Submitted:
18 June 2024
Posted:
18 June 2024
You are already at the latest version
Abstract
Keywords:
1. Introduction
2. Materials and Methods
2.1. Plant Material and Experimental Design
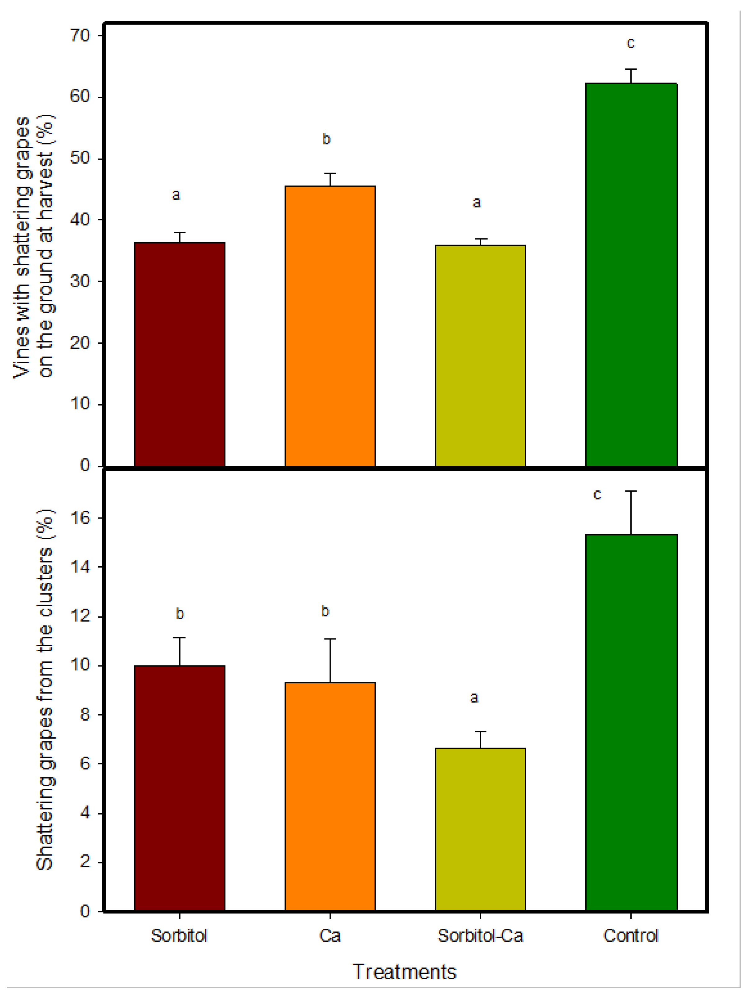
2.2. Berry Shattering
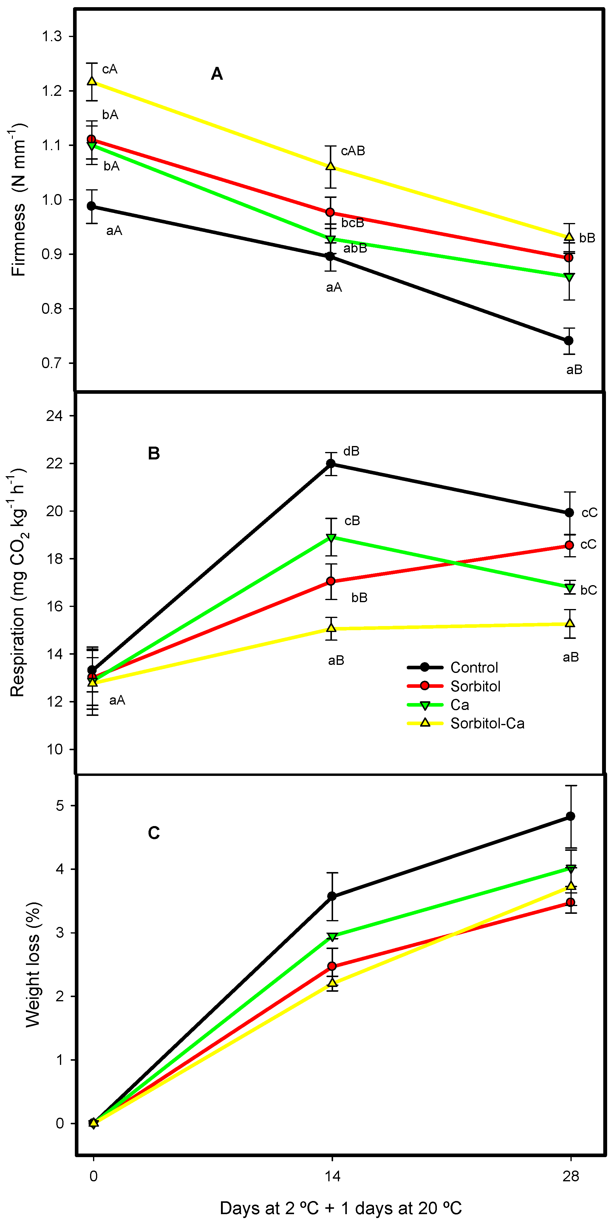
2.3. Fruit Respiration Rate and Weight Loss
2.4. Quality Grape: Firmness, Total Soluble Solids (TSS), Titratable Acidity (TA), and Maturation Index (MI)
2.5. Organic Acids and Sugars Content
2.6. Total Phenolic Content (TPC), Hydrophilic and Lipophilic Total Antioxidant Activity
2.7. Minerals Content
2.8. Malondialdehyde (MDA) and Abscisic Acid (ABA) Quantification
2.9. Statistical Analysis
3. Results and Discussion
4. Conclusions
Author Contributions
Funding
Data Availability Statement
Acknowledgments
Conflicts of Interest
References
- Crisosto, C.H.; Campos-Vargas, R.; Lichter, A. Table grape. In Manual on Postharvest Handling of Mediterranean Tree Fruits and Nuts; Good Fruit Grower: Yakima, WA, USA, 2020; pp. 184–197. [Google Scholar]
- Zoffoli, J.P.; Latorre, B.A. Table grape (Vitis vinifera L.). In Postharvest Biology and Technology of Tropical and Subtropical Fruits; Woodhead Publishing, 2011; pp. 179-214e.
- Palou, L.; Serrano, M.; Martínez-Romero, D.; Valero, D. New approaches for postharvest quality retention of table grapes. Fresh Prod. 2010, 4, 103–110. [Google Scholar]
- Sanchez-Escribano, E.M.; Martin, J.P.; Carreno, J.; Cenis, J.L. Use of sequence-tagged microsatellite site markers for characterizing table grape cultivars. Genome 1999, 42, 87–93. [Google Scholar] [CrossRef]
- Agulheiro-Santos, A.C.; Laranjo, M.; Ricardo-Rodrigues, S. Table grapes: There is more to vitiviniculture than wine. In Grapes and Wine; Morata, A., Loira, I., González, C., Eds.; IntechOpen: London, UK, 2022; pp. 99–112. [Google Scholar]
- UE. Regulation (EU) No 1151/2012 of the European Parliament and of the Council on quality schemes for agricultural products and foodstuffs. protection of geographical indications and designations of origin for agricultural products and foodstuffs ‘UVA DE MESA EMBOLSADA DEL VINALOPÓ’ EC No: ES-PDO-0117-01032-22.8.2012. 2012. Available online: http://data.europa.eu/eli/reg/2012/1151/oj (accessed on 10 September 2023).
