Submitted:
27 June 2024
Posted:
28 June 2024
You are already at the latest version
Abstract
Keywords:
0. Introduction
1. Basic Principle
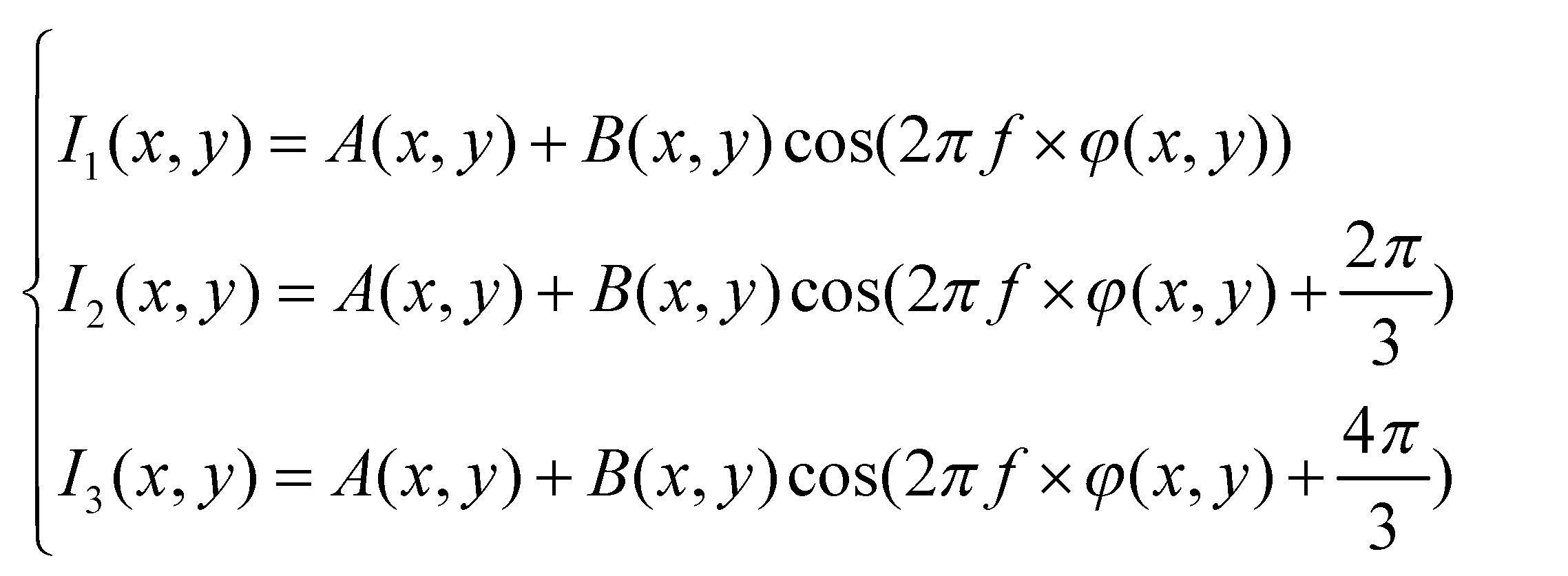
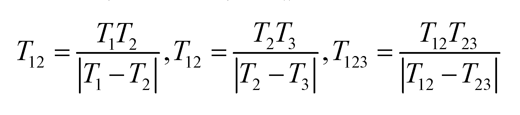
1.1. Phase Measuring Profilometry (PMP) Reconstruction Principle
1.2. Neural Network
1.2.1. Denoising Autoencoder
1.2.2. Feed-Forward Neural Network Data Regression
2. Algorithm Design
3. Experiments and Results
4.1. DAE Training
4.2. Analysis of the Selection of Iterative Denoising Times for DAE
4.3. FNN training
4.4. Analysis of Experimental Results
4.4.1. Denoising Experiment
4.4.2. Calibration Experiment
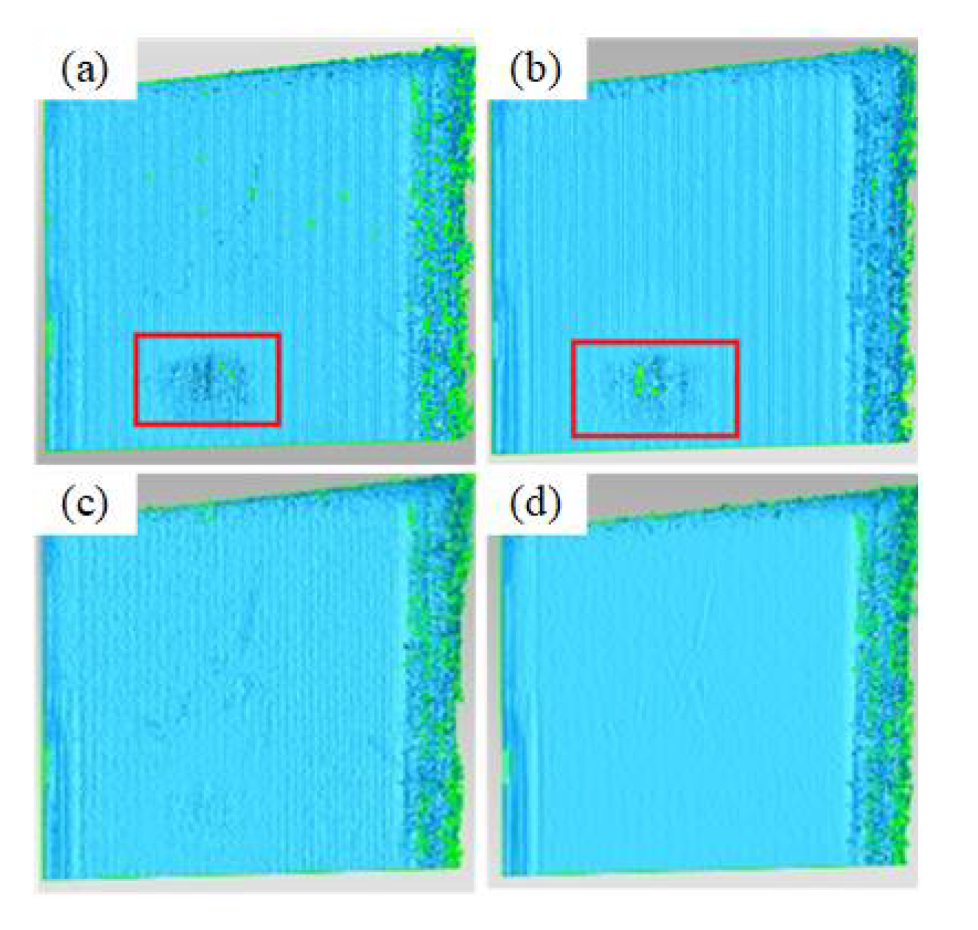
4.4.3. Measurement Experiments in Different Scenarios
5. Conclusions
Author Contributions
Funding
Conflicts of Interest
References
- Brown, G.M. Overview of three-dimensional shape measurement using optical methods. Optical Engineering 2000, 39, 10–22. [Google Scholar] [CrossRef]
- Zhang, S.J.O.; engineering, l.i. High-speed 3D shape measurement with structured light methods: A review. Optics and lasers in engineering 2018, 106, 119–131. [Google Scholar] [CrossRef]
- Srinivasan, V.; Liu, H.C.; Halioua, M. Automated phase-measuring profilometry of 3-D diffuse objects. Appl Opt 1984, 23, 3105. [Google Scholar] [CrossRef] [PubMed]
- Chen, L.; Yun, J.; Xu, Z.; Huan, Z.J.M.S.; Technology. An iterative phase-correction method for low-quality phase-shift images and its application. Measurement Science and Technology 2021, 32, 065005. [Google Scholar] [CrossRef]
- Debevec, P.E.; Malik, J. Recovering high dynamic range radiance maps from photographs. In Seminal Graphics Papers: Pushing the Boundaries, Volume 2; 2023; pp. 643–652.
