Submitted:
30 June 2024
Posted:
01 July 2024
You are already at the latest version
Abstract
Keywords:
1. Introduction
2. Materials and Methods
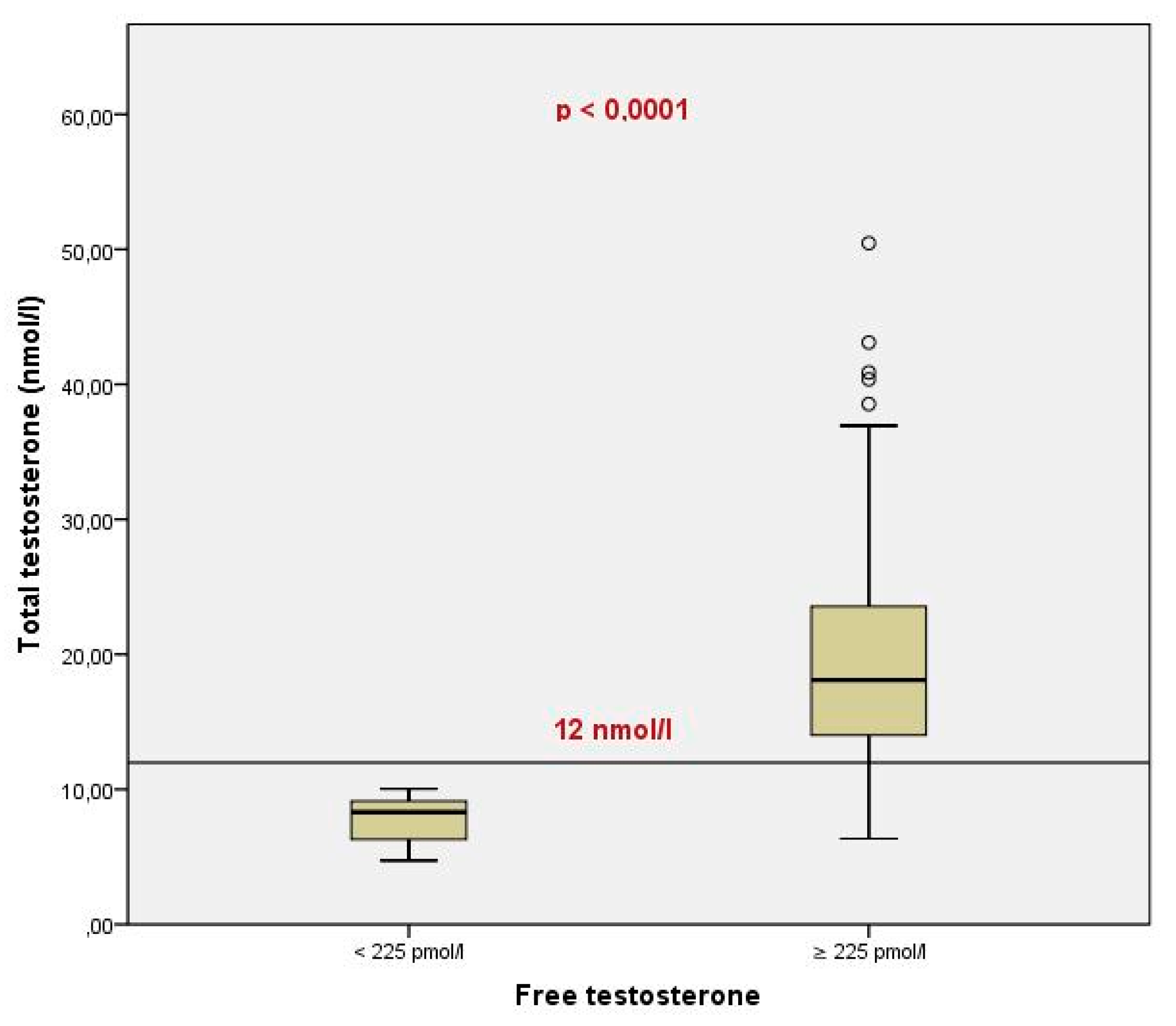
3. Results
4. Discussion
5. Conclusions
Author Contributions
Funding
Institutional Review Board Statement
Informed Consent Statement
Data Availability Statement
Conflicts of Interest
References
- Tishova, Y. A., Mskhalaya, G. Z., & Kalinchenko, S. Y. E. (2010). Age-related hypogonadism in men with metabolic syndrome. Diabetes mellitus, 13(1), 21-25. [CrossRef]
- Parshin AG, Eloyev RA. Our experience in examining urological patients with a high level of sex hormone-binding globulin. Experimental and Clinical Urology. 2018(2):73-7.
- Kuznetsova EA, Adamchik AS, Goncharov NP, Katsiya GV. Choice of diagnostic method for hypogonadism in obese men with metabolic syndrome. Andrology and Genital Surgery. 2015(3):10-6. [CrossRef]
- Mendel, CM. The free hormone hypothesis: a physiologically based mathematical model. Endocrine reviews. 1989;10(3):232-74.
- Vermeulen A, Verdonck L, Kaufman JM. A critical evaluation of simple methods for the estimation of free testosterone in serum. The Journal of clinical endocrinology and metabolism. 1999;84(10):3666-72. [CrossRef]
- Muller M, den Tonkelaar I, Thijssen JH, Grobbee DE, van der Schouw YT. Endogenous sex hormones in men aged 40-80 years. Eur J Endocrinol. 2003;149(6):583-9. [CrossRef]
- Liu PY, Beilin J, Meier C, Nguyen TV, Center JR, Leedman PJ, et al. Age-related changes in serum testosterone and sex hormone binding globulin in Australian men: longitudinal analyses of two geographically separate regional cohorts. The Journal of clinical endocrinology and metabolism. 2007;92(9):3599-603. [CrossRef]
- Ohlsson C, Wallaschofski H, Lunetta KL, Stolk L, Perry JR, Koster A, et al. Genetic determinants of serum testosterone concentrations in men. PLoS genetics. 2011;7(10):e1002313. [CrossRef]
- Svartberg J, Schirmer H, Wilsgaard T, Mathiesen EB, Njølstad I, Løchen ML, et al. Single-nucleotide polymorphism, rs1799941 in the Sex Hormone-Binding Globulin (SHBG) gene, related to both serum testosterone and SHBG levels and the risk of myocardial infarction, type 2 diabetes, cancer and mortality in men: the Tromsø Study. Andrology. 2014;2(2):212-8. [CrossRef]
- Rastrelli G, O’Neill TW, Ahern T. Symptomatic androgen deficiency develops only when both total and free testosterone decline in obese men who may have incident biochemical secondary hypogonadism: Prospective results from the EMAS. 2018;89(4):459-69. [CrossRef]






Disclaimer/Publisher’s Note: The statements, opinions and data contained in all publications are solely those of the individual author(s) and contributor(s) and not of MDPI and/or the editor(s). MDPI and/or the editor(s) disclaim responsibility for any injury to people or property resulting from any ideas, methods, instructions or products referred to in the content. |
© 2024 by the authors. Licensee MDPI, Basel, Switzerland. This article is an open access article distributed under the terms and conditions of the Creative Commons Attribution (CC BY) license (http://creativecommons.org/licenses/by/4.0/).