Submitted:
19 June 2024
Posted:
20 June 2024
You are already at the latest version
Abstract
Keywords:
1. Introduction
2. Multi-Feature Correlation Analysis and Data Processing
2.1. Source of Data
2.2. Correlation Coefficient Analysis Method
2.3. Multi-Feature Filtering And Data Processing
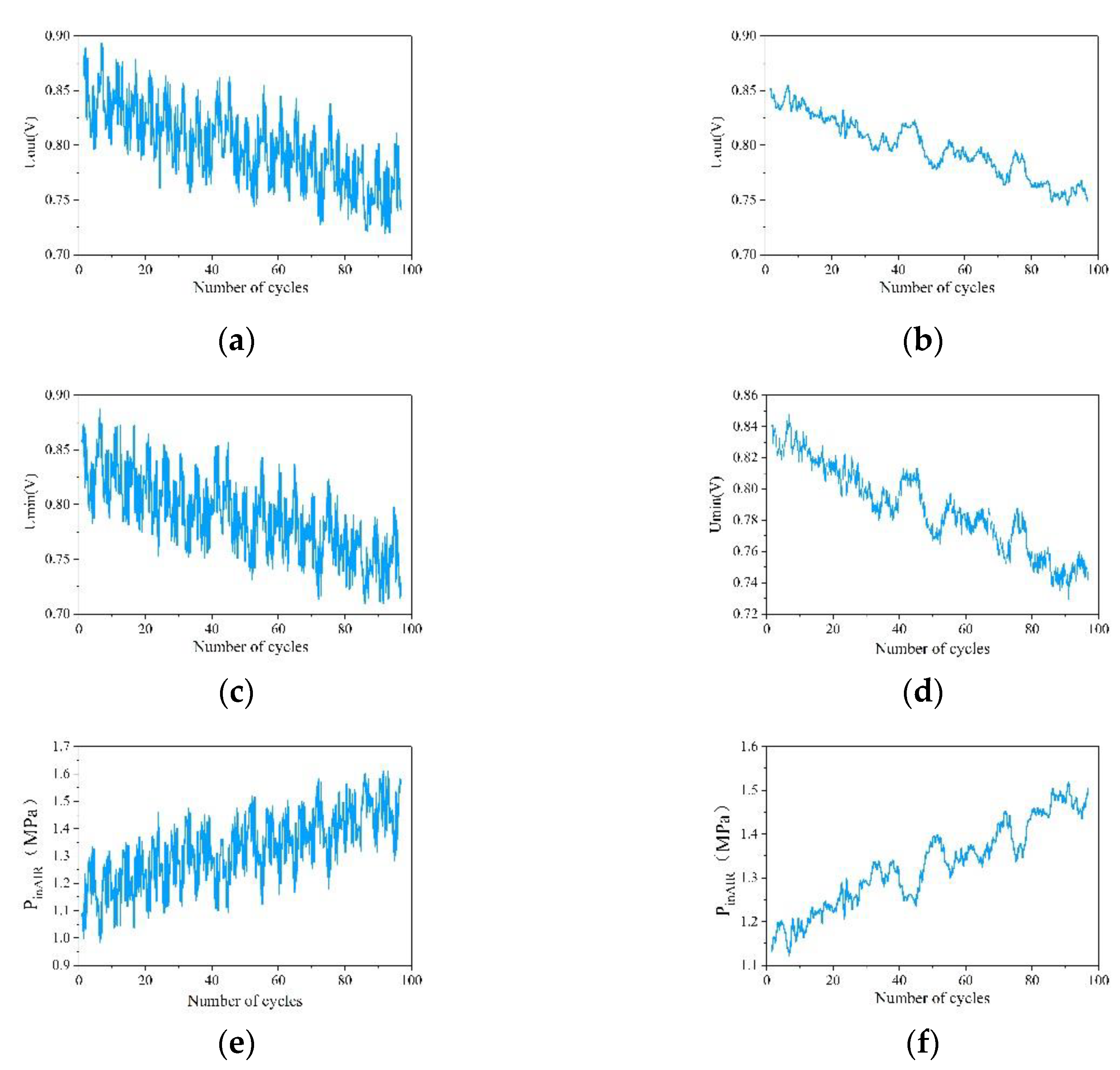
2.3.1. Steady-State Condition Multi-Feature Filtering and Data Processing
| Feature Parameters | Symbol | Unit |
|---|---|---|
| Stack output voltage | V | |
| Inlet temperature of hydrogen | ℃ | |
| Outlet temperature of hydrogen | ℃ | |
| Inlet temperature of air | ℃ | |
| Outlet temperature of air | ℃ | |
| Inlet temperature of coolant | ℃ | |
| Outlet temperature of coolant | ℃ | |
| Inlet pressure of hydrogen | Mbar | |
| Outlet pressure of hydrogen | Mbar | |
| Inlet pressure of air | Mbar | |
| Outlet pressure of air | Mbar | |
| Inlet flow rate of hydrogen | L/min | |
| Outlet flow rate of hydrogen | L/min | |
| Inlet flow rate of air | L/min | |
| Outlet flow rate of air | L/min | |
| Flow rate of coolant | L/min | |
| Air humidity | % |
2.3.2. Dynamic Cycling Condition Multi-Feature Filtering and Data Processing
3. Design of Life Prediction Model
| Name of Algorithm | Advantage | Drawback | Usage Scenario |
|---|---|---|---|
| Recurrent Neural Network (RNN) | Wide range of applications with internal memory mechanism. | Difficult to parallelize training; prone to gradient vanishing or gradient explosion; computationally inefficient. | Short-to-medium time series |
| Convolutional Neural Network (CNN) | It is good at capturing local features and can be computed in parallel with strong robustness and generalization ability. | The number of parameters is large, and the convolution operation may lead to information loss. | Spatial data |
| Long Short-Term Memory Network (LSTM) | Use gating mechanism for easier convergence, stable training and flexible structure. | The model is large and the computational complexity is high and not easy to interpret. | Memorizing long time series |
| Temporal Convolutional Network (TCN) | Parallel computation capable; stable gradient propagation; good at capturing long-term dependencies. | Input sequences need to be formulated with a fixed length and are sensitive to sequence ordering. | Long time series |
| Gated Recurrent Unit (GRU) | The structure is simple, with fewer gating mechanisms, less computational effort, and higher accuracy when the dataset is small. | Weak memory, may not be able to capture long-term dependencies, weak processing of complex sequences. | Simple long time series |
3.1. Design of Single-Feature Models
3.2. Design of Multi-Feature Models