- Deng, Y.; Wu, Y.; Li, Y.; Zhang, P.; Yang, M.; Shi, C.; Yu, S. A mathematical model for predicting grape berry drop during storage. J. Food Eng. 2007, 78, 500–511. [Google Scholar] [CrossRef]
- Sabir, F.K.; Unal, S.; Sabir, A. Postharvest aloe vera gel coatings delay the physiological senescence of ‘Alphonse Lavallée’and ‘Red Globe’grapes during cold storage as an alternative to SO2. Erwerbs-Obstbau 2023, 65, 1889–1898. [Google Scholar] [CrossRef]
- Zhang, Y.L.; Zhang, R.G. Effects of ABA content on the development of abscission zone and berry falling after harvesting of grapes. Agric. Sci. China 2009, 8, 59–67. [Google Scholar] [CrossRef]
- Rizzuti, A.; Aguilera-Sáez, L.M.; Gallo, V.; Cafagna, I.; Mastrorilli, P.; Latronico, M.; Ferrara, G. On the use of Ethephon as abscising agent in cv. Crimson Seedless table grape production: Combination of Fruit Detachment Force, Fruit Drop and metabolomics. Food Chem. 2015, 171, 341–350. [Google Scholar] [PubMed]
- Teker, T.; Soltekin, O. Berry shattering phenomena in vineyards: The influence of maximum temperatures during flowering period in an extreme year. Sci. Hortic. 2023, 321, 112278. [Google Scholar] [CrossRef]
- Lo’ay, A.A. Biological indicators to minimize berry shatter during handling of Thompson seedless grapevines. World Appl. Sci. J. 2011, 12, 1107–1113. [Google Scholar]
- Faheem, M.; Liu, J.; Chang, G.; Abbas, I.; Xie, B.; Shan, Z.; Yang, K. Experimental research on grape cluster vibration signals during transportation and placing for harvest and post-harvest handling. Agriculture 2021, 11, 902. [Google Scholar] [CrossRef]
- White, P.J. The pathways of calcium movement to the xylem. J. Exp. Bot. 2001, 52, 891–899. [Google Scholar] [CrossRef]
- Hocking, B.; Tyerman, S.D.; Burton, R.A.; Gilliham, M. Fruit calcium: transport and physiology. Front. Plant Sci. 2016, 7, 1828. [Google Scholar] [CrossRef] [PubMed]
- Aranda, J.M.B.; Ballesteros, F.R.; López, C.A.; Alcaraz, C.F. Induction of fruit calcium assimilation and its influence on the quality of table grapes. Span. J. Agric. Res. 2005, 3, 335–343. [Google Scholar]
- Martins, V.; Soares, C.; Spormann, S.; Fidalgo, F.; Gerós, H. Vineyard calcium sprays reduce the damage of postharvest grape berries by stimulating enzymatic antioxidant activity and pathogen defense genes, despite inhibiting phenolic synthesis. Plant Physiol. Biochem. 2021, 162, 48–55. [Google Scholar] [CrossRef] [PubMed]
- Miceli, A.; Ippolito, A.; Linsalata, V.; Nigro, F. Effect of preharvest calcium treatments on decay and biochemical changes in table grape during storage. Phytopathol. Mediterr. 1999, 38, 47–53. [Google Scholar]
- Ciccarese, A.; Stellacci, A.M.; Gentilesco, G.; Rubino, P. Effectiveness of pre-and post-veraison calcium applications to control decay and maintain table grape fruit quality during storage. Postharvest Biol. Technol. 2013, 75, 135–141. [Google Scholar] [CrossRef]
- Nigro, F.; Schena, L.; Ligorio, A.; Pentimone, I.; Ippolito, A.; Salerno, M.G. Control of table grape storage rots by pre-harvest applications of salts. Postharvest Biol. Technol. 2006, 42, 142–149. [Google Scholar] [CrossRef]
- Sabir, F.K.; Sabir, A. Extending postharvest quality attributes of grapes (V. vinifera L. cv.‘Thompson Seedless’) by preharvest calcium pulverizations. Acta Sci. Pol. Hortorum Cultus. 2017. 16(5).
- Ollat, N.; Gaudillère, J.P. Investigation of assimilate import mechanisms in berries of Vitis vinifera var. ‘Cabernet Sauvignon’. Strategies to Optimize Wine Grape Quality 1995, 427, 141–150. [Google Scholar]
