Submitted:
18 June 2024
Posted:
18 June 2024
You are already at the latest version
Abstract
Keywords:
1. Introduction
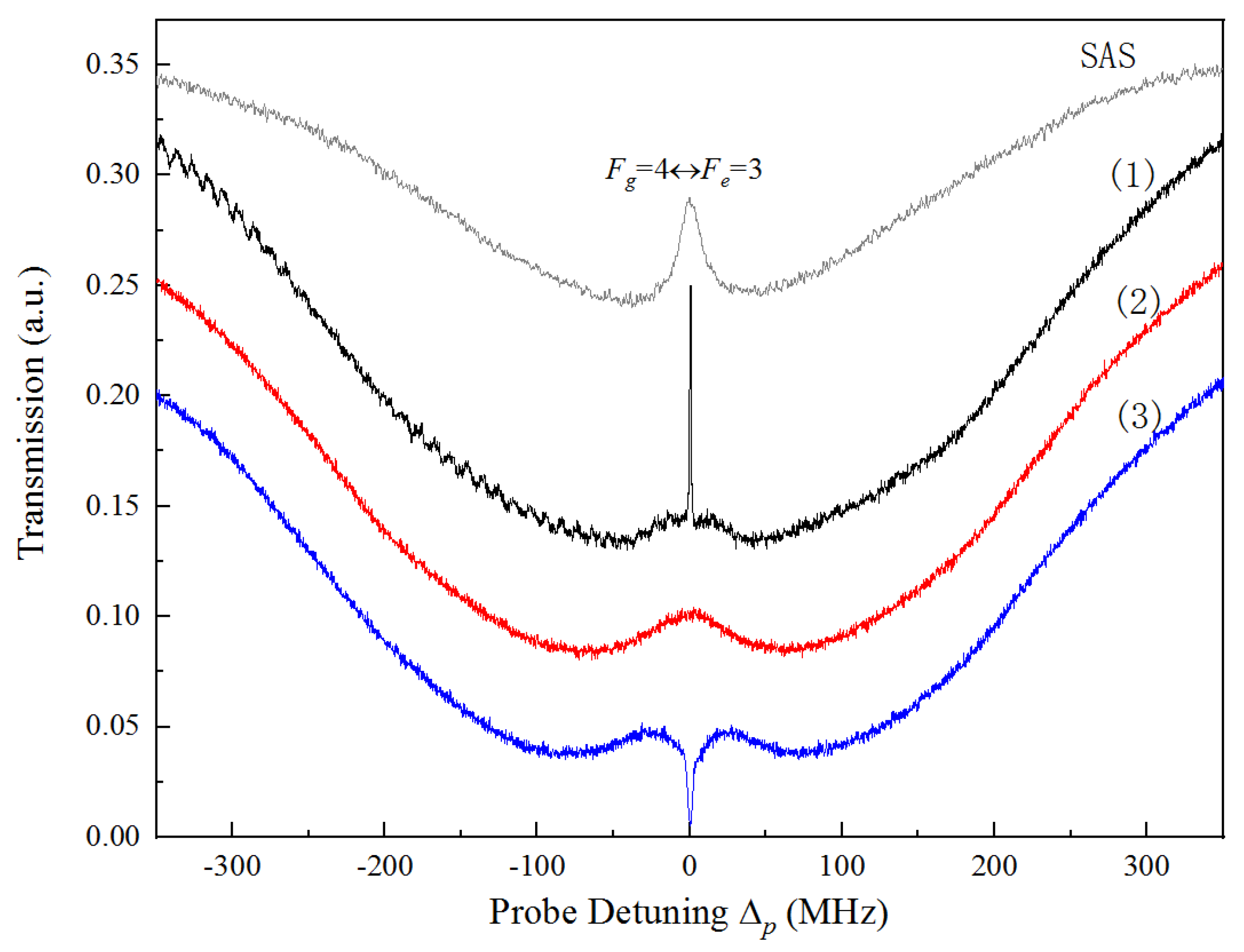
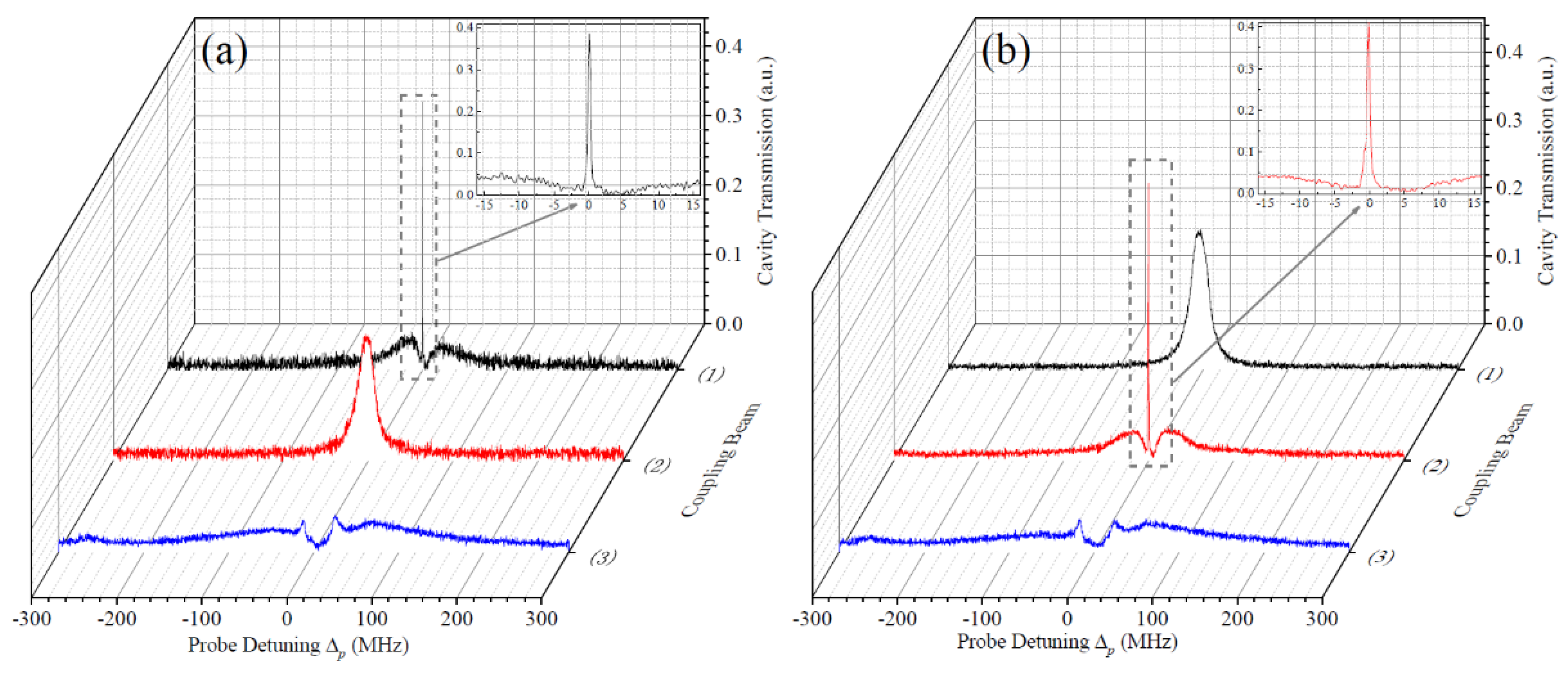
2. Experimental Arrangement and Results
3. Theoretical Analysis and Further Experimental Investigation
4. Conclusions
Author Contributions
Funding
Data Availability Statement
Conflicts of Interest
References
- Estep, N.D.; Sounas, J.; Soric, A.; Alù, A. Magnetic-free non-reciprocity and isolation based on parametrically modulated coupled-resonator loops. Nature Phys. 2014, 10, 923–927. [Google Scholar] [CrossRef]
- Lodahl, P.; Mahmoodian, S.; Stobbe, S.; Rauschenbeutel, A.; Schneeweiss, P.; Volz, J.; Pichler, H.; Zoller, P. Chiral quantum optics. Nature 2017, 541, 473–480. [Google Scholar] [CrossRef] [PubMed]
- Jalas, D.; Petrov, A.; Eich, M.; Freude, W.; Fan, S.; Yu, Z.; Baets, R.; Popović, M.; Melloni, A.; Joannopoulos, J.D.; Vanwolleghem, M.; Doerr, C.R.; Renner, H. What is — and what is not — an optical isolator. Nature Photon. 2013, 7, 579–582. [Google Scholar] [CrossRef]
- Aplet, L.J.; Carson, J.W. A Faraday effect optical isolator. Appl. Opt. 1964, 3, 544–545. [Google Scholar] [CrossRef]
- Peng, B.; Özdemir, S.K.; Lei, F.; Monifi, F.; Gianfreda, M.; Long, G.L.; Fan, S.; Nori, F.; Bender, C.M.; Yang, L. Parity-time-symmetric whispering-gallery microcavities. Nat. Phys. 2014, 10, 394–398. [Google Scholar] [CrossRef]
- Ganainy, R.E.; Makris, K.G.; Khajavikhan, M.; Musslimani, Z.H.; Rotter, S.; Christodoulides, D.N. Non-Hermitian physics and PT symmetry. Nat. Phys. 2018, 14, 11–19. [Google Scholar] [CrossRef]
- Buddhiraju, S.; Song, A.; Papadakis, G.T.; Fan, S.H. Nonreciprocal metamaterial obeying time-reversal symmetry. Phys. Rev. Lett. 2020, 124, 257403. [Google Scholar] [CrossRef]