4. Multi-Operating Condition Life Prediction for PEMFCs
4.1. Life Prediction for Steady-State Operating Condition
4.2. Life Prediction for Dynamic Cycling Condition
5. Result and Discussion
5.1. Analysis of Life Prediction Results for Steady-State Operating Condition
- TCN-GRU (three-feature) has the highest prediction accuracy, with the RMSE value of 3.27×10-3 and the R2 value of 0.965 at 80% of the training set ratio, almost perfectly fitting the original data, which is significantly better than the other two prediction models. It indicates that for the multi-feature fusion prediction model’s anti-overfitting and generalization ability is better than RNN and LSTM models, and it is more suitable for the prediction of long time series and data with multiple parameters
- TCN-GRU (three-feature) prediction results are better than TCN-GRU (dual-feature), compared with the RMSE value reduced by at least 3.82%, and even reduced by 23.6% in the training set ratio of 80%, which indicates that in the long time series prediction, the more features involved in the fusion of the prediction of the more the model’s ability to resist the abnormal data points or noise, and the better the stability of the model;
- Comparing the TCN-GRU multi-feature fusion prediction results horizontally, with the increase of the training set, the RMSE value of TCN-GRU (three-feature) decreases by 12.3% and 26.02% in turn, and the R2 value improves by 1.18% and 2.33%, and the prediction effect gets better with the increase of the training set, which proves the multi-feature fusion prediction model can meet the requirements of the PEMFC life prediction.
5.2. Analysis of Life Prediction Results for Dynamic Cycling Condition
- TCN-GRU (three-feature) has the highest prediction accuracy, which is slightly better than TCN-GRU (dual-feature). Comparing the RMSE values, the TCN-GRU (three-feature) model reduces at least 6.79% compared to the CNN-LSTM model, which indicates that the multi-feature fusion prediction model is more resistant to noise and has better robustness in the long time series prediction of dynamic cycling conditions;
- Comparing the R2 values, it can be found that the fitting ability of the TCN-GRU multi-feature fusion prediction model has a disconnected improvement compared with the traditional deep learning network. It further shows that a single deep learning network cannot meet the requirements of time series prediction with large data volume, and it is necessary to flexibly combine multiple algorithms, give full play to the advantages of each algorithm, and reasonably build a joint model according to the data volume and data characteristics, in order to achieve better prediction results.
