Submitted:
03 July 2024
Posted:
03 July 2024
You are already at the latest version
Abstract
Keywords:
1. Introduction
2. Preliminary
2.1. Algebraic Graph Theory
2.2. Linear Time-Varying System
2.3. Several Inequalities
3. Event-Triggered Consensus for General Linear Time-Varying Multi-Agent Systems
3.1. Event-Triggered Consensus Control
3.2. Consensus Analysis
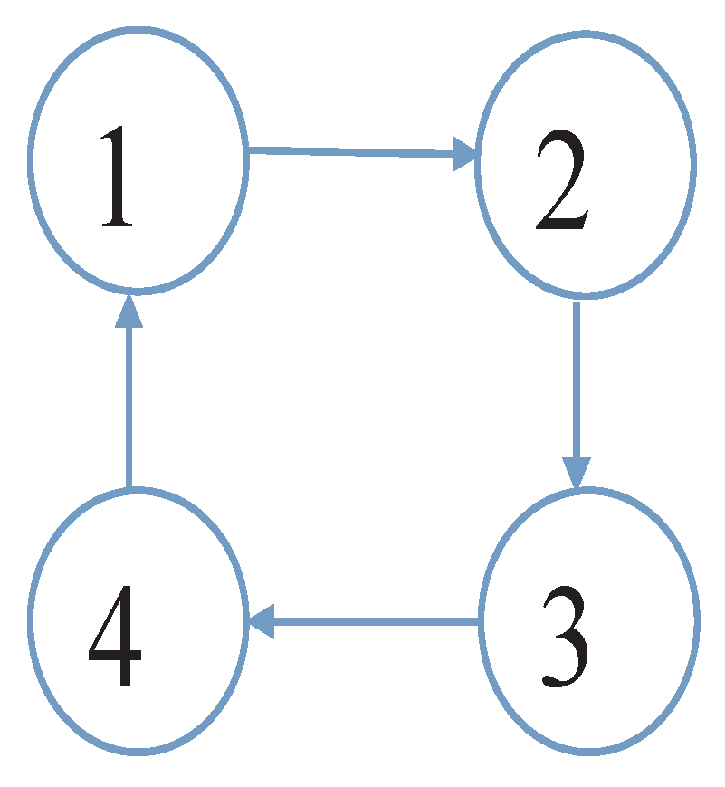
4. Applications to Event-Triggered Consensus of Linear Time-Varying Multi-Agent Systems Having a Spanning Tree
4.1. Event-Triggered Control Design
4.2. Proof of Theorem 2
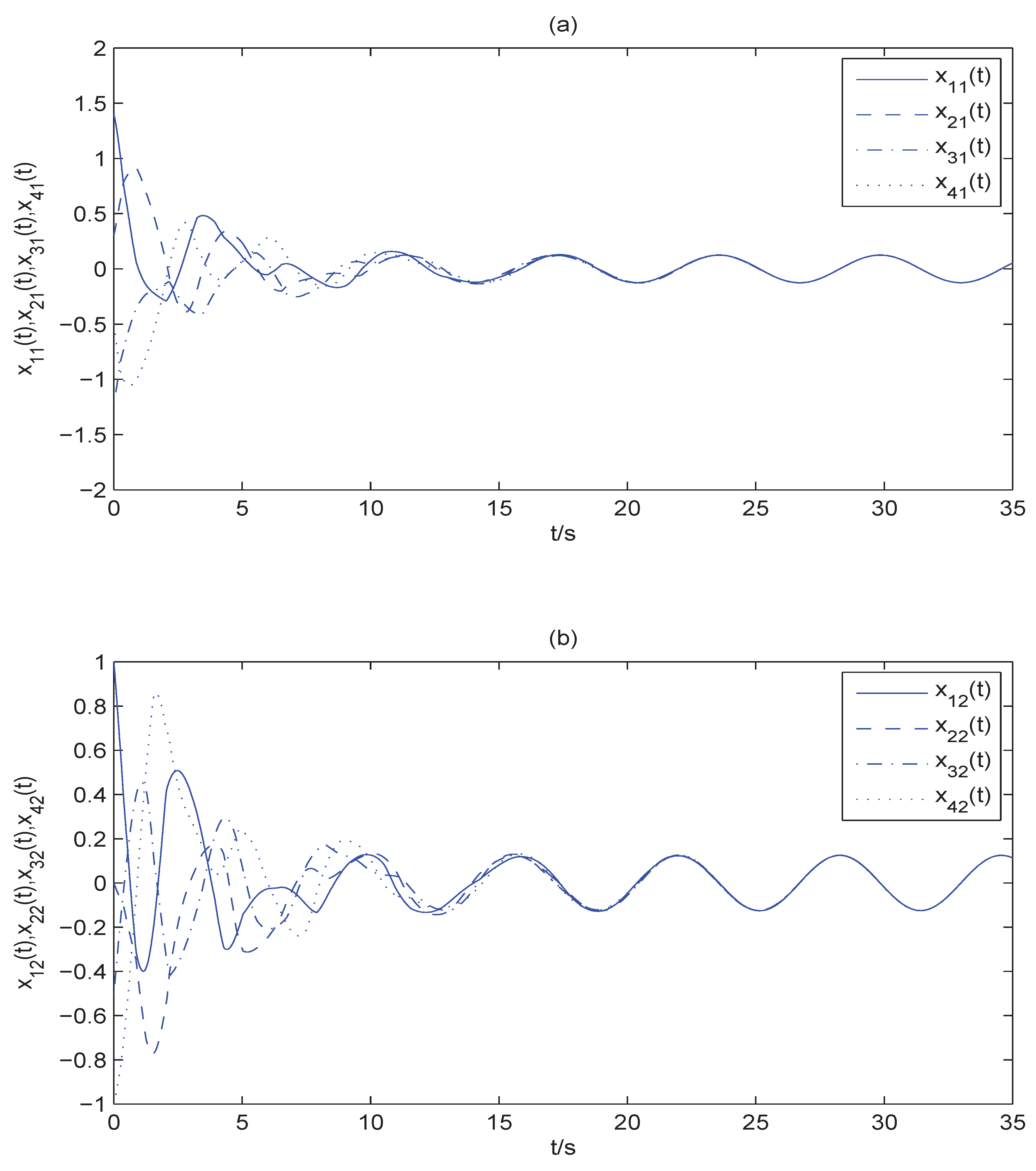
4.3. Simulation Example
5. Conclusions
Author Contributions
Funding
Conflicts of Interest
Appendix A. PROOF OF LEMMA 6
Appendix B. PROOF OF LEMMA 7
References
- Liu, Q.; Wang, Z.; He, X.; Zhou, D. A survey of event-based strategies on control and estimation. Systems Science & Control Engineering: An Open Access Journal 2014, 2, 90–97. [Google Scholar]
- Luo, Y.; Xiao, X.; Cao, J.; Li, A.; Lin, G. Event-triggered guaranteed cost consensus control for second-order multi-agent systems based on observers. Information Sciences 2021, 546, 283–297. [Google Scholar] [CrossRef]
- Phillips, C. L.; Harbor, R. D. Feedback control systems, Simon & Schuster: 1995.