- Xu, W.; Iyer, A.; Jin, L.; Set, S.Y.; Renninger, W.H. Strong optomechanical interactions with long-lived fundamental acoustic waves. Optica 2023, 10, 206–213. [Google Scholar] [CrossRef]
- Xu, H.; Jiang, L.Y.; Clerk, A.A.; Harris, J.G.E. Nonreciprocal control and cooling of phonon modes in an optomechanical system. Nature 2019, 568, 65–69. [Google Scholar] [CrossRef]
- Lépinay, L.M.; Ockeloen-Korppi, C.F.; Malz, D.; Sillanpää, M.A. Nonreciprocal transport based on cavity floquet modes in optomechanics. Phys. Rev. Lett. 2020, 125, 023603. [Google Scholar] [CrossRef]
- Scheucher, M.; Hilico, A.; Will, E.; Volz, J.; Rauschenbeutel, A. Quantum optical circulator controlled by a single chirally coupled atom. Science 2016, 354, 1577–1580. [Google Scholar] [CrossRef] [PubMed]
- Söllner, I.; Mahmoodian, S.; Hansen, S.L.; Midolo, L.; Javadi, A.; Kiršanské, G.; Pregnolato, T.; El-Ella, H.; Lee, E.H.; Song, J.D.; Stobbe, S.; Lodahl, P. Deterministic photon–emitter coupling in chiral photonic circuits. Nat. Nanotechnol. 2015, 10, 775–778. [Google Scholar] [CrossRef]
- Hua, S.; Wen, J.; Jiang, X.; Hua, Q.; Jiang, L.; Xiao, M. Demonstration of a chip-based optical isolator with parametric amplification. Nat. Commun. 2016, 7, 13657. [Google Scholar] [CrossRef] [PubMed]
- Wang, D.W.; Zhou, H.T.; Guo, M.J.; Zhang, J.X.; Evers, J.; Zhu, S.Y. Optical diode made from a 289 moving photonic crystal. Phys. Rev. Lett. 2013, 110, 093901. [Google Scholar] [CrossRef]
- Biancalana, F.; Amann, A.; Uskov, A.V.; O’Reilly, E.P. Dynamics of light propagation in spatiotemporal dielectric structures. Phys. Rev. E 2007, 75, 046607. [Google Scholar] [CrossRef] [PubMed]
