Submitted:
02 July 2024
Posted:
03 July 2024
You are already at the latest version
Abstract
Keywords:
1. Introduction
2. The Literature Review
2.1. The Concept of Sustainable Development
2.2. Entrepreneurship and Sustainable Development
2.3. Economic Impact of Entrepreneurship: Entrepreneurship and Economic Growth
2.4. Social Impact of Entrepreneurship: Entrepreneurship and Human Development
2.5. Environmental Impact of Entrepreneurship: Entrepreneurship and Environment
2.6. Entrepreneurship and Sustainable Development in Saudi Context
2.7. The Research Gap
2.8. Hypothesis Development
- Economic Hypothesis: Entrepreneurial activity positively influences economic development in Saudi Arabia. This hypothesis is grounded in the findings of Akinwale et al. (2020) and Wennekers and Thurik (1999), who highlight the positive impact of entrepreneurship on economic growth.
- Social Hypothesis: Entrepreneurial activity positively impacts social development indicators such as the Human Development Index (HDI). This hypothesis is supported by Dhahri and Omri (2018) and Abdelwahed et al. (2022), who emphasize the role of entrepreneurship in enhancing social inclusion and human development.
- Environmental Hypothesis: Entrepreneurial activity contributes to environmental sustainability by reducing CO2 emissions. This hypothesis aligns with the studies by Neumann (2022) and He et al. (2020), which demonstrate the positive environmental impact of green and sustainable entrepreneurship.
3. Data and Methodology
3.1. Data
3.2. The Measurement of the Variables

3.3. The Models
3.3.1. Model 1: Economic Development
3.3.2. Model 2: Social Development
3.3.3. Model 3: Environmental Development
3.4. The Autoregressive Distributed Lag (ARDL)
4. The Results and Discussions
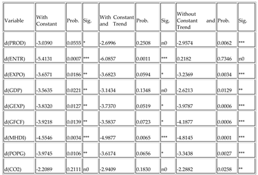
4.1. Unit Root Test Table (ADF)


4.2. The Descriptive Statistics

4.3. The Correlation

4.4. ARDL Short and Long Runs Estimates
- Model (1):
| Variables | Coefficient | Std. Error | t-Statistic | Prob. | Significance |
| Short-run Estimates | |||||
| ΔPROD | 0.745306 | 0.075817 | 9.830282 | 0.0002 | *** |
| ΔENTR | -10540.42 | 4070.152 | -2.589434 | 0.0192 | ** |
| ΔGFCF | 605.9067 | 79.74089 | 7.598445 | 0.0000 | *** |
| ΔGEXP | 392.5318 | 79.58904 | 4.931984 | 0.0004 | *** |
| ΔEXPO | 490.8407 | 75.82877 | 6.471829 | 0.0000 | *** |
| Long-run Estimates | |||||
| ENTR | 3868.649 | 1371.9 | 2.818945 | 0.0137 | ** |
| GFCF | 506.5967 | 198.5194 | 2.551215 | 0.0229 | ** |
| GEXP | -490.8407 | 77.53424 | -6.331462 | 0.0000 | *** |
| EXPO | -498.8846 | 73.49412 | -6.789214 | 0.0000 | *** |
| ECT | -0.4128526 | 0.039232 | -10.66121 | 0.0000 | *** |
| Diagnostic Tests | |||||
| R2R2 | 0.970049 | ||||
| Adjusted R2 | 0.953409 | ||||
| F-statistic | 12.62905 | *** | |||
| Boundary Test | F-statistic: 12.62905 | *** |

- Model (2):


- Model (3):