- Rogiers, S.; Keller, M.; Holzapfel, B.P.; Virgona, J.M. Accumulation of potassium and calcium by ripening berries on field vines of Vitis vinifera (L) cv. Shiraz. Aust. J. Grape Wine Res. 2000, 6, 240–243. [Google Scholar] [CrossRef]
- Cabanne, C.; Donèche, B. Changes in polygalacturonase activity and calcium content during ripening of grape berries. Am. J. Enol. Vitic. 2001, 52, 331–335. [Google Scholar] [CrossRef]
- Bondada, B.R.; Matthews, M.A.; Shackel, K.A. Functional xylem in the post-veraison grape berry. J. Exp. Bot. 2005, 56, 2949–2957. [Google Scholar] [CrossRef] [PubMed]
- Rogiers, S.Y.; Smith, J.A.; White, R.; Keller, M.; Holzapfel, B.P.; Virgona, J.M. Vascular function in berries of Vitis vinifera (L) cv. Shiraz. Aust. J. Grape Wine Res. 2001, 7, 47–51. [Google Scholar] [CrossRef]
- Saure, M.C. Calcium translocation to fleshy fruit: its mechanism and endogenous control. Sci. Hortic. 2005, 105, 65–89. [Google Scholar] [CrossRef]
- White, P.J.; Broadley, M.R. Calcium in plants. Ann. Bot. 2003, 92, 487–511. [Google Scholar] [CrossRef] [PubMed]
- Kilany, A.; El–Morsi, F.M.; Ahmed, O.A. Effect of mineral or chelated calcium and magnesium on growth and bunch and berry characteristics of flame seedless grapevines grown in sandy soils 1-effect on growth and chemical composition of leaves and canes. J. Plant Prod. 2000, 25, 7039–7047. [Google Scholar] [CrossRef]
- Jáuregui-Zúñiga, D.; Reyes-Grajeda, J.; Sepúlveda-Sánchez, J.; Whitaker, J.; Moreno, A. Crystallochemical characterization of calcium oxalate crystals isolated from seed coats of Phaseolus vulgaris and leaves of Vitis vinifera. J. Plant Physiol. 2003, 160, 239–245. [Google Scholar] [CrossRef] [PubMed]
- Zhang, Y.; Fu, C.; Yan, Y.; Cheng, S. Zinc sulfate and sugar alcohol zinc sprays at critical stages to improve apple fruit quality. HortTechnology 2013, 23, 490–497. [Google Scholar] [CrossRef]
- Zhang, Y.; Fu, C.; Yan, Y.; Li, M. Foliar application of sugar alcohol zinc increases sugar content in apple fruit and promotes activity of metabolic enzymes. HortScience 2014, 49, 1067–1070. [Google Scholar] [CrossRef]
- Liu, C.; Li, Y.; Huo, W.; Yan, D. Effect of sorbitol calcium chelate on yield and calcium nutrient absorption of peanut. Am. J. Biochem. Biotechnol. 2021, 17, 160–173. [Google Scholar] [CrossRef]
- Li, P.C.; Geng, C.Z.; Li, L.Y.; Li, Y.P.; Li, T.S.; Wei, Q.Q.; Yan, D. Calcium-sorbitol chelating technology and application in potatoes. Am. J. Biochem. Biotechnol. 2020, 16, 96–102. [Google Scholar] [CrossRef]
- Will, S.; Eichert, T.; Fernández, V.; Römheld, V. Absorption and mobility of foliar-applied boron in soybean as affected by plant boron status and application as a polyol complex. Plant Soil 2011, 344, 283–293. [Google Scholar] [CrossRef]
- Kim, J.T.; Kim, Y.H.; Choi, J.S.; Lee, I.J. Effect of sorbitol and salicylic acid on quality and functional food contents of tomato fruit (Solanum lycopersicum). Hortic. Sci. Technol. 2014, 32, 771–780. [Google Scholar] [CrossRef]
- Singh, A.K.; Singh, C.P.; Lal, S. Effect of micronutrients and sorbitol on fruit set, yield and quality of mango cv. Dashehari. Prog. Hortic. 2013, 45, 43–48. [Google Scholar]
- Zhang, W.; Jiang, H.; Cao, J.; Jiang, W. Advances in biochemical mechanisms and control technologies to treat chilling injury in postharvest fruits and vegetables. Trends Food Sci. Technol. 2021, 113, 355–365. [Google Scholar] [CrossRef]
- IVIA. Meteorological data. Available online: http://riegos.ivia.es/datos-meteorologicos (accessed on 10 May 2024).