- Anta, A.; Tabuada, P. To sample or not to sample: Self-triggered control for nonlinear systems. IEEE Transactions on Automatic Control 2010, 55, 2030–2042. [Google Scholar] [CrossRef]
- Tabuada, P. Event-triggered real-time scheduling of stabilizing control tasks. Journal Abbreviation 2007, 52, 1680–1685. [Google Scholar] [CrossRef]
- Cai, J.; Yu, R.; Wang, B.; Mei, C.; Shen, L. Decentralized event-triggered control for interconnected systems with unknown disturbances. Journal of the Franklin Institute 2020, 357, 1494–1515. [Google Scholar] [CrossRef]
- Xiao, X.; Zhou, L.; Ho, D. W. C.; Lu, G. Event-triggered control of continuous-time switched linear systems. IEEE Transactions on Automatic Control 2019, 64, 1710–1717. [Google Scholar] [CrossRef]
- Tallapragada, P.; Chopra, N. On event triggered tracking for nonlin- ear systems. IEEE Transactions on Automatic Control 2013, 58, 2343–2348. [Google Scholar] [CrossRef]
- Heemels, W. P. M. H.; Donkers, M. C. F.; Teel, A. R. Periodic event- triggered control for linear systems. IEEE Transactions on Automatic Control 2013, 58, 847–861. [Google Scholar] [CrossRef]
- Liu, T.; Jiang, Z. P. A small-gain approach to robust event-triggered control of nonlinear systems. IEEE Transactions on Automatic Control 2015, 60, 2072–2085. [Google Scholar] [CrossRef]
- Garcia, E.; Antsaklis, P. J. Model-based event-triggered control for systems with quantization and time-varying network delays. IEEE Transactions on Automatic Control 2013, 58, 422–434. [Google Scholar] [CrossRef]
- Wang, X.; Lemmon, M. D. Event-triggering in distributed networked control systems. IEEE Transactions on Automatic Control 2011, 56, 586–601. [Google Scholar] [CrossRef]
- Dolk, V. S.; Tesi, P.; De Persis, C.; Heemels, W. P. M. H. Event-triggered control systems under denial-of-service attacks. IEEE Transactions on Control of Network Systems 2017, 4, 93–105. [Google Scholar] [CrossRef]
- Li, Y. X.; Yang, G. H. Model-based adaptive event-triggered control of strict-feedback nonlinear systems. IEEE transactions on neural networks and learning systems 2017, 29, 1033–1045. [Google Scholar] [CrossRef] [PubMed]
- Molin, A.; Hirche, S. On the optimality of certainty equivalence for event-triggered control systems. IEEE Transactions on Automatic Control 2013, 58, 470–474. [Google Scholar] [CrossRef]
- Liu, Y.; Yang, G. H. Event-triggered distributed state estimation for cyber-physical systems under dos attacks. IEEE Transactions on Cybernetics 2020, 52, 3620–3631. [Google Scholar] [CrossRef]
- Li, Y. X.; Yang, G. H. Event-triggered adaptive backstepping control for parametric strict-feedback nonlinear systems. International Journal of Robust and Nonlinear Control 2018, 28, 976–1000. [Google Scholar] [CrossRef]
- Ren, W.; Beard, R. Distributed Consensus in Multi-vehicle Cooperative Control: Theory and Applications; Springer: London, UK, 2008. [Google Scholar]
- Olfati-Saber, R.; Fax, J. A.; Murray, R. M. Consensus and cooperation in networked multi-agent systems. Proceedings of the IEEE 2007, 95, 215–233. [Google Scholar] [CrossRef]
- Mesbahi, M.; Egerstedt, M. Graph Theoretic Methods in Multiagent Networks; Princeton University Press: Princeton, NJ, USA, 2010. [Google Scholar]
- Yu, C.; Wang, X.; Xu, X.; Zhang, M.; Ge, H.; Ren, J.; Sun, L.; Chen, B.; Tan, G. Distributed multiagent coordinated learning for autonomous driving in highways based on dynamic coordination graphs. IEEE Transactions on Intelligent Transportation Systems 2019, 21, 735–748. [Google Scholar] [CrossRef]
- Jin, L.; Li, S.; Luo, X.; Li, Y.; Qin, B. Neural dynamics for cooperative control of redundant robot manipulators. IEEE Transactions on Industrial Informatics 2018, 14, 3812–3821. [Google Scholar] [CrossRef]