6. Conclusion
Author Contributions
Funding
Conflicts of Interest
References
- Liu, W.; Sun, L.; Li, Z.; et al. Trends and future challenges in hydrogen production and storage research. Environmental Science and Pollution Research. 2020, 27(25), 31092–31104. [Google Scholar] [CrossRef] [PubMed]
- Wang, J.; Du, C.; Yan, F.; et al. Hierarchical Rewarding Deep Deterministic Policy Gradient Strategy for Energy Management of Hybrid Electric Vehicles. IEEE Transactions on Transportation Electrification. 2024, 10, 1802–1815. [Google Scholar] [CrossRef]
- Guo, L.; Zhao, L.; Jing, D.; et al. Solar hydrogen production and its development in China. Energy. 2009, 34(9), 1073–1090. [Google Scholar] [CrossRef]
- Zhang, J.; Yan. F.; Du. C.; et al. Model-based performance optimization of thermal management system of proton exchange membrane fuel cell. Energies. 2023, 16(9), 3952. [CrossRef]
- Zhao, S.; Gao, Z.; Li, X.; et al. Research on Energy Management Strategy of Fuel Cell Tractor Hybrid Power System. World Electric Vehicle Journal. 2024, 15(2), 61. [Google Scholar] [CrossRef]
- Mo, T.; Li, Y.; Luo, Y. Advantages and Technological Progress of Hydrogen Fuel Cell Vehicles. World Electric Vehicle Journal. 2023, 14(6), 162. [Google Scholar]
- Chen, K.; Laghrouche, S.; Djerdir, A. Aging prognosis model of proton exchange membrane fuel cell in different operating conditions. International Journal of Hydrogen Energy. 2020, 45, 11761–11772. [Google Scholar]
- Hua, Z.; Zheng, Z.; Pahon, E.; et al. A review on lifetime prediction of proton exchange membrane fuel cells system. Journal of Power Sources. 2022, 529. [Google Scholar]
- Ou, M.; Zhang, R.; Shao, Z.; et al. A novel approach based on semi-empirical model for degradation prediction of fuel cells. Journal of Power Sources. 2021, 488. [Google Scholar] [CrossRef]
- Lechartier, E.; Laffly, E.; Péra, M.-C.; et al. Proton exchange membrane fuel cell behavioral model suitable for prognostics. International Journal of Hydrogen Energy. 2015, 40, 8384–8397. [Google Scholar] [CrossRef]
- Ao, Y.; Laghrouche, S.; Depernet, D.; et al. Proton Exchange Membrane Fuel Cell Prognosis Based on Frequency-Domain Kalman Filter. IEEE Transactions on Transportation Electrification. 2021, 7, 2332–2343. [Google Scholar] [CrossRef]
- Deng, S.; Zhang, J.; Zhang, C.; et al. Prediction and optimization of gas distribution quality for high-temperature PEMFC based on data-driven surrogate model. Applied Energy. 2022, 327. [Google Scholar] [CrossRef]
- Wu, Y.; Breaz, E.; Gao, F.; et al. A Modified Relevance Vector Machine for PEM Fuel-Cell Stack Aging Prediction. IEEE Transactions on Industry Applications. 2016, 52, 2573–2581. [Google Scholar] [CrossRef]
- Liu, H.; Chen, J.; Hissel, D.; et al. Short-Term Prognostics of PEM Fuel Cells: A Comparative and Improvement Study. IEEE Transactions on Industrial Electronics. 2019, 66, 6077–6086. [Google Scholar] [CrossRef]
- Mezzi, R.; Yousfi-Steiner, N.; Péra, M.C.; et al. An Echo State Network for fuel cell lifetime prediction under a dynamic micro-cogeneration load profile. Applied Energy. 2021, 283. [Google Scholar] [CrossRef]
- Zuo, J.; Lv, H.; Zhou, D.; et al. Deep learning based prognostic framework towards proton exchange membrane fuel cell for automotive application. Applied Energy. 2021, 281. [Google Scholar] [CrossRef]
- Wang, Y.; Wu, K.; Zhao, H.; et al. Degradation prediction of proton exchange membrane fuel cell stack using semi-empirical and data-driven methods. Energy and AI. 2023, 11. [Google Scholar] [CrossRef]
- Pan, R.; Yang, D.; Wang, Y.; et al. Performance degradation prediction of proton exchange membrane fuel cell using a hybrid prognostic approach. International Journal of Hydrogen Energy. 2020, 45, 30994–31008. [Google Scholar] [CrossRef]