- Valverde, J.M.; Guillén, F.; Martínez-Romero, D.; Castillo, S.; Serrano, M.; Valero, D. Improvement of table grapes quality and safety by the combination of modified atmosphere packaging (MAP) and eugenol, menthol, or thymol. J. Agric. Food Chem. 2005, 53, 7458–7464. [Google Scholar] [CrossRef] [PubMed]
- Lorente-Mento, J.M.; Guillén, F.; Castillo, S.; Martínez-Romero, D.; Valverde, J.M.; Valero, D.; Serrano, M. Melatonin treatment to pomegranate trees enhances fruit bioactive compounds and quality traits at harvest and during postharvest storage. Antioxidants 2021, 10, 820. [Google Scholar] [CrossRef] [PubMed]
- García-Pastor, M.E.; Zapata, P.J.; Castillo, S.; Martínez-Romero, D.; Guillén, F.; Valero, D.; Serrano, M. The effects of salicylic acid and its derivatives on increasing pomegranate fruit quality and bioactive compounds at harvest and during storage. Front. Plant Sci. 2020, 11, 668. [Google Scholar] [CrossRef] [PubMed]
- Lorente-Mento, J.M.; Carrión-Antolí, A.; Guillén, F.; Serrano, M.; Valero, D.; Martínez-Romero, D. Relationship among sugars, organic acids, mineral composition, and chilling injury sensitivity on six pomegranate cultivars stored at 2°C. Foods 2023, 12, 1364. [Google Scholar] [CrossRef] [PubMed]
- Michailidis, M.; Karagiannis, E.; Tanou, G.; Karamanoli, K.; Lazaridou, A.; Matsi, T.; Molassiotis, A. Metabolomic and physico-chemical approach unravel dynamic regulation of calcium in sweet cherry fruit physiology. Plant Physiol. Biochem. 2017, 116, 68–79. [Google Scholar] [CrossRef] [PubMed]
- Hernandez, J.A.; Díaz-Vivancos, P.; Martínez-Sánchez, G.; Alburquerque, N.; Martínez, D.; Barba-Espín, G.; García-Bruntón, J. Physiological and biochemical characterization of bud dormancy: Evolution of carbohydrate and antioxidant metabolisms and hormonal profile in a low chill peach variety. Sci. Hortic. 2021, 281, 109957. [Google Scholar] [CrossRef]
- Strik, B.C. Growing table grapes. Extension Circular (Oregon State University. Extension Service). 2011. Available online: http://hdl.handle.net/1957/21285.
- Fourie, J.F. Harvesting, handling and storage of table grapes (with focus on pre-and post-harvest pathological aspects). Acta Hortic. 2006, 785, 421–424. [Google Scholar] [CrossRef]
- Bassiony, S.; Zaghloul, A.; El-Aziz, A. Effect of irrigation levels with foliar spray of silicon, calcium and amino acids on “Thompson Seedless” grapevines. I. Yield and fruit quality. J. Prod. Dev. 2018, 23, 453–481. [Google Scholar]
- Young-Sik, P.A.R.K.; Je-Chang, L.E.E.; Joo-Hyun, K.I.M.; Jeong, H.N.; Jae-Yun, H.E.O. Effect of calcium nitrate treatment on reduction of berry shattering in ‘Cheongsoo’ grape cultivars. Not. Sci. Biol. 2022, 14, 11158. [Google Scholar]
- Zhu, M.; Zheng, L.; Zeng, Y.; Yu, J. Susceptibility of two grape varieties to berry abscission. Sci. Hortic. 2022, 304, 111280. [Google Scholar] [CrossRef]
- Zhu, M.; Li, J.; Liu, Y.; Wang, Q.; Fan, Z.; Zeng, J.; Yu, J. Preharvest nano-calcium reduces the table grape berry abscission by regulating ethylene production during storage. J. Plant Growth Regul. 2023, 1–10. [Google Scholar] [CrossRef]
