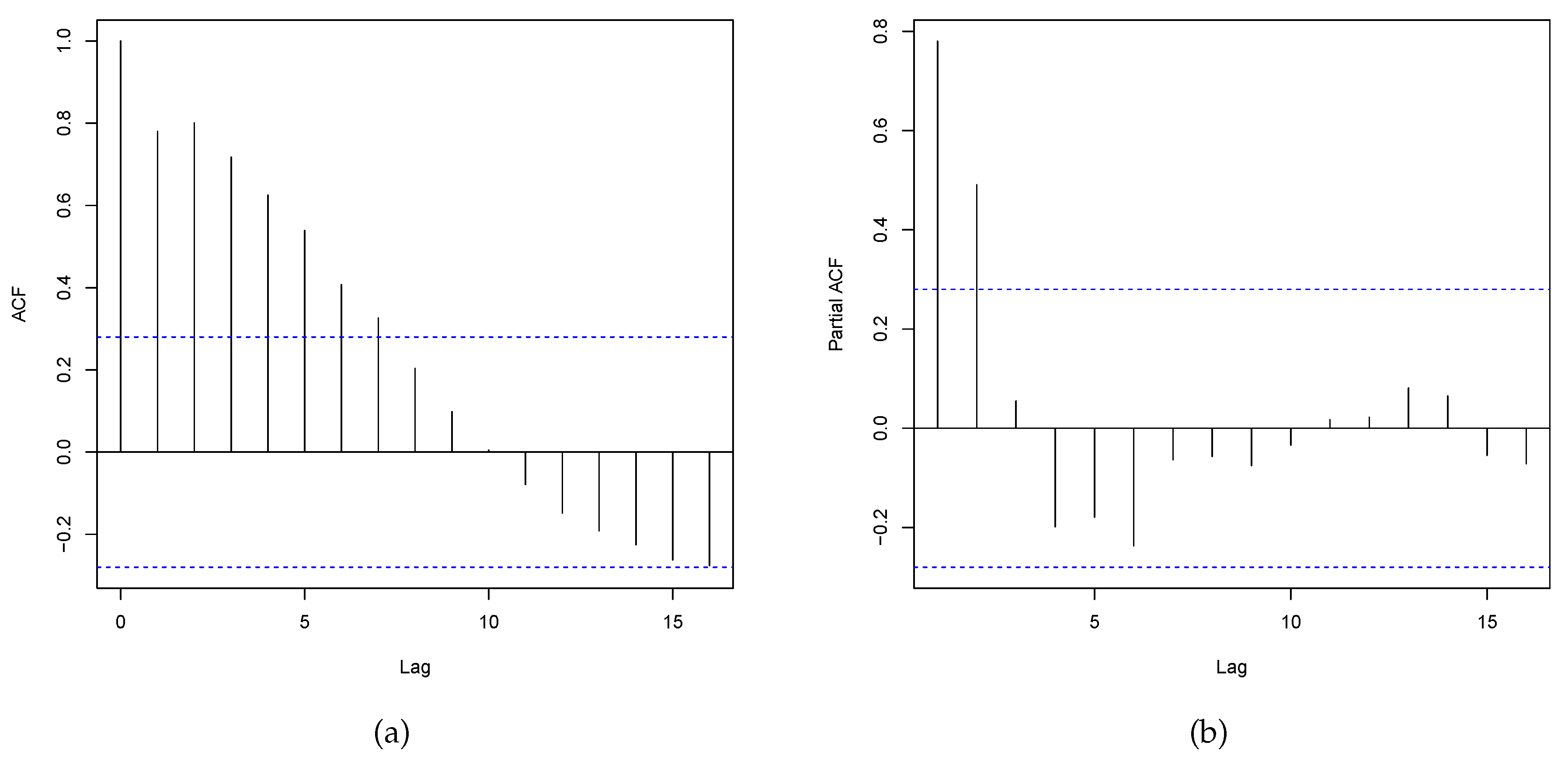
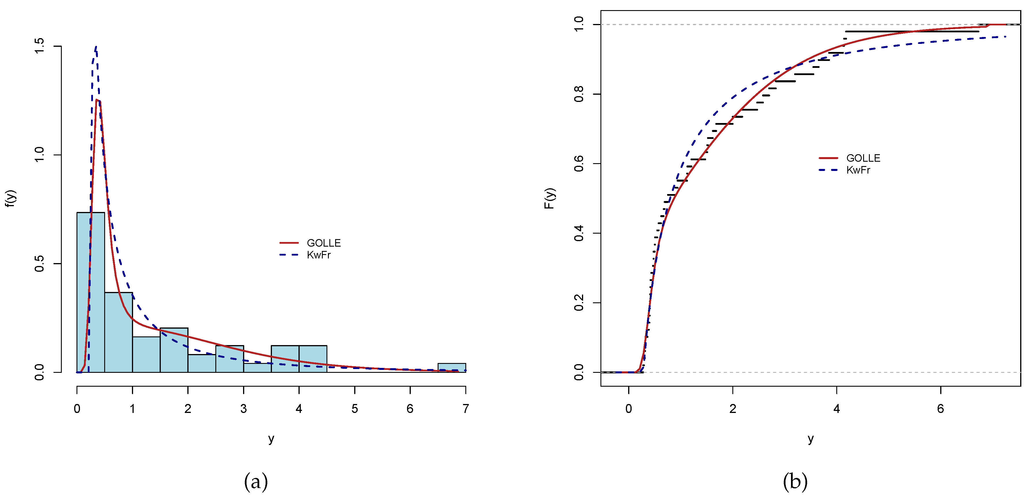
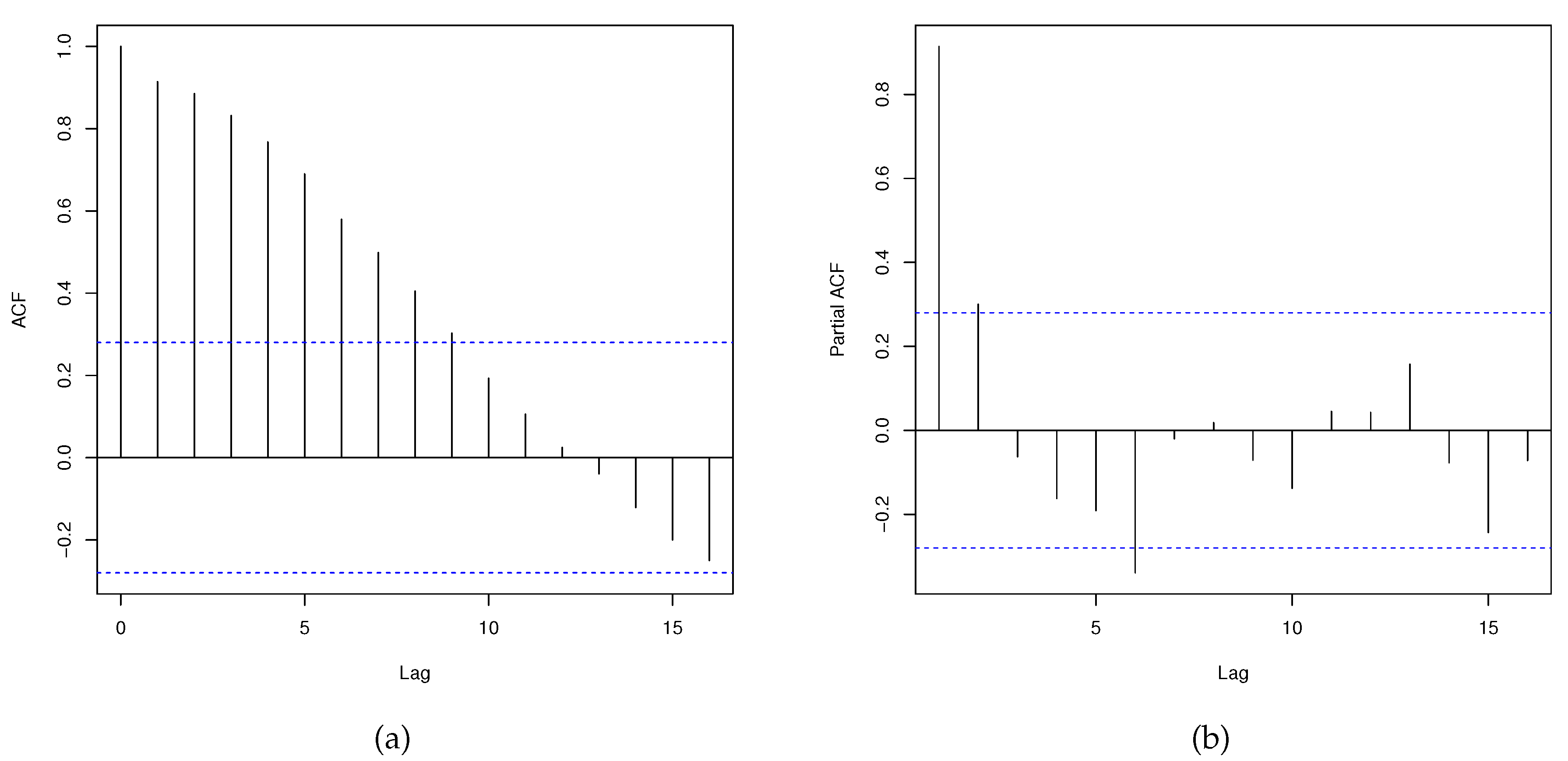
5. Application: Dengue Fever Cases Data
5.1. Descriptive of the Data
- : total dengue fever cases of a epidemiological week (DG) (response variable);
- : month (levels: 0 - January to 11 - December). Thus, for and , dummy variables.
6. Results
6.1. Findings from GOLLE Distribution
6.2. Findings from LGOLLE Regression Model
6.3. Discussion
- Except for the covariates and , referring to the months July and December, all other covariates are significant at a level of significance. This indicates that there is a difference in dengue fever cases registered in the Federal District between the other months and January. The months of July and December are probably not significant due to their similar behavior to the reference month;
- The months of February to June have positive estimates, which is significant, showing an increase in comparison to January. This may be seen in Figure 12(b), which shows an extreme event (between May and June) in that window data scenario;
- August to November have negative values, indicating a decline in dengue fever cases compared to January. During this period, the Federal District experiences a drought that corroborates the study’s findings (https://portal.inmet.gov.br/uploads/notastecnicas/Estado-do-clima-no-Brasil-em-2022-OFICIAL.pdf, accessed on 02nd July 2024).
7. Conclusions
Author Contributions
Funding