5. Conclusion
Acknowledgment
References
- Abdelwahed, N.A.A.; Bastian, B.L.; Wood, B.P. Women, Entrepreneurship, and Sustainability: The Case of Saudi Arabia. Sustainability 2022, 14, 11314. [Google Scholar] [CrossRef]
- Bashir, H.A.; Akhtar, A. The Role of Innovative Entrepreneurship in Economic Development : A Study of G20 Countries. Manag. Stud. Econ. Syst. 2016, 3, 91–100. [Google Scholar] [CrossRef]
- Agrawal, R.; Samadhiya, A.; Banaitis, A.; Kumar, A. Entrepreneurial barriers in achieving sustainable business and cultivation of innovation: a resource-based view theory perspective. Manag. Decis. [CrossRef]
- Akinwale, Y.O.; Alaraifi, A.A.; Ababtain, A.K. (2020). Entrepreneurship, innovation, and economic growth: Evidence from Saudi Arabia. In Eurasian Economic Perspectives: Proceedings of the 28th Eurasia Business and Economics Society Conference (pp. 25-40). Springer International Publishing.
- Alfalih, A.A.; Ragmoun, W. Drivers of sustainable entrepreneurship orientation for students at business school in Saudi Arabia. J. Entrep. Educ. 2020, 23, 1–6. [Google Scholar]
- Alwakid, W.; Aparicio, S.; Urbano, D. The Influence of Green Entrepreneurship on Sustainable Development in Saudi Arabia: The Role of Formal Institutions. Int. J. Environ. Res. Public Heal. 2021, 18, 5433. [Google Scholar] [CrossRef] [PubMed]
- Apostolopoulos, N.; Al-Dajani, H.; Holt, D.; Jones, P.; Newbery, R. (2018). Entrepreneurship and the sustainable development goals. In Entrepreneurship and the sustainable development goals (pp. 1-7). Emerald Publishing Limited.
- Apostu, S.-A.; Gigauri, I. Sustainable development and entrepreneurship in emerging countries: Are sustainable development and entrepreneurship reciprocally reinforcing? J. Entrep. Manag. Innov. 2023, 19, 41–77. [Google Scholar] [CrossRef]
- Ashari, H.; Abbas, I.; Abdul-Talib, A.-N.; Zamani, S.N.M. Entrepreneurship and Sustainable Development Goals: A Multigroup Analysis of the Moderating Effects of Entrepreneurship Education on Entrepreneurial Intention. Sustainability 2021, 14, 431. [Google Scholar] [CrossRef]
- Audretsch, D.B.; Keilbach, M. Entrepreneurship and regional growth: an evolutionary interpretation. J. Evol. Econ. 2004, 14, 605–616. [Google Scholar] [CrossRef]
- Ben Youssef, A.; Boubaker, S.; Omri, A. Entrepreneurship and sustainability: The need for innovative and institutional solutions. Technological Forecasting and Social Change 2018, 129, 232–239. [Google Scholar] [CrossRef]
- Bokhari, A.; Alothmany, N.; Magbool, S. (2012). Entrepreneurship and unemployment in the Kingdom of Saudi Arabia. In Saudi Economy Conference: Challenges and Opportunities.
- Dana, L.-P.; Chhabra, M.; Agarwal, M. A two-decade history of women's entrepreneurship research trajectories in developing economies context: perspectives from India. J. Manag. Hist. 2024, 30, 6–28. [Google Scholar] [CrossRef]
- Davari, A.; Sefidbari, L.; Khazaei, M.; Sakhdari, K.; Jahromi, Y.M. Causal Relationships Between Entrepreneurship, Unemployment And Economic Growth In Selected Countries. J. Dev. Entrep. 2022, 27. [Google Scholar] [CrossRef]
- Dejardin, M. Entrepreneurship and economic growth: An obvious conjunction. Inst. Dev. Strateg. 2020, 4, 2–12. [Google Scholar]
- Dhahri, S.; Omri, A. Entrepreneurship contribution to the three pillars of sustainable development: What does the evidence really say? World Dev. 2018, 106, 64–77. [Google Scholar] [CrossRef]
- Dhahri, S.; Slimani, S.; Omri, A. Behavioral entrepreneurship for achieving the sustainable development goals. Technol. Forecast. Soc. Chang. 2021, 165, 120561. [Google Scholar] [CrossRef]
- Filser, M.; Kraus, S.; Roig-Tierno, N.; Kailer, N.; Fischer, U. Entrepreneurship as Catalyst for Sustainable Development: Opening the Black Box. Sustainability 2019, 11, 4503. [Google Scholar] [CrossRef]
- Gautam, S.; Lal, M. Entrepreneurship and Economic Growth: Evidence from G-20 Economies. J. East-West Bus. 2021, 27, 140–159. [Google Scholar] [CrossRef]
- Gu, W.; Qiu, Y.; Zhang, Q. Entrepreneurship and economic growth: Evidence from China. Economic Modelling 2020, 88, 70–81. [Google Scholar] [CrossRef]
- Gu, W.; Wang, J.; Hua, X.; Liu, Z. Entrepreneurship and high-quality economic development: based on the triple bottom line of sustainable development. Int. Entrep. Manag. J. 2020, 17, 1–27. [Google Scholar] [CrossRef]