- Horsley, S.A.R.; Wu, J.H.; Artoni, M.; La Rocca, G.C. Optical nonreciprocity of cold atom Bragg mirrors in motion. Phys. Rev. Lett. 2013, 110, 223602. [Google Scholar] [CrossRef]
- Yang, P.F.; Xia, X.W.; He, H.; Li, S.K.; Han, X.; Zhang, P.; Li, G.; Zhang, P.F.; Xu, J.P.; Yang, Y.P.; Zhang, T.C. Realization of nonlinear optical nonreciprocity on a few-photon level based on atoms strongly coupled to an asymmetric cavity. Phys. Rev. Lett. 2019, 123, 233604. [Google Scholar] [CrossRef]
- Zhang, S.; Hu, Y.; Lin, G.; Niu, Y.; Xia, K.; Gong, J.; Gong, S. Thermal-motion-induced non-reciprocal quantum optical system. Nat. Photon. 2018, 12, 744–748. [Google Scholar] [CrossRef]
- Lin, G.W.; Zhang, S.C.; Hu, Y.Q.; Niu, Y.P.; Gong, J.B.; Gong, S.Q. Nonreciprocal amplification with four-level hot atoms. Phys. Rev. Lett. 2019, 123, 033902. [Google Scholar] [CrossRef]
- Hu, H.Q.; Zhang, S.H.; Kuang, X.Y.; Qi, Y.H.; Lin, G.W.; Gong, S.Q.; Niu, Y.P. ; Reconfigurable nonreciprocity with low insertion loss using a simple two-level system. Opt. Express 2020, 28, 38710–38717. [Google Scholar] [CrossRef]
- Liang, C.; Liu, B.; Xu, A.N.; Wen, X.; Lu, C.C.; Xia, K.Y.; Tey, M.K.; Liu, Y.C.; You, L. Collision-induced broadband optical nonreciprocity. Phys. Rev. Lett. 2020, 125, 123901. [Google Scholar] [CrossRef] [PubMed]
- Zhou, H.T.; Xie, S.Y.; Li, X.; Wang, D.; Yang, B.D.; and Zhang, J.X. Manipulation of optical nonreciprocity in hot atom-cavity system. J. Phys. B: At. Mol. Opt. Phys. 2021, 54, 195001. [Google Scholar] [CrossRef]
- Harris, S.E.; Field, J.E.; Imamoğlu, A. Nonlinear optical processes using electromagnetically induced transparency. Phys. Rev. Lett. 1990, 64, 1107–1110. [Google Scholar] [CrossRef] [PubMed]
- Khanikaev, A.B.; Alù, A. Nonlinear dynamic reciprocity. Nat. Photon. 2015, 9, 359–361. [Google Scholar] [CrossRef]
