Preprint
Article

This version is not peer-reviewed.

Dynamics of Rumour Spread with Moral Etiquette Class

Submitted:

02 July 2024

Posted:

04 July 2024

You are already at the latest version

Abstract
Investigation into a modified deterministic rumour spread model using mathematical epidemiology approach as an extension of Daley and Kendall (D-K) model was carried out. It is proven that the spread of a rumour is fairly comparable to a contagious disease transmission, except that the spread depends solely on the fraction of individuals who are aware of the rumour at the early stage as well as the intrinsic rumour spread rate . Model simulation reveals a rumour diminishing strategy so far as is maintained.
Keywords: 
;  ;  ;  ;  

1. Introduction

As quest for solution to addressing social problems increased by way of applied mathematics, a notable field called Mathematical Sociology has emerged. Very recently, a good number of scholars have investigated a wide range of social phenomenon using mathematical and computational models; the outcome resulted into formulation of various theories about rumour and other social science related issues by both applied mathematicians and social scientists [1]. Rumour is a generally circulated story, report or statement without facts to confirm its truth; it is like a virus, once it is transmitted to an individual, an outbreak of events happen in a short period of time. People who diffuse rumours may have different purposes, such as slandering others, increasing awareness, diverting attention, and so on [2]. It is thus thought that spreading a rumour is like a contagious disease that does not need more than a few infected individuals to infect the entire population [3]. If a rumour starts in a population, sooner or later everyone will know it.
More often than not the concept of mathematical epidemiology is being employed for addressing sociological problems, most especially, the issues patterning to crime, corruption and rumour. Wang and Wood [4] adopted this approach when attempting to model viral meme propagation. So also did Zhao et al. [5] for exploring the interplay of authorities, information, rumour dissemination and the evolution of emergency, aiming to give more insights into the effectiveness of strategies for rumour management, hence the need to explore more about it. The significant of studying the dynamics of rumours spread and meme ideas lies in the understanding of ways to change perception, to persuade others, to generate predictions regarding social issues, to predict what the public may find interesting in future, and to influence decision making and public opinion. Thus, in this article, we aimed to find a qualitative behaviour of a simple rumour model as well as the dynamics of rumour spread with moral etiquette class.
Even though it appears in the time past that the use of epidemiological modelling in addressing rumour spreading has yielded good results, yet reviewing the fundamental assumptions concerning spreading of rumour, in the light of present-day reality, will proffer better results. That is why we seek to modify a model proposed by Al-Amoudi et al. [3] by bringing into cognisance an essential but seemly unaccounted state variable - moral etiquette class. Particularly we noted that, under normal circumstances, not all individuals who are aware of a rumour that will keep spreading it before becoming stiflers; this is so perhaps due to religious belief, psychosocial status or moral etiquette. That is the reason why we seek to equally extend the Daley and Kendall (D-K) as reported in Cintron-Arias [6] by adding moral etiquette class, especially within the African context. But unlike D-K model, we first consider a simple rumour model and later build up a deterministic model of a system of nonlinear ordinary differential equations. Therefore, just like [7], the rumour spreading problem we considered is more similar to the “hearsay” which is inconvenient or not allowed to be spread openly, but can only be transmitted privately through human to human transmission.

2.1. Model Formulation

Firstly, we proposed a simple nonlinear rumour model and study its qualitative long term behaviour. This type of model for rumour spread asserts that, the rate of spread is proportional to the product of the fraction y ( t ) of the population who heard the rumour and the other fraction 1 y ( t ) who did not hear the rumour. Secondly, we partitioned the population P ( t ) into four disjoint classes of individuals according to their respective participation in the rumour. The uninformed class U ( t ) , describing people who are ignorant of the rumour. The spreader class S ( t ) , referring to those individuals who are aware of the rumour and do talk about it during social interactions. The stifler class V ( t ) , denotes those individuals who knew about the rumour but have ceased spreading because they coincide with other spreaders. And M ( t ) the moral etiquette class, it refers to the fraction of the population who might be aware of the rumour but have no tendency of talk about it. Hence, it follows therefore that:
P ( t ) = U ( t ) + S ( t ) + V ( t ) + M ( t )