- Li, T.; Wei, Q.; Sun, W.; Tan, H.; Cui, Y.; Han, C.; Yan, D. Spraying sorbitol-chelated calcium affected foliar calcium absorption and promoted the yield of peanut (Arachis hypogaea L.). Front. Plant Sci. 2022, 13, 1075488. [Google Scholar] [CrossRef] [PubMed]
- Navarro-León, E.; López-Moreno, F.J.; Fernández, M.A.; Maldonado, J.J.; Yánez, J.; Blasco, B.; Ruiz, J.M. A new calcium vectoring technology: Concentration and distribution of Ca and agronomic efficiency in pepper plants. Agronomy 2022, 12, 410. [Google Scholar] [CrossRef]
- Niu, J.H.; Liu, C.; Huang, M.L.; Liu, K.Z.; Yan, D.Y. Effects of foliar fertilization: A review of current status and future perspectives. J. Soil Sci. Plant Nutr. 2021, 21, 104–118. [Google Scholar] [CrossRef]
- Rogiers, S.Y.; Greer, D.H.; Hatfield, J.M.; Orchard, B.A.; Keller, M. Mineral sinks within ripening grape berries (Vitis vinifera L.). Vitis 2005, 45, 115–123. [Google Scholar]
- Casero, T.; Benavides, A.L.; Recasens, I. Interrelation between fruit mineral content and pre-harvest calcium treatments on ‘Golden Smoothee’ apple quality. J. Plant Nutr. 2009, 33, 27–37. [Google Scholar] [CrossRef]
- Amiri, E.M.; Fallahi, E.; Safari, G. Effects of preharvest calcium sprays on yield, quality and mineral nutrient concentrations of ‘Asgari’ table grape. Int. J. Fruit Sci. 2009, 9, 294–304. [Google Scholar] [CrossRef]
- Martin-Diana, A.B.; Rico, D.; Frias, J.M.; Barat, J.M.; Henehan, G.T.M.; Barry-Ryan, C. Calcium for extending the shelf life of fresh whole and minimally processed fruits and vegetables: a review. Trends Food Sci. Technol. 2007, 18, 210–218. [Google Scholar] [CrossRef]
- Lara Ayala, I. Preharvest sprays and their effects on the postharvest quality of fruit. Stewart Postharvest Rev. 2013, 3, 5. [Google Scholar]
- Martins, V.; Garcia, A.; Alhinho, A.T.; Costa, P.; Lanceros-Méndez, S.; Costa, M.M.R.; Gerós, H. Vineyard calcium sprays induce changes in grape berry skin, firmness, cell wall composition and expression of cell wall-related genes. Plant Physiol. Biochem. 2020, 150, 49–55. [Google Scholar] [CrossRef] [PubMed]
- Abbasi, N.A.; Shafique, M.; Ali, I.; Qureshi, A.A.; Hafiz, I.A. Pre-harvest foliar application of calcium chloride improves berry quality and storage life of table grape cvs. ‘Perlette’and ‘Kings’s Ruby’. JPAA 2020, 5, 2. [Google Scholar]
- Shi, H.; Zhou, W.; Xu, Y.; He, X.; He, F.; Wang, Y. Effect of calcium spray at flowering combined with post-harvest 1-MCP treatment on the preservation of grapes. Heliyon 2023, 9, e13365. [Google Scholar] [CrossRef] [PubMed]
- Martins, V.; Unlubayir, M.; Teixeira, A.; Lanoue, A.; Gerós, H. Exogenous calcium delays grape berry maturation in the white cv. Loureiro while increasing fruit firmness and flavonol content. Front. Plant Sci. 2021, 12, 742887. [Google Scholar] [PubMed]
- Zhu, Y.; Zong, Y.; Liang, W.; Kong, R.; Gong, D.; Han, Y.; Prusky, D. Sorbitol immersion accelerates the deposition of suberin polyphenolic and lignin at wounds of potato tubers by activating phenylpropanoid metabolism. Sci. Hortic. 2022, 297, 110971. [Google Scholar] [CrossRef]