Institutional Review Board Statement
Informed Consent Statement
Data Availability Statement
Conflicts of Interest
Abbreviations
| Anderson Darling | |
| ACF | autocorrelation function |
| AE | average estimate |
| AE | average estimate |
| AL | average estimate length |
| ARIMA | utoregressive integrated moving average model |
| BE | beta-Fréchet |
| cdf | cumulative distribution function |
| COVID-19 | corona virus disease 2019 |
| DG | dengue fever cases |
| E | exponential distribution |
| EE | exponentiated exponential distribution |
| EVT | extreme value theory |
| Fr | Fréchet |
| GCD | generalized Cook distance |
| GEV | generalized extreme value |
| GE | gamma-exponential distribution |
| GFr | gamma-Fréchet distribution |
| GOLLE | generalized odd log-logistic exponential distribution |
| GOLL-G | generalized odd log-logistic distribution |
| hrf | hazard rate function |
| KS | Kolmorogov-Sminorv |
| KwE | Kumaraswamy exponential distribution |
| KwFr | Kumaraswamy Fréchet distribution |
| LD | loglikelihood distance |
| LGOLLE | log generalized odd log-logistic exponential distribution |
| LR | likelihood ratio |
| mgf | moment generation function |
| MLE | maximum likelihood estimate |
| MSE | mean squared error |
| OLLE | odd log-logistic exponential distribution |
| PACF | partial autocorrelation function |
| probability distribution function | |
| RMSE | root mean squared error |
| SE | standard error |
| SINAN | sistema de informação de agravos de notificação |