2.2. Model Assumptions

As with any mathematical modelling activity, various assumptions about the underlying phenomena must be made. So, we wish to clearly state some essential assumptions that guided the model formulation:
  • Due to religious belief and/or psychosocial status, members of moral etiquette class will not spread a rumour.
  • Whenever spreaders coincide each other, they assumed everyone must have heard the rumour; hence they will lost interest at some rate κ and join stiflers class.
  • There is no penalty for rumour spread, and rumour can only be spread in accordance with law of mass action in the course of social interactions.
  • There is a tendency that an uninformed individual or stifler could join the moral etiquette class as result of change in psychosocial class or just social interaction.
  • On average, a proportion of the individual θ recruited into the population are uninformed and without sound moral values, where as the remaining few ( 1 θ ) enter into the moral etiquette class.
The model parameters accounted for include σ 1 the rate at which uninformed class joins the moral etiquette class. We assigned κ to be the rate at which spreaders become stiflers by contacting with each other. In addition, the birth rate is Λ and μ the death rate, there is negligible rate of emigration and immigration. The rate at which uninformed individuals change their class is β where β = α c such that c is the average number of contact per unit time and α is the probability of spreading a rumour. The rate of interaction between stiflers and spreaders is γ while σ 2 is the rate of contacts between stiflers and moral etiquette class. Therefore, taking the above state variables, parameters and assumptions, we derive a rumour spread model consisting of a system of nonlinear ordinary deferential equations as follows:
U ' ( t ) = θ Λ β S ( t ) U ( t ) ( σ 1 + μ ) U ( t )
S ' ( t ) = β S ( t ) U ( t ) κ S 2 ( t ) γ V ( t ) + μ S ( t )
V ' ( t ) = κ S 2 ( t ) σ 2 M ( t ) + μ γ S ( t ) V ( t )
M ' ( t ) = ( 1 θ ) Λ + σ 1 U ( t ) + σ 2 V ( t ) μ M ( t )

3.1. Model Analysis

From the first instance, if y ( t ) denotes the fraction of the population who have heard the rumour, then 1 y ( t ) represents the fraction of the population who haven’t heard the rumour. Consequently, the rate of spread of the rumour y ' ( t ) being proportional to the product of the fraction y ( t ) of the population who heard the rumour and the fraction who did not hear the rumour can then be rewritten as:
d y d t = λ y ( 1 y )
for some positive constant λ . It is obvious, that this model could be acknowledged as a logistic equation (or Verhulst model), with intrinsic rumour spread rate of λ . For the purpose of solution, equation (1.6) should be treated as separable differential equation. Therefore, we solve it by separation of the variables:
d y y ( 1 y ) = λ d t
Then, integrate
d y y ( 1 y ) = λ d t I n y ( 1 y ) = λ t + c
Exponentiating, we get:
y 1 y = e λ t + c
Denoting e c by K , and taking into account that y ( 0 , 1 ) we get:
y 1 y = K e λ t = K e λ t 1
Adding the numerators to the denominators in the above equality of fractions, we obtain:
y = y ( 1 y ) + y = K e λ t 1 + K e λ t
y ( t ) = K e λ t 1 + K e λ t   for   t 0

3.2. Insight into Rumour Spread

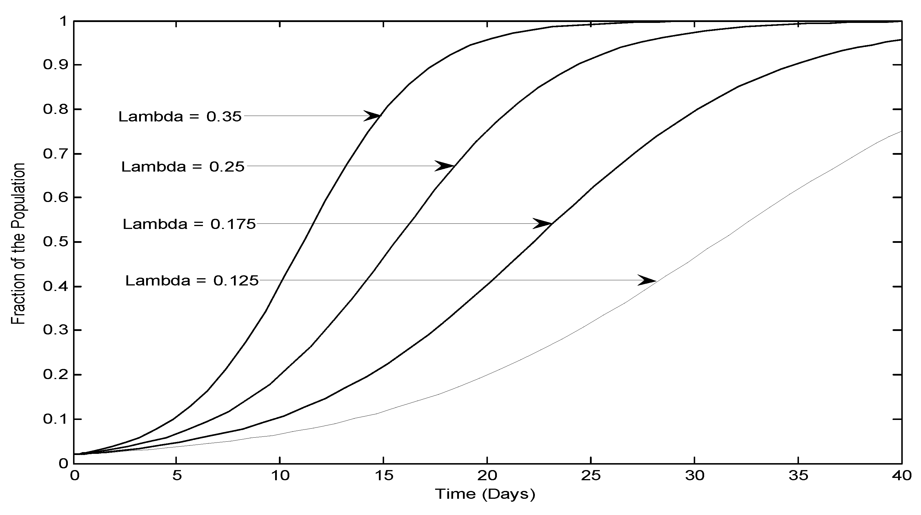
In order to study the long term qualitative behaviour of equation (1.7), we plot the numerical solution of model assuming a fraction of 1 50 of the population (i.e., 2%) being rumour spreaders at a rate λ = 0.125 ,   λ = 0.175 ,   λ = 0.25 and λ = 0.35 for the time interval of 40 days. The results of the simulation could be seen on Figure 1.
We now focus on the dynamics of rumour spreads i.e., from equation (1.1) with the population P ( t ) partitioned into four disjoint classes.