- Liu, H.; Chen, J.; Hissel, D.; et al. Remaining useful life estimation for proton exchange membrane fuel cells using a hybrid method. Applied Energy. 2019, 237, 910–919. [Google Scholar] [CrossRef]
- Zhu, W.; Guo, B.; Li, Y.; et al. Uncertainty quantification of proton-exchange-membrane fuel cells degradation prediction based on Bayesian-Gated Recurrent Unit. eTransportation 2023, 16. [Google Scholar] [CrossRef]
- Zhang, C.; Hu, H.; Ji, J.; et al. An evolutionary stacked generalization model based on deep learning and improved grasshopper optimization algorithm for predicting the remaining useful life of PEMFC. Applied Energy. 2023, 330. [Google Scholar] [CrossRef]
- Gouriveau, R.; Hilairet, M.; Hissel, D.; et al. IEEE PHM 2014 data challenge: Outline, experiments, scoring of results, winners. In Proceedings of the Proc. IEEE Conf. Prognostics Health Manage; 2014; pp. 1–6. [Google Scholar]
- Chen, K.; Laghrouche, S.; Djerdir, A. Degradation prediction of proton exchange membrane fuel cell based on grey neural network model and particle swarm optimization. Energy Conversion and Management. 2019, 195, 810–818. [Google Scholar] [CrossRef]
- China Automotive Technology and Research Center, Co. Ltd. China automotive test cycle-Part 1: Light-duty vehicles. 2019, GB/T 38146.1-2019, 36.
- Jouin, M.; Gouriveau, R.; Hissel, D.; et al. Prognostics of PEM fuel cell in a particle filtering framework. International Journal of Hydrogen Energy 2014, 39, 481–494. [Google Scholar] [CrossRef]
- Wang, J.; Du, C.; Yan, F.; et al. Energy Management of a Plug-in Hybrid Electric Vehicle Using Bayesian Optimization and Soft Actor-Critic Algorithm. IEEE Transactions on Transportation Electrification. 2024, 1–1. [Google Scholar] [CrossRef]
- Dufera, A.G.; Liu, T.; Xu, J. Regression models of Pearson correlation coefficient. Statistical Theory and Related Fields. 2023, 7, 97–106. [Google Scholar] [CrossRef]
- Yu, H.; Hutson, A.D. A robust Spearman correlation coefficient permutation test. Communications in Statistics - Theory and Methods. 2022, 53, 2141-2153. [CrossRef]
- Gao, D.; Zhou, Y.; Wang, T.; et al. A Method for Predicting the Remaining Useful Life of Lithium-Ion Batteries Based on Particle Filter Using Kendall Rank Correlation Coefficient. Energies. 2020, 13. [Google Scholar] [CrossRef]
- Lu, Y.; Tang, X.; Wang, H. An Effective Stock Clustering Method Based on Hybrid Correlation Coefficient; 2018.
- Ding, R.; Zhang, S.; Chen, Y.; et al. Application of Machine Learning in Optimizing Proton Exchange Membrane Fuel Cells: A Review. Energy and AI. 2022, 9. [Google Scholar] [CrossRef]
- Ibrahim, M.; Steiner, N.; Jemei, S.; et al. Wavelets-based approach for online Fuel Cells Remaining Useful lifetime Prediction. IEEE Transactions on Industrial Electronics 2016, 1–1. [Google Scholar] [CrossRef]
- Luo, J.; Chen, T.; Xiao, F.; et al. Remaining useful life prediction of PEMFC based on CNN-Birnn model. International Journal of Green Energy. 2023, 20, 1729–1740. [Google Scholar] [CrossRef]
- Campbell, J.N.A.; Dais Ferreira, M.; Isenor, A.W. Generation of Vessel Track Characteristics Using a Conditional Generative Adversarial Network (CGAN). Applied Artificial Intelligence. 2024, 38. [Google Scholar] [CrossRef]
- Wang, F.-K.; Cheng, X.-B.; Hsiao, K.-C. Stacked long short-term memory model for proton exchange membrane fuel cell systems degradation. Journal of Power Sources. 2020, 448. [Google Scholar] [CrossRef]
- Zhang, C.; Ji, C.; Hua, L.; et al. Evolutionary quantile regression gated recurrent unit network based on variational mode decomposition, improved whale optimization algorithm for probabilistic short-term wind speed prediction. Renewable Energy. 2022, 197, 668–682. [Google Scholar] [CrossRef]