- Li, J.; Zhao, M.; Liu, L.; Guo, X.; Pei, Y.; Wang, C.; Song, X. Exogenous sorbitol application confers drought tolerance to maize seedlings through up-regulating antioxidant system and endogenous sorbitol biosynthesis. Plants 2023, 12, 2456. [Google Scholar] [CrossRef] [PubMed]
- Conde, A.; Badim, H.; Dinis, L.T.; Moutinho-Pereira, J.; Ferrier, M.; Unlubayir, M.; Gerós, H. Stimulation of secondary metabolism in grape berry exocarps by a nature-based strategy of foliar application of polyols. OENO One 2024, 58, 1. [Google Scholar] [CrossRef]
- Xiong, T.; Tan, Q.; Li, S.; Mazars, C.; Galaud, J.P.; Zhu, X. Interactions between calcium and ABA signaling pathways in the regulation of fruit ripening. J. Plant Physiol. 2021, 256, 153309. [Google Scholar] [CrossRef]
- Shi, H.; Zhou, X.; Qin, M.; Wang, W.; He, X.; Zhou, W. Effect of CaCl2 sprays in different fruit development stages on grape berry cracking. Front. Plant Sci. 2022, 13, 870959. [Google Scholar] [CrossRef] [PubMed]
- Muñoz-Robredo, P.; Robledo, P.; Manríquez, D.; Molina, R.; Defilippi, B.G. Characterization of sugars and organic acids in commercial varieties of table grapes. Chil. J. Agric. Res. 2011, 71, 452. [Google Scholar] [CrossRef]
- Ma, T.; Hui, Y.; Zhang, L.; Su, B.; Wang, R. Foliar application of chelated sugar alcohol calcium fertilizer for regulating the growth and quality of wine grapes. Int. J. Agric. Biol. Eng. 2022, 15, 153–158. [Google Scholar] [CrossRef]
- Talang, H.D.; Dutta, P.; Mukhim, C.; Patil, S. Effect of calcium, boron and sorbitol on fruit-set, yield and quality in mango cv. Himsagar. J. Hortic. Sci. 2016, 11, 166–169. [Google Scholar] [CrossRef]
- Conde, A.; Regalado, A.; Rodrigues, D.; Costa, J.M.; Blumwald, E.; Chaves, M.M.; Gerós, H. Polyols in grape berry: transport and metabolic adjustments as a physiological strategy for water-deficit stress tolerance in grapevine. J. Exp. Bot. 2015, 66, 889–906. [Google Scholar] [CrossRef] [PubMed]






| Mineral | Control | Ca | Sorbitol | Sorbitol-Ca |
|---|---|---|---|---|
| Ca | 4259.71 ± 125.03 a | 4364.45 ± 48.63 a | 4427.73 ± 88.91 a | 5105.64 ± 84.11 b |
| Cu | 207.18 ± 26.89 b | 225.89 ± 4.51 b | 161.18 ± 3.00 a | 253.26 ± 12.59 c |
| Fe | 21.30 ± 0.49a | 24.57 ± 1.93ba | 26.20 ± 1.91 b | 36.63 ± 1.70 c |
| K | 457.05 ± 13.51 ab | 440.64 ± 17.41 a | 477.91 ± 33.49 b | 476.13 ± 5.84 b |
| Mg | 472.55 ± 10.77 b | 448.44 ± 4.72 a | 496.35 ± 6.87 c | 543.80 ± 17.60 d |
| Mn | 18.70 ± 0.38 a | 18.36 ± 0.36 a | 20.86 ± 0.24b | 18.28 ± 0.43 a |
| Na | 61.56 ± 2.34 a | 115.44 ± 6.47 c | 83.49 ± 5.12b | 119.73 ± 5.66 c |
| P | 420.31 ± 13.16 ab | 410.98 ± 11.63 a | 439.63 ± 5.88 b | 491.63 ± 5.66 c |
| Σminerals | 5921.90 ± 177.27 a | 6052.48 ± 47.00 a | 6137.16 ± 49.38 a | 7049.64 ± 69.73 b |
| Ca+K | 4716.76 ± 125.28 a | 4805.09 ± 46.74 a | 4905.65 ± 55.79 b | 5581.77 ± 79.42 c |
| K/Ca | 0.11 ± 0.00 b | 0.10 ± 0.00 b | 0.11 ± 0.01 b | 0.09 ± 0.00 a |
| Mg/Ca | 0.11 ± 0.00 a | 0.10 ± 0.00 a | 0.11 ± 0.00 a | 0.11 ± 0.00 a |
| (K+Mg)/Ca | 0.22 ± 0.01b | 0.20 ± 0.00 a | 0.22 ± 0.01 b | 0.20 ± 0.01 a |