| T-X | transformer-transformer generator |
| Cramér-von Misses |
References
- Li, Y.; Dou, Q., Lu; Y., Xiang; H., Yu, X.; Liu, S. Effects of Ambient Temperature and Precipitation on the Risk of Dengue Fever: A Systematic Review and Updated Meta-Analysis. Environmental Research 2020, 191, 110043. [CrossRef] [PubMed]
- Lim, J. T.; Dickens, B. S. L.; Cook, A. R. Modelling the Epidemic Extremities of Dengue Transmissions in Thailand. Epidemics 2020, 33, 100402. [Google Scholar] [CrossRef] [PubMed]
- Diop, A.; Deme, E. H.; Diop, A. Zero-inflated Generalized Extreme Value Regression Model for Binary Response data and Application in Health Study. Journal of Statistical Computation and Simulation 2023, 93, 1–24. [Google Scholar] [CrossRef]
- Marani, M., Katul, G. G.. Pan, W. K.; Parolari, A. J. Intensity and Frequency of Extreme Novel Epidemics. Proceedings of the National Academy of Sciences 2021, 35, e2105482118. [CrossRef]
- Thomas, M.; RootzÉn, H. Real-time Prediction of Severe Influenza Epidemics Using Extreme Value Statistics. Journal of the Royal Statistical Society Series C: Applied Statistics 2022, 71, 376–394. [Google Scholar] [CrossRef]
- Lin, H.; Zhang, Z. Extreme Co-movements Between Infectious Disease Events and Crude Oil Futures Prices: From Extreme Value Analysis Perspective. Energy Economics 2022, 110, 106054. [Google Scholar] [CrossRef]