- Chen, W.T.; Liu, L.; Zhao, J.; Zhang, C. On-chip broadband, compact TM mode Mach–Zehnder optical isolator based on InP-on-Insulator platforms. Nanomaterials 2024, 14, 709. [Google Scholar] [CrossRef] [PubMed]
- Dawes, A.; Illing, L.; Clark, S.M.; Gauthier, D.J. All-optical switching in rubidium vapor. Science 2005, 29, 672–674. [Google Scholar] [CrossRef] [PubMed]
- Wang, C.Y.; Chen, Y.F.; Lin, S.C.; Lin, W.H.; Kuan, P.C.; Yu, I.A. Low-light-level all-optical switching. Opt. Lett. 2006, 31, 2350–2352. [Google Scholar] [CrossRef] [PubMed]
- Sheng, J.; Khadka, U.; Xiao, M. Realization of All-Optical Multistate Switching in an Atomic Coherent Medium. Phys. Rev. Lett. 2012, 109, 223906. [Google Scholar] [CrossRef] [PubMed]
- Chang, D.E.; Sørensen, A.S.; Demler, E.A.; Lukin, M.D. A single-photon transistor using nanoscale surface plasmons. Nat. Phys. 2007, 3, 807–812. [Google Scholar] [CrossRef]
- Saha, S.; Diroll, B.T.; Ozlu, M. G.; Chowdhury, S. N.; Peana, S.; Kudyshev, Z.; Schaller, R. D.; Jacob, Z.; Shalaev, V. M.; Kildishev, A. V. Engineering the temporal dynamics of all-optical switching with fast and slow materials. Nat. Commun. 2023, 14, 5877. [Google Scholar] [CrossRef]
- Mondal, H.; Goswami, K.; Sen, M.; Khan, W.R. Design and analysis of all-optical logic NOR gate based on linear optics. Opt. Quant. Electron. 2022, 54, 272. [Google Scholar] [CrossRef]
- de Clercq, L.E.; Lo, H.Y.; Marinelli, M.; Nadlinger, D.; Oswald, R.; Negnevitsky, V.; Kienzler, D.; Keitch, B.; Home, J.P. Parallel transport quantum logic gates with trapped ions. Phys. Rev. Lett. 2016, 116, 080502. [Google Scholar] [CrossRef] [PubMed]
- Babazadeh, A.; Erhard, M.; Wang, F.; Malik, M.; Nouroozi, R.; Krenn, M.; Zeilinger, A. High-dimensional single-photon quantum gates: Concepts and experiments. Phys. Rev. Lett. 2017, 119, 180510. [Google Scholar] [CrossRef]