- Li, W.; Zhang, H.; Wang, W.; Cao, Z. Fully distributed event-triggered time-varying formation control of multi-agent systems subject to mode-switching denial-of-service attacks. Applied Mathematics and Computation 2022, 414, 126645. [Google Scholar] [CrossRef]
- Dimarogonas, D. V.; Frazzoli, E.; Johansson, K. H. Distributed event-triggered control for multi-agent systems. IEEE Transactions on Automatic Control 2012, 57, 1291–1297. [Google Scholar] [CrossRef]
- Fan, Y.; Feng, G.; Wang, Y.; Song, C. Distributed event-triggered control of multi-agent systems with combinational measurements. Automatica 2013, 49, 671–675. [Google Scholar] [CrossRef]
- Garcia, E.; Cao, Y.; Casbeer, D. W. Decentralized event-triggered consensus with general linear dynamics. Automatica 2014, 50, 2633–2640. [Google Scholar] [CrossRef]
- Zhu, W.; Zhang, Z.; Feng, G. Event-based consensus of multi-agent systems with general linear models. Automatica 2014, 50, 552–558. [Google Scholar] [CrossRef]
- Zhu, W.; Jiang, Z. P. Event-based leader-following consensus of multi-agent systems with input time delay. IEEE Transactions on Automatic Control 2015, 60, 1362–1367. [Google Scholar] [CrossRef]
- Zhang, H.; Feng, G.; Yan, H.; Chen, Q. Observer-based output feedback event-triggered control for consensus of multi-agent systems. IEEE Transactions on Industrial Electronics 2014, 61, 4885–14894. [Google Scholar] [CrossRef]
- Yu, H.; Antsaklis, P. J. Output synchronization of networked passive systems with event-driven communication. IEEE Transactions on Automatic Control 2014, 59, 750–756. [Google Scholar] [CrossRef]
- Meng, X.; Chen, T. Event based agreement protocols for multi-agent networks. Automatica 2013, 49, 2125–2132. [Google Scholar] [CrossRef]
- Guo, G.; Ding, L.; Han, Q. L. A distributed event-triggered transmission strategy for sampled-data consensus of multi-agent systems. Automatica 2008, 10, 142–149. [Google Scholar] [CrossRef]
- Cao, M.; Xiao, F.; Wang, L. Second-order leader-following consensus based on time and event hybrid-driven control. Systems & Control Letters 2014, 50, 1489–1496. [Google Scholar] [CrossRef]
- Seyboth, G. S.; Dimarogonas, D. V.; Johansson, K. H. Event-based broadcasting for multi-agent average consensus. Automatica 2013, 49, 245–252. [Google Scholar] [CrossRef]
- Elahi, A.; Alfi, A.; Modares, H. H∞ consensus control of discrete-time multi-agent systems under network imperfections and external disturbance. IEEE/CAA Journal of Automatica Sinica 2019, 6, 667–675. [Google Scholar] [CrossRef]
- Li, L.; Ho, D.; Xu, S. A distributed event-triggered scheme for discrete-time multi-agent consensus with communication delays. IET Control Theory and Applications 2014, 8, 830–837. [Google Scholar] [CrossRef]
- Jetto, L.; Orsini, V. A new event-driven output-based discrete-time control for the sporadic mimo tracking problem. International Journal of Robust and Nonlinear Control 2014, 24, 859–875. [Google Scholar] [CrossRef]
- Mahmoud, M. S.; Karaki, B. J. Output-synchronization of discrete-time multiagent systems: A cooperative event-triggered dissipative approach. IEEE Transactions on Network Science and Engineering 2021, 8, 114–125. [Google Scholar] [CrossRef]
- Tuna, S. E. Sufficient conditions on observability grammian for synchronization in arrays of coupled linear time-varying systems. IEEE Transactions on Automatic Control 2010, 55, 2586–2590. [Google Scholar] [CrossRef]
- Wu, Y.; Meng, X.; Xie, L.; Lu, R.; Su, H.; Wu, Z. G. An input-based triggering approach to leader-following problems. Automatica 2017, 75, 221–228. [Google Scholar] [CrossRef]
- Cheng, T. H.; Kan, Z.; Klotz, J. R.; Shea, J. M.; Dixon, W. E. Event- triggered control of multiagent systems for fixed and time-varying network topologies. IEEE Transactions on Automatic Control 2017, 62, 5365–5371. [Google Scholar] [CrossRef]