3.3. Stability Analysis

Setting the LHS of equation (1.2) - (1.5) to zero and solving the resulting nonlinear system for U * , S * , V * , M * , we obtain two Rumour-Free Equilibrium (RFE) states as follows:
U * , S * , V * , M * 1 = θ Λ σ 1 + μ , 0 , 0 , Λ ( μ + σ 1 θ μ ) μ ( μ + σ 1 ) U * , S * , V * , M * 2 = θ Λ σ 1 + μ , 0 , μ 3 + μ 2 σ 1 + μ σ 2 Λ ( 1 θ ) + σ 1 Λ σ 2 μ σ 2 ( σ 1 + μ ) , μ σ 2
We observe that the second RFE U * , S * , V * , M * 2 state has no biological meaning because all the parameters are inherently assumed to be non-negative; therefore we base our analysis on the first RFE U * , S * , V * , M * 1 state provided that ( μ + σ 1 ) θ μ
Theorem:The RFE state, θ Λ σ 1 + μ , 0 , 0 , Λ ( μ + σ 1 θ μ ) μ ( μ + σ 1 ) for the system of nonlinear ODE (1.2) to (1.5) is Locally Asymptotically Stable (LAS) provided the inequality β θ Λ μ ( μ + σ 1 ) and ( Λ μ σ 2 + Λ σ 1 σ 2 + μ 3 + μ 2 σ 1 ) μ θ Λ σ 2 hold.
Proof:
The Jacobian matrix for the system (1.2) – (1.5) evaluated at the RFE state is obtained as:
J U * , S * , V * , M * 1 = ( μ + σ 1 ) β Λ θ ( μ + σ 1 ) 0 0 0 β Λ θ ( μ + σ 1 ) μ 0 0 0 0 σ 2 Λ ( μ θ μ σ 1 ) ( μ + σ 1 ) μ 0 σ 1 0 σ 2 Λ ( μ θ μ σ 1 ) ( μ + σ 1 ) μ
The characteristic polynomial is obtained after employing the Gaussian elimination technique on the Jacobian matrix.
Ψ ( ω ) = ( μ + σ 1 ) ω β Λ θ ( μ + σ 1 ) 0 0 0 Λ β θ μ 2 μ σ 1 ( μ + σ 1 ) ω 0 0 0 0 Λ μ θ σ 2 Λ μ σ 2 Λ σ 1 σ 2 μ 3 μ 2 σ 1 μ ( μ + σ 1 ) ω 0 0 0 0 μ ω = 0
The eigenvalues are as follows: ω 1 = μ ,   ω 2 = ( μ + σ 2 ) , ω 3 = Λ β θ μ ( μ + σ 1 ) ( μ + σ 1 ) and ω 4 = Λ μ θ σ 2 ( Λ μ σ 2 + Λ σ 1 σ 2 + μ 3 + μ 2 σ 1 ) μ ( μ + σ 1 ) .
Clearly ω i ,   i = 1 , 2 satisfy the negativity requirement for asymptotic stability of the RFE. Thus, if the inequality β θ Λ μ ( μ + σ 1 ) holds, then ω 3 satisfies the requirement; and lastly, ω 4 will equally suit the negativity requirement on the event that the parameters values satisfies ( Λ μ σ 2 + Λ σ 1 σ 2 + μ 3 + μ 2 σ 1 ) μ θ Λ σ 2 .

3.4. Basic Reproductive Number

The basic reproductive number is derived using the omega non-dependant term of the characteristic polynomial of the Jacobian matrix evaluated at U * , S * , V * , M * 1 . The omega non-dependant term is μ σ 1 + μ M ( t ) σ 2 + μ β U ( t ) μ . By algebraic simplification, we obtained R 0 = β U * μ where     U * = θ Λ μ + σ 1 . Therefore, the basic reproductive number is R 0 = β θ Λ μ ( μ + σ 1 ) . The single term β denote the probability of rumour to be spread per contact, the term θ Λ μ is the number of contacts per unit time and the term 1 ( μ + σ 1 ) is the duration that a spreader will circulate a rumour.