- Waddington, C.; Kofman, J.J.O.E. Modified sinusoidal fringe-pattern projection for variable illuminance in phase-shifting three-dimensional surface-shape metrology. Optical Engineering 2014, 53, 084109–084109. [Google Scholar] [CrossRef]
- Chen, T.; Lensch, H.P.; Fuchs, C.; Seidel, H.-P. Polarization and phase-shifting for 3D scanning of translucent objects. In Proceedings of the 2007 IEEE conference on computer vision and pattern recognition; 2007; pp. 1–8. [Google Scholar]
- Chandel, R.; Gupta, G.J.I.J.o.A.R.i.C.S.; Engineering, S. Image filtering algorithms and techniques: A review. International Journal of Advanced Research in Computer Science and Software Engineering 2013, 3. [Google Scholar]
- Takeda, H.; Farsiu, S.; Milanfar, P.J.I.T.o.i.p. Kernel regression for image processing and reconstruction. IEEE Transactions on image processing 2007, 16, 349–366. [Google Scholar] [CrossRef] [PubMed]
- Knaus, C.; Zwicker, M. Dual-domain image denoising. In Proceedings of the 2013 IEEE International Conference on Image Processing; 2013; pp. 440–444. [Google Scholar]
- Yicheng, D. ; Research on Structural Light Stripe Image Processing Technology. Zhejiang University of Technology, 2012.(in chinese).
- He, Y.; Cao, Y.; Zhong, L.; Cheng, C.J.C.J.L. Improvement on measuring accuracy of digital phase measuring profilometry by frequency filtering. Chin. J. Lasers 2010, 37, 220–224. [Google Scholar]
- Baker, M.J.; Xi, J.; Chicharo, J.F.J.A.o. Neural network digital fringe calibration technique for structured light profilometers. Applied optics 2007, 46, 1233–1243. [Google Scholar] [CrossRef]
- Zhao, H.; Shi, S.; Jiang, H.; Zhang, Y.; Xu, Z.J.O.E. Calibration of AOTF-based 3D measurement system using multiplane model based on phase fringe and BP neural network. Optics Express 2017, 25, 10413–10433. [Google Scholar] [CrossRef]
- Rao, L.; Da, F.J.O.; Technology, L. Neural network based color decoupling technique for color fringe profilometry. Optics & Laser Technology 2015, 70, 17–25. [Google Scholar]
- Lin, B.; Fu, S.; Zhang, C.; Wang, F.; Li, Y.J.O.; Engineering, L.i. Optical fringe patterns filtering based on multi-stage convolution neural network. Optics and Lasers in Engineering 2020, 126, 105853. [Google Scholar] [CrossRef]
- Gurrola-Ramos, J.; Dalmau, O.; Alarcón, T.J.O.; Engineering, L.i. U-Net based neural network for fringe pattern denoising. Optics and Lasers in Engineering 2022, 149, 106829. [Google Scholar] [CrossRef]
- Baker, M.J.; Xi, J.; Chicharo, J.F. Multi-channel digital fringe calibration for structured light profilometers using neural networks. In Proceedings of the 2007 IEEE Instrumentation & Measurement Technology Conference IMTC 2007; 2007; pp. 1–6. [Google Scholar]
- Zhou, W.-S.; Su, X.-Y.J.J.o.m.o. A direct mapping algorithm for phase-measuring profilometry. Journal of modern optics 1994, 41, 89–94. [Google Scholar] [CrossRef]
- Mao, X.; Chen, W.; Su, X.J.A.o. Improved Fourier-transform profilometry. Applied optics 2007, 46, 664–668. [Google Scholar] [CrossRef]
- Li, Y.; Su, X.; Wu, Q.J.J.o.M.O. Accurate phase–height mapping algorithm for PMP. Journal of Modern Optics 2006, 53, 1955–1964. [Google Scholar] [CrossRef]
- Lu, J.; Mo, R.; Sun, H.; Chang, Z.J.A.O. Flexible calibration of phase-to-height conversion in fringe projection profilometry. Applied Optics 2016, 55, 6381–6388. [Google Scholar] [CrossRef] [PubMed]