- Tian, N.; Zheng, J.-X.; Guo, Z.-Y.; Li, L.-H.; Xia, S.; Lv, S.; Zhou, X.-N. Dengue Incidence Trends and its Burden in Major Endemic Regions from 1990 to 2019. Tropical Medicine and Infectious Disease 2022, 7, 180. [Google Scholar] [CrossRef] [PubMed]
- Lun, X.; Wang, Y.; Zhao, C.; Wu, H.; Zhu, C.; Ma, D.; Xu, M.; Wang, J.; Liu, Q.; Xu, L. et al. Epidemiological Characteristics and Temporal-Spatial Analysis of Overseas Imported Dengue Fever Cases in Outbreak Provinces of China, 2005-2019. Infectious Diseases of Poverty 2022, 11, 1–17. [CrossRef]
- Sandeep, M.; Padhi, B. K.; Yella, S. S. T.; Sruthi, K. G.; Venkatesan, R. G.; Sasanka, K. S., Krishna, B. S.; Satapathy, P.; Mohanty, A.; Al-Tawfiq, J. A.; Iqhrammullah, M. et al. Myocarditis Manifestations in Dengue Cases: A Systematic Review and Meta-analysis. Journal of Infection and Public Health 2023, 16, 1761–1768. [CrossRef]
- de Oliveira-Júnior, J. F.; Souza, A.; Abreu, M. C.; Nunes, R. S. C.; Nascimento, L. S.; Silva, S. D.; Correia Filho, W. L. F.; Silva, E. B. Modeling of Dengue by Cluster Analysis and Probability Distribution Functions in the State of Alagoas in Brazilian. Brazilian Archives of Biology and Technology 2023, 66, e23220086. [Google Scholar] [CrossRef]
- Qoshja, A.; Muça, M. A New Modified Generalized Odd Log-logistic Distribution with Three Parameters. Mathematical Theory and Modeling 2018, 8. Available online: https://www.researchgate.net/publication/331483356_A_NEW_MODIFIED_GENERALIZED_ODD_LOG-LOGISTIC_DISTRIBUTION_WITH_THREE_PARAMETERS (accessed on 28 June 2024).