4. Results and Discussion

The initial condition U ( t 0 ) , S ( t 0 ) , V ( t 0 ) , M ( t 0 ) = 0.80 ,   0.02 ,   0.08 ,   0.10 was used for the result computation, and the parameters estimated value for the simulation of Figure 2 and Figure 3 are θ = 0.8 ,   σ 1 = 0.05 ,   σ 2 = 0.02 ,   μ = 0.01 ,   κ = 0.01 ,   γ = 0.5 , and Λ = 0.05 in that order. We considered only two principal classes that seem to matter most in the dynamics of rumour spread - that is the spreaders’ class and newly introduced compartment called the moral etiquette class. The results of the model simulation could be seen on Figure 2 and Figure 3 respectively.
Figure 1 points out to the fact that rumour spread is somewhat similar to a transmission dynamics of an infectious disease, once it starts in a population, unless or otherwise controlled, it will get to everyone. The plots further show the speediness of how fast or slow a rumour circulates a population depending on the rate λ , that is rumour spread intrinsic rate as well as the initial condition y ( t 0 ) , which is the fraction of individuals who are aware of the rumour at the early stage.
On the other hand, the dynamics of the spread of rumour become controllable by Figure 2 plots; it asserts that, the spreaders could be wipe away if R 0 < 1 is maintained. Since the plots on Figure 2 indicate a good possibility of controlling rumour provided β , the probability of spread is reduced, it implies therefore that the lower the value of β the easier it is tract rumour spread. On Figure 3 the plots suggest that, as rumour is being controlled, moral etiquette class will tend to a steady state depending on the rate of contact between uninformed class and the spreader’ class. It gives an idea about the moral etiquette class that they will be affected in the course of rumour spread by the rate contacts between uninformed individuals and the spreaders’ class.

5. Conclusion

Rumour spread behaves similar with a dynamics of a contagious disease; however, the rate of rumour spread depends largely on intrinsic rumour spread rate and the fraction of individuals who are aware of the rumour at the early stage. In addition, the result the modified deterministic model of a system of nonlinear ordinary deferential equations reveals that by lowering the value of β (i.e the probability communicating a rumour on average number of contacts per day), the easier it will be to control rumour spread provided R 0 < 1 is maintained.

References

  1. Rabajante, J. and Umali, R.E. (2011). A Mathematical Model of Rumor Propagation for Disaster Management. Journal of Nature Studies 10 (2): 61-70.
  2. Hu, Y.; Pan, Q.; Hou, W.; He, M. Rumor spreading model with the different attitudes towards rumors. Phys. A: Stat. Mech. its Appl. 2018, 502, 331–344. [Google Scholar] [CrossRef]
  3. Al-Amoudi, R.; Al-Sheikh, S.; Al-Tuwairqi, S. Qualitative Behavior of Solutions to a Mathematical Model of Memes Transmission. Int. J. Appl. Math. Res. 2013, 3. [Google Scholar] [CrossRef]
  4. Wang, L.; Wood, B.C. An epidemiological approach to model the viral propagation of memes. Appl. Math. Model. 2011, 35, 5442–5447. [Google Scholar] [CrossRef]
  5. L. Zaho, Q. L. Zaho, Q. Wang, J. Cheng, D. Zhang, T. Ma, Y. Chen, and J. Wang, The impact of authorities media and rumour dissemination on the evolution of emergency, Physica A: Statistical Mechanics and its Applications, Volume 391, Issue 15 (2012) 3978-3987.
  6. Cintron-Arias, (2006). Modelling and parameter estimation of contact processes, Ph.D. thesis, Cornell University.
  7. Hu, Y.; Pan, Q.; Hou, W.; He, M. Rumor spreading model considering the proportion of wisemen in the crowd. Phys. A: Stat. Mech. its Appl. 2018, 505, 1084–1094. [Google Scholar] [CrossRef]
Figure 1. The Result of a Simple Rumour Spread.
Figure 1. The Result of a Simple Rumour Spread.
Preprints 111067 g001
Figure 2. The Dynamics of Rumour Spread of Spreaders’ Class.
Figure 2. The Dynamics of Rumour Spread of Spreaders’ Class.
Preprints 111067 g002
Figure 3. The Dynamics of Rumour Spread of Moral Etiquette’s Class.
Figure 3. The Dynamics of Rumour Spread of Moral Etiquette’s Class.
Preprints 111067 g003
Disclaimer/Publisher’s Note: The statements, opinions and data contained in all publications are solely those of the individual author(s) and contributor(s) and not of MDPI and/or the editor(s). MDPI and/or the editor(s) disclaim responsibility for any injury to people or property resulting from any ideas, methods, instructions or products referred to in the content.
Copyright: This open access article is published under a Creative Commons CC BY 4.0 license, which permit the free download, distribution, and reuse, provided that the author and preprint are cited in any reuse.
Prerpints.org logo

Preprints.org is a free preprint server supported by MDPI in Basel, Switzerland.

Subscribe

Disclaimer

Terms of Use

Privacy Policy

Privacy Settings

© 2026 MDPI (Basel, Switzerland) unless otherwise stated