- Hartog, C.; Parker, S.; van Stel, A.; Thurik, R. (2010). The two-way relationship between entrepreneurship and economic performance. Scales report H200822.
- He, W.; Lu, X.; Qiu, Y. Entrepreneurship and carbon emissions: Evidence from China. Energy Econ. 2020, 86, 104623. [Google Scholar] [CrossRef]
- Neumann, T. Impact of green entrepreneurship on sustainable development: An ex-post empirical analysis. J. Clean. Prod. 2022, 377. [Google Scholar] [CrossRef]
- Omri, A. Entrepreneurship, output growth, and employment: Evidence from panel data. J. Econ. Stud. 2018, 45, 304–320. [Google Scholar] [CrossRef]
- Peprah, A.A.; Adekoya, A.F. Entrepreneurship and economic growth in developing countries: Evidence from Africa. Bus. Strat. Dev. 2020, 3, 388–394. [Google Scholar] [CrossRef]
- Peprah, A.A.; Adekoya, A.F. Entrepreneurship and economic growth in developing countries: Evidence from Africa. Bus. Strat. Dev. 2020, 3, 388–394. [Google Scholar] [CrossRef]
- Pesaran, M.H.; Shin, Y. (1999). An Autoregressive Distributed Lag Modelling Approach to Cointegration Analysis.
- Saberi, M.; Hamdan, A. The moderating role of governmental support in the relationship between entrepreneurship and economic growth: A study on the GCC countries. J. Entrep. Emerg. Econ. 2019, 11, 200–216. [Google Scholar] [CrossRef]
- Sayed, O.A.; Abedelrahim, S.S. Economic freedom as a catalyst for entrepreneurship: an empirical analysis of GCC countries. Cogent Bus. Manag. 2024, 11. [Google Scholar] [CrossRef]
- Urbano, D.; Aparicio, S.; Audretsch, D.B. Twenty-five years of research on institutions, entrepreneurship, and economic growth: What has been learned? Small Bus. Econ. 2020, 54, 775–820. [Google Scholar] [CrossRef]
- Venanceo, A.; Pinto, L. Population growth and economic development: A re-examination. Econ. Dev. Q. 2020, 34, 313–328. [Google Scholar] [CrossRef]
- Wennekers, S.; Thurik, R. Linking Entrepreneurship and Economic Growth. Small Bus. Econ. 1999, 13, 27–56. [Google Scholar] [CrossRef]
- Yusuf, N.; Albanawi, N.I. The Role of Entrepreneurship in Economic Development in Saudi Arabia. Bus. Econ. J. 2015, 7. [Google Scholar] [CrossRef]
- Cagarman, K.; Fajga, K.; Kratzer, J.; Entrepreneurship, T.U.B.C.F. Capturing the Sustainable Impact of Early-stage Business Models: Introducing esSROI. Highlights Sustain. 2023, 2, 171–184. [Google Scholar] [CrossRef]
- Chaaben, N.; Elleuch, Z.; Hamdi, B.; Kahouli, B. Green economy performance and sustainable development achievement: empirical evidence from Saudi Arabia. Environ. Dev. Sustain. 2022, 26, 549–564. [Google Scholar] [CrossRef] [PubMed]
- Doran, J.; McCarthy, N.; O’connor, M. The role of entrepreneurship in stimulating economic growth in developed and developing countries. Cogent Econ. Finance 2018, 6. [Google Scholar] [CrossRef]
- Ferreira, J.J.; Fayolle, A.; Fernandes, C.; Raposo, M. Effects of Schumpeterian and Kirznerian entrepreneurship on economic growth: panel data evidence. Entrep. Reg. Dev. 2016, 29, 27–50. [Google Scholar] [CrossRef]
- Gu, W.; Qiu, Y.; Zhang, Q. Entrepreneurship and economic growth: Evidence from China. Econ. Model. 2020, 88, 70–81. [Google Scholar] [CrossRef]
- Gupta, M.; Dharwal, M. Green entrepreneurship and sustainable development: A conceptual framework. Mater. Today: Proc. 2021, 49, 3603–3606. [Google Scholar] [CrossRef]
- Huđek, I.; Bradač Hojnik, B. Impact of entrepreneurship activity sustainable development. Probl. Ekorozwoju 2020, 15, 175–183. [Google Scholar] [CrossRef]
- Johnson, M.P.; Schaltegger, S. Entrepreneurship for Sustainable Development: A Review and Multilevel Causal Mechanism Framework. Entrep. Theory Pr. 2019, 44, 1141–1173. [Google Scholar] [CrossRef]
Disclaimer/Publisher’s Note: The statements, opinions and data contained in all publications are solely those of the individual author(s) and contributor(s) and not of MDPI and/or the editor(s). MDPI and/or the editor(s) disclaim responsibility for any injury to people or property resulting from any ideas, methods, instructions or products referred to in the content. |
© 2024 by the authors. Licensee MDPI, Basel, Switzerland. This article is an open access article distributed under the terms and conditions of the Creative Commons Attribution (CC BY) license (http://creativecommons.org/licenses/by/4.0/).