- A. Z.; Suzuki, A. K.; Zhang, C.; Nassar, M. On Three-parameter Exponential Distribution: Properties, Bayesian and non-Bayesian Estimation Based on Complete and Censored Samples. Mathematical Theory and Modeling 2021, 50, 3799-3819. [CrossRef]
- Cordeiro, G.M.; Alizadeh, M.; Ozel, G.; Hosseini, B.; Ortega, E.M.M.; Altun, E. The Generalized Odd Log-Logistic Family of Distributions: Properties, Regression Models and Applications. J. Stat. Comput. Simul. 2017, 87, 908–932. [Google Scholar] [CrossRef]
- Alzaatreh, A.; Lee, C.; Famoye, F. A New Method for Generating Families of Continuous Distributions. Metron 2013, 71, 63–79. [Google Scholar] [CrossRef]
- Gleaton, J.U.; Lynch, J.D. Properties of Generalized Log-Logistic Families of Lifetime Distributions. J. Probab. Stat. Sci. 2006, 4, 51-64. Available online: https://www.researchgate.net/publication/283595537_Properties_of_generalized_log-logistic_families_of_lifetime_distributions (accessed on 28 June 2024).
- Gupta, R.C.; Gupta, R.D. Proportional Reversed Hazard Rate Model and its Applications. J. Stat. Plan. Inference 2007, 137, 3525–3536. [Google Scholar] [CrossRef]
- Gupta, R.C.; Gupta, R.D. Exponentiated Exponential Family: An Alternative to Gamma and Weibull Distributions. Biometrical Journal: Journal of Mathematical Methods in Biosciences 2001, 43, 117–1306. [Google Scholar] [CrossRef]
- R Core Team. R Core Team: A Language and Environment for Statistical Computing; R Foundation for Statistical Computing: Vienna, Austria, 2024.
- Cox, D. R.; Snell, E. J. A General Definition of Residuals. Journal of the Royal Statistical Society. Series B (Methodological) 1968, 30, 248–275. [Google Scholar] [CrossRef]
- Cook, R. D.; Weisberg, S. Residuals and influence in regression. 1982. Chapman & Hall.
- Ortega, E. M. M.; Paula, G. A.; Bolfarine, H. Deviance Residuals in Generalised Log-gamma Regression Models with Censored Observations. Journal of Statistical Computation and Simulation) 2008, 78, 747–764. [Google Scholar] [CrossRef]
- Silva, G. O.; Ortega, E. M. M.; Paula, G. A. Residuals for Log-Burr XII Regression Models in Survival Analysis. Journal of Applied Statistics) 2011, 38, 1435–1445. [Google Scholar] [CrossRef]
- Atkinson, A.C. Plots, Transformations, and Regression: An Introduction to Graphical Methods of Diagnostic Regression Analysis. Clarendon Press 1987. [CrossRef]
- Mead, M. E. A. A Note on Kumaraswamy Fréchet Distribution. Australia 2014, 8, 294-300. Available online: http://www.ajbasweb.com/old/ajbas/2014/September/294-300.pdf (accessed on 28 June 2024).
- Adepoju, K. A.; Chukwu, O. I. Maximum Likelihood Estimation of the Kumaraswamy exponential Distribution with Applications. Journal of Modern Applied Statistical Methods 2015, 14, 208–214. [Google Scholar] [CrossRef]
- Kudriavtsev, A. A. On the Representation of Gamma-exponential and Generalized Negative Binomial Distributions. Informatika i Ee Primeneniya [Informatics and its Applications]s2019,13, 76-80. [CrossRef]
- Nadarajah, S.; Kotz, S. The Beta Exponential Distribution.Reliability Engineering & System Safety 2006,91, 689-697. [CrossRef]
- Fréchet, M. Sur La Loi de Probabilité de L’écart Maximum.Ann. de la Soc. Polonaise de Math. Available online: https://cir.nii.ac.jp/crid/1572261550191409280 (accessed on 28 June 2024).