- Wu, Z. G.; Xu, Y.; Lu, R.; Wu, Y.; Huang, T. Event-triggered control for consensus of multiagent systems with fixed/switching topologies. IEEE Transactions on Systems, Man, and Cybernetics: Systems 2018, 48, 1736–1746. [Google Scholar] [CrossRef]
- Yang, R.; Zhang, H.; Feng, G.; Yan, H.; Wang, Z. Robust cooperative output regulation of multi-agent systems via adaptive event-triggered control. Automatica 2019, 102, 129–136. [Google Scholar] [CrossRef]
- Koike, R.; Endo, T.; Matsuno, F. Output-based dynamic event-triggered consensus control for linear multiagent systems. Automatica 2021, 133, 109863. [Google Scholar] [CrossRef]
- Adaldo, A.; Alderisio, F.; Liuzza, D.; Shi, G.; Dimarogonas, D. V.; di Bernardo, M.; Johansson, K. H. Event-triggered pinning control of switching networks. IEEE Transactions on Control of Network Systems 2015, 2, 204–213. [Google Scholar] [CrossRef]
- Xie, D.; Xu, S.; Chu, Y.; Yun, Z. Event-triggered average consensus for multi-agent systems with nonlinear dynamics and switching topology. Journal of the Franklin Institute 2015, 352, 1080–1098. [Google Scholar] [CrossRef]
- Yang, Q.; Li, X.; Li, J. Output consensus for networked heterogeneous nonlinear multi-agent systems by distributed event-triggered control. International Journal of Control 2021, 1–14. [Google Scholar] [CrossRef]
- Wang, Y.W.; Lei, Y.; Bian, T.; Guan, Z. H. Distributed control of nonlinear multiagent systems with unknown and nonidentical control directions via event-triggered communication. IEEE Transactions on Cybernetics 2020, 50, 1820–1832. [Google Scholar] [CrossRef]
- Liuzza, D.; Dimarogonas, D. V.; di Bernardo, M.; Johansson, K. H. Distributed model based event-triggered control for synchronization of multi-agent systems. Automatica 2016, 73, 1–17. [Google Scholar] [CrossRef]
- Wang, L.; Wang, Z.; Wei, G.; Alsaadi, F. E. Observer-based consen- sus control for discrete-time multiagent systems with coding-decoding communication protocol. IEEE Transactions on Cybernetics 2008, 10, 142–149. [Google Scholar]
- Yuan, S.; Yu, C.; Sun, J. Adaptive event-triggered consensus control of linear multi-agent systems with cyber attacks. Neurocomputing 2019, 12, 4335–4345. [Google Scholar] [CrossRef]
- Ioannou, P.; Fidan, B. Adaptive Control Tutorial(P. Ioannou et al.; 2006) [Bookshelf]; SIAM: Philadelphia, USA, 2004. [Google Scholar]
- Chen, W.; Wen, C.; Hua, S.; Sun, C. Distributed cooperative adaptive identification and control for a group of continuous-time systems with a cooperative pe condition via consensus. IEEE Transactions on Automatic Control 2014, 59, 91–106. [Google Scholar] [CrossRef]
- Loria, A.; Panteley, E. Uniform exponential stability of linear time- varying systems: revisited. Systems & Control Letters 2002, 47, 13–24. [Google Scholar] [CrossRef]
- Li, Z.; Duan, Z.; Chen, G.; Huang, L. Consensus of multiagent systems and synchronization of complex networks: A unified viewpoint. IEEE Transactions on Circuits & Systems I: Regular Papers 2010, 57, 213–224. [Google Scholar] [CrossRef]




Disclaimer/Publisher’s Note: The statements, opinions and data contained in all publications are solely those of the individual author(s) and contributor(s) and not of MDPI and/or the editor(s). MDPI and/or the editor(s) disclaim responsibility for any injury to people or property resulting from any ideas, methods, instructions or products referred to in the content. |
© 2024 by the authors. Licensee MDPI, Basel, Switzerland. This article is an open access article distributed under the terms and conditions of the Creative Commons Attribution (CC BY) license (http://creativecommons.org/licenses/by/4.0/).