- Peng, Y.; Chen, T.; Xiao, F.; et al. Remaining useful lifetime prediction methods of proton exchange membrane fuel cell based on convolutional neural network-long short-term memory and convolutional neural network-bidirectional long short-term memory. Fuel Cells 2022, 23, 75–87. [Google Scholar] [CrossRef]
- Liu, C.; Shen, J.; Dong, Z.; et al. Accuracy improvement of fuel cell prognostics based on voltage prediction. International Journal of Hydrogen Energy. 2024, 58, 839–851. [Google Scholar] [CrossRef]
- Yang, J.; Wang, L.; Zhang, B.; et al. Remaining useful life prediction of vehicle-oriented PEMFC systems based on IGWO-BP neural network under real-world traffic conditions. Energy. 2024, 291. [Google Scholar] [CrossRef]
- Tao, Z.; Zhang, C.; Xiong, J.; et al. Evolutionary gate recurrent unit coupling convolutional neural network and improved manta ray foraging optimization algorithm for performance degradation prediction of PEMFC. Applied Energy. 2023, 336. [Google Scholar] [CrossRef]
- Ma, R.; Xie, R.; Xu, L.; et al. A Hybrid Prognostic Method for PEMFC With Aging Parameter Prediction. IEEE Transactions on Transportation Electrification. 2021, 7, 2318–2331. [Google Scholar] [CrossRef]













| Parameters | Value | Unit |
|---|---|---|
| Active area | 100 | cm2 |
| Operating temperature | 60 | ℃ |
| Pressure | 1.5 | bar |
| Relative humidity | 50 | % |
| Load current | 70 | A |
| Rated current density | 0.7 | A/cm2 |
| Parameters | Value | Unit |
|---|---|---|
| Active area | 304 | cm2 |
| Operating temperature | 80 | ℃ |
| Pressure | 2 | bar |
| Relative humidity | 80 | % |
| Feature Parameters | Symbol | Unit |
|---|---|---|
| Stack output voltage | V | |
| Stack output power | W | |
| Inlet temperature of hydrogen | ℃ | |
| Inlet temperature of air | ℃ | |
| Outlet temperature of air | ℃ | |
| Inlet temperature of coolant | ℃ | |
| Outlet temperature of coolant | ℃ | |
| Temperature difference of coolant | ℃ | |
| Inlet pressure of hydrogen | MPa | |
| Inlet pressure of air | MPa | |
| Outlet pressure of air | MPa | |
| Inlet pressure of coolant | MPa | |
| Outlet pressure of coolant | MPa | |
| Pressure difference of cathode and anode | MPa | |
| Speed of air compressor | rpm | |
| Minimum single voltage | V |
| Parameter | Value | Parameter | Value |
|---|---|---|---|
| Neurons | 30 | Bach size | 128 |
| Filters | 32 | Learning rate | 0.001 |
| Sizes | 3 | Dropout | 0.5 |
| Dilations | 2 | Epoch | 30 |
| Name of Model | RMSE(x10-3) | R2 | ||||
|---|---|---|---|---|---|---|
| 40% | 60% | 80% | 40% | 60% | 80% | |
| RNN | 23.91 | 13.22 | 11.35 | 0.277 | 0.403 | 0.455 |
| LSTM | 12.77 | 10.51 | 10.71 | 0.541 | 0.616 | 0.647 |
| TCN-GRU (dual-feature) | 5.24 | 5.67 | 4.28 | 0.908 | 0.924 | 0.938 |
| TCN-GRU (three-feature) | 5.04 | 4.42 | 3.27 | 0.932 | 0.943 | 0.965 |
| Name of Model | RMSE(x10-3) | R2 | ||||
|---|---|---|---|---|---|---|
| 40% | 60% | 80% | 40% | 60% | 80% | |
| CNN-LSTM | 5.60 | 6.95 | 3.66 | 0.678 | 0.685 | 0.789 |
| TCN-GRU (dual-feature) | 5.30 | 4.23 | 2.94 | 0.866 | 0.881 | 0.887 |
| TCN-GRU (three-feature) | 5.22 | 4.04 | 2.91 | 0.885 | 0.890 | 0.924 |
Disclaimer/Publisher’s Note: The statements, opinions and data contained in all publications are solely those of the individual author(s) and contributor(s) and not of MDPI and/or the editor(s). MDPI and/or the editor(s) disclaim responsibility for any injury to people or property resulting from any ideas, methods, instructions or products referred to in the content. |
© 2024 by the authors. Licensee MDPI, Basel, Switzerland. This article is an open access article distributed under the terms and conditions of the Creative Commons Attribution (CC BY) license (http://creativecommons.org/licenses/by/4.0/).