- Marinho, P.R.D.; Silva, R.B.; Bourguignon, M.; Cordeiro, G.M.; Nadarajah, S. AdequacyModel: An R package for probability distributions and general purpose optimization.PLoS ONE 2019,14, e0221487. https://doi.org/10.1371/journal.pone.0221487. [CrossRef]















| Sub-Model | ||
|---|---|---|
| - | 1 | Generalized log-logistic family [15] |
| 1 | - | Proportional reversed hazard rate family [16] |
| 1 | 1 | Baseline |
| Sub-Model | ||
|---|---|---|
| - | 1 | Odd log-logistic exponential (OLLE) distribution, see [15] |
| 1 | - | Exponentiated-exponential (EE) distribution, see [17] |
| 1 | 1 | Exponential (E) distribution |
| scenario 1 - GOLLE(0.23,1.25,0.89) | |||||||||||
|---|---|---|---|---|---|---|---|---|---|---|---|
| Par | n=50 | n =150 | n = 300 | ||||||||
| AE | AB | RMSE | AE | AB | RMSE | AE | AB | RMSE | |||
| 0.274 | 0.044 | 0.207 | 0.266 | 0.036 | 0.141 | 0.249 | 0.019 | 0.088 | |||
| 1.580 | 0.330 | 0.909 | 1.357 | 0.107 | 0.618 | 1.292 | 0.042 | 0.417 | |||
| 1.076 | 0.186 | 0.603 | 0.932 | 0.042 | 0.399 | 0.908 | 0.0018 | 0.281 | |||
| Par | n = 500 | n = 750 | n = 1000 | ||||||||
| 0.239 | 0.009 | 0.060 | 0.234 | 0.008 | 0.041 | 0.235 | 0.005 | 0.034 | |||
| 1.279 | 0.029 | 0.309 | 1.244 | 0.006 | 0.211 | 1.252 | 0.002 | 0.179 | |||
| 0.906 | 0.016 | 0.213 | 0.884 | 0.006 | 0.147 | 0.890 | 0.000 | 0.124 | |||
| scenario 2 - GOLLE(0.85,0.15,1.15) | |||||||||||
| Par | n = 50 | n = 150 | n = 300 | ||||||||
| 0.824 | 0.026 | 0.292 | 0.837 | 0.012 | 0.184 | 0.855 | 0.005 | 0.121 | |||
| 0.201 | 0.051 | 0.175 | 0.164 | 0.014 | 0.051 | 0.154 | 0.004 | 0.024 | |||
| 2.232 | 1.082 | 3.356 | 1.479 | 0.329 | 0.980 | 1.239 | 0.089 | 0.446 | |||
| Par | n = 500 | n = 750 | n = 1000 | ||||||||
| 0.848 | 0.002 | 0.090 | 0.851 | 0.001 | 0.062 | 0.849 | 0.001 | 0.054 | |||
| 0.153 | 0.003 | 0.017 | 0.151 | 0.001 | 0.011 | 0.151 | 0.001 | 0.010 | |||
| 1.225 | 0.075 | 0.338 | 1.172 | 0.022 | 0.218 | 1.176 | 0.026 | 0.196 | |||
| Distribution | Reference |
|---|---|
| Kumaraswamy-Fréchet (KwFr) | [24] |
| Kumaraswamy -Exponential (KwE) | [25] |
| Gamma-Fréchet (GFr) | (-) |
| Gamma-Exponentital (GE) | [26] |
| Beta-Exponentital (BE) | [27] |
| Fréchet (Fr) | [28] |
| Variable | Min. | Max. | Mean | Median | SD | Skewness | Kurtosis | |||||||
|---|---|---|---|---|---|---|---|---|---|---|---|---|---|---|
| DG | 277 | 6726 | 1483 | 752 | 1445.35 | 1.509 | 4.998 |
| Model | Parameters | KS | ||||||||||||
|---|---|---|---|---|---|---|---|---|---|---|---|---|---|---|
| GOLLE() | 0.154 | 76.500 | 5.402 | 0.060 | 0.400 | 0.077 | ||||||||
| (0.018) | (0.019) | (0.003) | (0.914) | |||||||||||
| OLLE() | 1.180 | 1 | 0.634 | 0.318 | 1.929 | 0.160 | ||||||||
| (0.142) | (-) | (0.086) | (0.145) | |||||||||||
| EE() | 1 | 1.391 | 0.830 | 0.313 | 1.898 | 0.175 | ||||||||
| (-) | (0.284) | (0.147) | (0.088) | |||||||||||
| E() | 1 | 1 | 0.674 | 0.316 | 1.913 | 0.170 | ||||||||