- Zhang, J.X.; Zhou, H.T.; Wang, D.W.; Zhu, S.Y. Enhanced reflection via phase compensation from anomalous dispersion in atomic vapor. Phys. Rev. A 2011, 83, 053841. [Google Scholar] [CrossRef]
- Lezama, A.; Barreiro, S.; Akulshin, A.M. Electromagnetically induced absorption. Phys. Rev. A 1999, 59, 4732–4735. [Google Scholar] [CrossRef]
- Wu, H.B.; Gea-Banacloche, J.; Xiao, M. Observation of intracavity electromagnetically induced transparency and polariton resonances in a Doppler-broadened medium. Phys. Rev. Lett. 2008, 100, 173602. [Google Scholar] [CrossRef]
- Zhou, H.T.; Guo, M.J.; Wang, D.; Gao, J.R.; Zhang, J.X.; Zhu, S.Y. Angular momentum and two-photon detuning dependence of reflection spectrum on degenerate two-level systems in Cs vapour. J. Phys. B: At. Mol. Opt. Phys. 2011, 44, 225503. [Google Scholar] [CrossRef]
- Mücke, M.; Figueroa, E.; Bochmann, J.; Hahn, C.; Murr, K.; Villas-Boas, C.J.; Rempe, G. Electromagnetically induced transparency with single atoms in a cavity. Nature 2010, 465, 755–758. [Google Scholar] [CrossRef]







Disclaimer/Publisher’s Note: The statements, opinions and data contained in all publications are solely those of the individual author(s) and contributor(s) and not of MDPI and/or the editor(s). MDPI and/or the editor(s) disclaim responsibility for any injury to people or property resulting from any ideas, methods, instructions or products referred to in the content. |
© 2024 by the authors. Licensee MDPI, Basel, Switzerland. This article is an open access article distributed under the terms and conditions of the Creative Commons Attribution (CC BY) license (http://creativecommons.org/licenses/by/4.0/).