| K/Mg | 0.97 ± 0.03 b | 0.98 ± 0.05 b | 0.96 ± 0.05 b | 0.88 ± 0.02 a |
| Total mineral in grapes | ||||
|---|---|---|---|---|
| Mineral | Control | Ca | Sorbitol | Sorbitol + Ca |
| Ca | 86.68 ± 5.89 b | 82.39 ± 0.94 b | 66.68 ± 5.60 a | 102.65 ± 3.67 c |
| Cu | 0.25 ± 0.01 ab | 0.20 ± 0.03 a | 0.26 ± 0.03 bc | 0.31 ± 0.05 c |
| Fe | 0.68 ± 0.31 a | 0.61 ± 0.04 a | 1.53 ± 0.43 b | 1.09 ± 0.73 b |
| K | 688.76 ± 15.37 b | 667.12 ± 25.35 ab | 645.16 ± 9.25 a | 638.24 ± 14.49 a |
| Mg | 39.23 ± 0.95 b | 34.54 ± 0.65 a | 33.77 ± 1.33 a | 35.88 ± 1.40 a |
| Mn | 0.51 ± 0.04 a | 0.47 ± 0.02 a | 0.48 ± 0.04 a | 0.47 ± 0.05 a |
| Na | 14.92 ± 0.30 b | 13.53 ± 0.38 b | 12.37 ± 0.30 a | 11.88 ± 0.81 a |
| P | 218.94 ± 10.05 b | 211.65 ± 12.80 b | 195.71 ± 6.52 a | 191.64 ± 2.56 a |
| Σminerals | 1057.66 ± 36.46 b | 1010.10 ± 39.63 b | 955.98 ± 20.52 a | 983.15 ± 10.88 ab |
| Ca+K | 775.44 ± 21.14 b | 749.51 ± 26.13 b | 711.84 ± 14.82 a | 740.88 ± 10.97 b |
| K/Ca | 8.00 ± 0.39 b | 8.09 ± 0.24 b | 9.79 ± 0.66 c | 6.24 ± 0.35 a |
| Mg/Ca | 0.46 ± 0.02 bc | 0.42 ± 0.01 b | 0.51 ± 0.05 c | 0.35 ± 0.02 a |
| (K+Mg)/Ca | 8.45 ± 0.41 b | 8.51 ± 0.24 b | 10.30 ± 0.71 c | 6.59 ± 0.36 a |
| K/Mg | 17.56 ± 0.04 a | 19.30 ± 0.38 b | 19.17 ± 0.90 b | 17.86 ± 0.95 a |
| Ligated Ca in grapes | ||||
| Ca | 40.81 ± 0.67 a | 33.00 ± 6.32 a | 36.71 ± 2.68 a | 55.87 ± 1.65 b |
| Organic acids (mg 100mL-1) |
Control | Ca | Sorbitol | Sorbitol + Ca |
|---|---|---|---|---|
| Tartaric | 270.0 ± 10.0c | 240.0 ± 10.0 b | 190.0 ± 10.0 a | 200.0 ± 10 a |
| Malic | 90.01 ± 10.9 a | 160.0 ± 10.0 c | 140.0 ± 10.0 b | 170.0 ± 10.0 c |
| Citric | 20.8 ± 0.9b | 18.3 ± 0.6 a | 17.9 ± 0.2 a | 21.3 ± 0.03 b |
| Fumaric | 21.4 ± 3.1 a | 26.9 ± 5.6 a | 22.6 ± 2.7 a | 20.3 ± 1.1 a |
| Succinic | 14.8 ± 0.07 a | 16.2 ± 0.32 c | 15.8 ± 0.46 abc | 15.6 ± 0.25 ab |
| Oxalic | 0.15 ± 0.03 b | 0.13 ± 0.02 b | 0.11 ± 0.01 a | 1.03 ± 0.005 a |
| Total | 420.0 ± 10.0 a | 460.0 ± 10.0 a | 370.0 ± 20.0 b | 430.0 ± 10.0 a |
| Tart/Malic | 3.24 ± 0.67 c | 1.49 ± 0.14 b | 1.42 ± 0.05 b | 1.18 ± 0.07 a |
|
Sugars (g 100mL-1) |
Control | Ca | Sorbitol | Sorbitol + Ca |
| Glucose | 7.45 ± 0.34 a | 7.73 0.09 a | 8.25 ± 0.32 b | 8.12 ± 0.19 b |
| Fructose | 6.35 ± 0.26 a | 6.63 ± 0.11 a | 7.13 ± 0.33 b | 6.80 ± 0.11 b |
| Total | 13.80 ± 0.70 a | 14.36 ± 0.21 a | 15.38 ± 0.64 b | 14.92 ± 0.27 b |
| Gluc/Fruc | 1.18 ± 0.02 a | 1.17 ± 0.01 a | 1.16 ± 0.01 a | 1.19 ± 0.02 a |
Disclaimer/Publisher’s Note: The statements, opinions and data contained in all publications are solely those of the individual author(s) and contributor(s) and not of MDPI and/or the editor(s). MDPI and/or the editor(s) disclaim responsibility for any injury to people or property resulting from any ideas, methods, instructions or products referred to in the content. |
© 2024 by the authors. Licensee MDPI, Basel, Switzerland. This article is an open access article distributed under the terms and conditions of the Creative Commons Attribution (CC BY) license (https://creativecommons.org/licenses/by/4.0/).