| (-) | (-) | (0.096) | (0.103) | |||||||||||
| KwFr() | 3.851 | 51.070 | 0.172 | 0.271 | 0.087 | 0.559 | 0.097 | |||||||
| (1.409) | (71.389) | (0.060) | (0.008) | (0.705) | ||||||||||
| KwE() | 4.500 | 0.151 | 5.402 | 0.242 | 1.482 | 0.205 | ||||||||
| (0.005) | (0.022) | (0.003) | (0.028) | |||||||||||
| GFr() | 0.465 | 0.777 | 0.225 | 0.128 | 0.830 | 0.120 | ||||||||
| (0.082) | (0.142) | (0.039) | (0.443) | |||||||||||
| BE() | 3.027 | 0.150 | 5.402 | 0.253 | 1.548 | 0.197 | ||||||||
| (0.1.054) | (0.023) | (0.003) | (0.038) | |||||||||||
| GE() | 1.323 | 0.892 | 0.317 | 1.917 | 0.173 | |||||||||
| (0.241) | (0.197) | (0.096) | ||||||||||||
| Fr(a,b) | 1.791 | -0.281 | 0.235 | 1.449 | 0.173 | |||||||||
| (0.285) | (0.076) | (0.094) | ||||||||||||
| Models | Statistic w | p-value |
|---|---|---|
| GOLLE vs E | 29.657 | < 0.0001 |
| GOLLE vs EE | 27.143 | < 0.0001 |
| GOLLE vs OLLE | 27.937 | < 0.0001 |
| Model | Parameters | KS | ||||||||||
|---|---|---|---|---|---|---|---|---|---|---|---|---|
| LGOLLE() | 0.1517 | 78.7499 | 5.2352 | 0.054 | 0.3664 | 0.0862 | ||||||
| (0.0178) | (0.0274) | (0.0034) | (0.8293) | |||||||||
| LOLLE() | 1.1798 | 1 | 7.3631 | 0.3184 | 1.9289 | 0.1601 | ||||||
| (0.1423) | (-) | (0.1353) | (0.1453) | |||||||||
| LEE() | 1 | 1.3911 | 7.0935 | 0.3132 | 1.8975 | 0.1750 | ||||||
| (-) | (0.2839) | (0.1769) | (0.0879) | |||||||||
| LE() | 1 | 1 | 7;3019 | 0.3161 | 1.9131 | 0.1704 | ||||||
| (-) | (-) | (0.1429) | (0.1032) | |||||||||
| Models | Statistic w | p-value |
|---|---|---|
| LGOLLE vs LE | 29.650 | < 0.0001 |
| LGOLLE vs LEE | 27.136 | < 0.0001 |
| LGOLLE vs LOLLE | 27.930 | < 0.0001 |
| Parameter | Estimate | SE | p-value | |||
|---|---|---|---|---|---|---|
| -15.7495 | 0.6398 | <0.0001 | ||||
| (Fev) | -0.5511 | 0.1836 | <0.0049 | |||
| (Mar) | -1.0827 | 0.1909 | <0.0001 | |||
| (Apr) | -1.6788 | 0.1764 | <0.0001 | |||
| (May) | -1.7125 | 0.1822 | <0.0001 | |||
| (Jun) | -1.4393 | 0.2262 | <0.0001 | |||
| (Jul) | 0.3091 | 0.1935 | <0.1192 | |||
| (Ago) | -0.5881 | 0.2006 | <0.0059 | |||
| (Sep) | -0.4623 | 0.1723 | <0.0110 | |||
| (Oct) | -0.5778 | 0.1776 | <0.0025 | |||
| (Nov) | -0.5749 | 0.1802 | <0.0030 | |||
| (Dec) | -0.1612 | 0.1928 | <0.4088 | |||
| 47.1443 | 6.4074 | - | ||||
| 0.0751 | 0.0054 | - |
Disclaimer/Publisher’s Note: The statements, opinions and data contained in all publications are solely those of the individual author(s) and contributor(s) and not of MDPI and/or the editor(s). MDPI and/or the editor(s) disclaim responsibility for any injury to people or property resulting from any ideas, methods, instructions or products referred to in the content. |
© 2024 by the authors. Licensee MDPI, Basel, Switzerland. This article is an open access article distributed under the terms and conditions of the Creative Commons Attribution (CC BY) license (http://creativecommons.org/licenses/by/4.0/).