- Liu, N.; Liu, Y.J.O. An accurate phase-height mapping algorithm by using a virtual reference plane. Optik 2020, 206, 164083. [Google Scholar] [CrossRef]
- Yanjun, F.; Xiaoqi, C.; Kejun, Z.; Baiheng, M.; Zhanjun, Y.J. Method for phase-height mapping calibration based on fringe projection profilometry. Infrared and Laser Engineering 2022, 51, 20210403-20210401-20210403-20210409. [Google Scholar]
- Li, Z.-w.; Shi, Y.-s.; Wang, C.-j.; Qin, D.-h.; Huang, K.J.O.C. Complex object 3D measurement based on phase-shifting and a neural network. Optics Communications 2009, 282, 2699–2706. [Google Scholar] [CrossRef]
- Chung, B.-m.J.O.A. Neural network model for phase-height relationship of each image pixel in 3D shape measurement by machine vision. Optica Applicata 2014, 44, 587–599. [Google Scholar]
- Liu, Y.; Zhang, Q.; Su, X.J.O.; Engineering, L.i. 3D shape from phase errors by using binary fringe with multi-step phase-shift technique. Optics and Lasers in Engineering 2015, 74, 22–27. [Google Scholar] [CrossRef]
- Chen, L.; Deng, W.; Lou, X.J.O.T. Phase unwrapping method base on multi-frequency interferometry. Optical Technique 2012, 38, 73–78. [Google Scholar] [CrossRef]
- Orbach, J. Principles of Neurodynamics. Perceptrons and the Theory of Brain Mechanisms. Archives of General Psychiatry 1962, 7. [Google Scholar] [CrossRef]
- Hinton, G.E.; Salakhutdinov, R.R.J.s. Reducing the dimensionality of data with neural networks. science 2006, 313, 504–507. [Google Scholar] [CrossRef] [PubMed]
- Kingma, D.P.; Welling, M.J.a.p.a. Auto-encoding variational bayes. arXiv preprint arXiv 2013.
- Vincent, P.; Larochelle, H.; Bengio, Y.; Manzagol, P.-A. Extracting and composing robust features with denoising autoencoders. In Proceedings of the Proceedings of the 25th international conference on Machine learning, 2008; pp. 1096–1103.
- Fine, T.L. Feedforward neural network methodology; Springer Science & Business Media: 1999.
- Rojas, R.; Rojas, R.J.N.n.a.s.i. The backpropagation algorithm. Neural networks: a systematic introduction 1996, 149-182.
- Zhang, Z.J.I.T.o.p.a.; intelligence, m. A flexible new technique for camera calibration. IEEE Transactions on pattern analysis and machine intelligence 2000, 22, 1330–1334. [Google Scholar] [CrossRef]














| Unit/pixel | Camera |
|---|---|
| Focal length | [3384.99, 3382.34] |
| Principal point | [645.45, 512.89] |
| Distortion | [ -0.10571, 1.46556, -0.00076, 0.00014, 0.00000] |
| Re-projection error | [ 0.03151, 0.03341 ] |
| Method /Number |
1 | 2 | 3 | 4 | 5 | MAE (μm) |
RMSE (μm) |
|---|---|---|---|---|---|---|---|
| inverse linear | 24.935 | 25.077 | 25.064 | 25.057 | 25.066 | 66 | 66.43 |
| polynomial fitting | 24.944 | 25.061 | 25.057 | 25.05 | 25.059 | 56 | 56.12 |
| FNN | 25.042 | 24.967 | 24.962 | 24.953 | 24.951 | 44 | 44.59 |
Disclaimer/Publisher’s Note: The statements, opinions and data contained in all publications are solely those of the individual author(s) and contributor(s) and not of MDPI and/or the editor(s). MDPI and/or the editor(s) disclaim responsibility for any injury to people or property resulting from any ideas, methods, instructions or products referred to in the content. |
© 2024 by the authors. Licensee MDPI, Basel, Switzerland. This article is an open access article distributed under the terms and conditions of the Creative Commons Attribution (CC BY) license (http://creativecommons.org/licenses/by/4.0/).