Submitted:
07 June 2024
Posted:
10 June 2024
You are already at the latest version
Abstract
Keywords:
1. Introduction
2. Model and Method
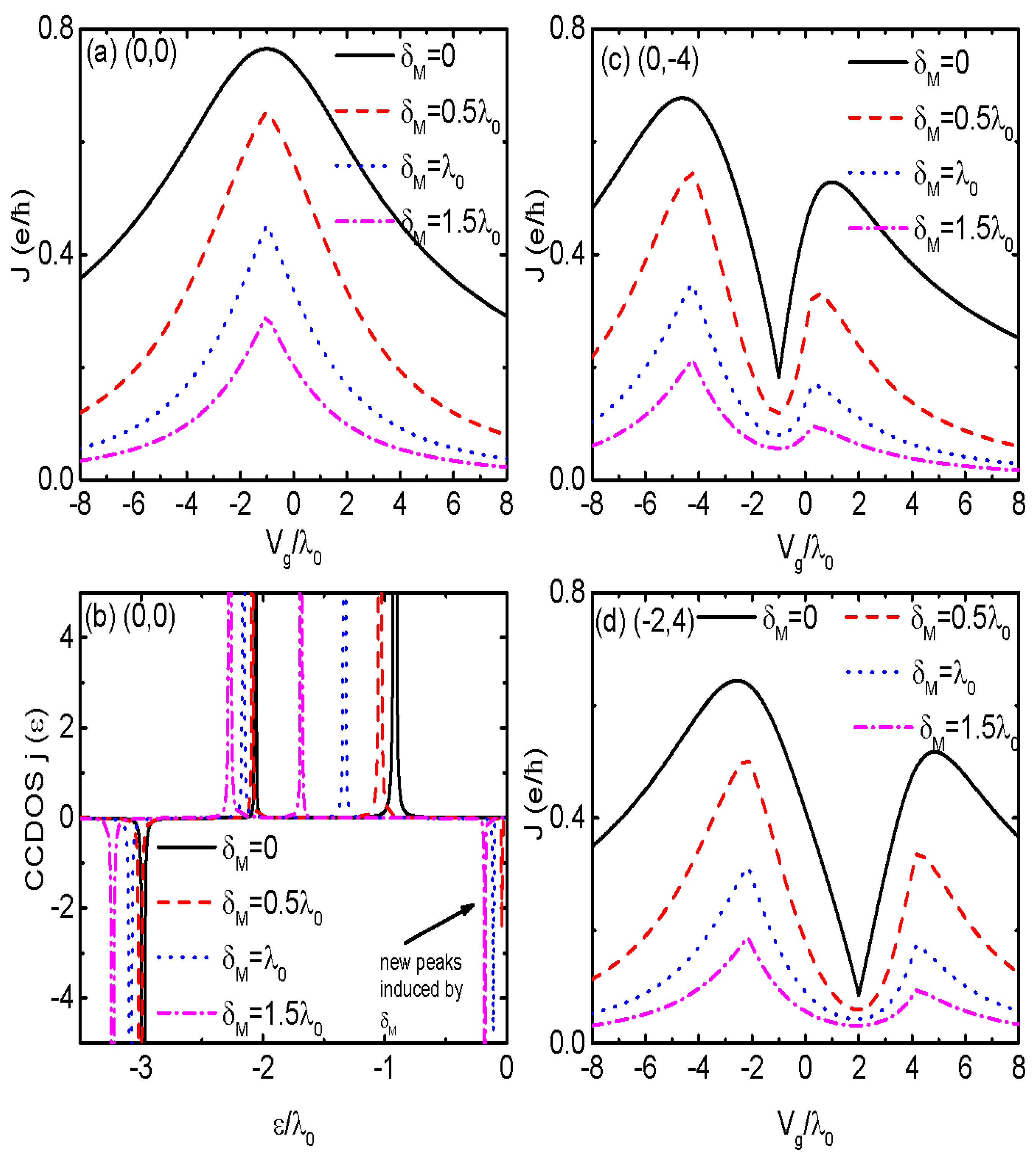
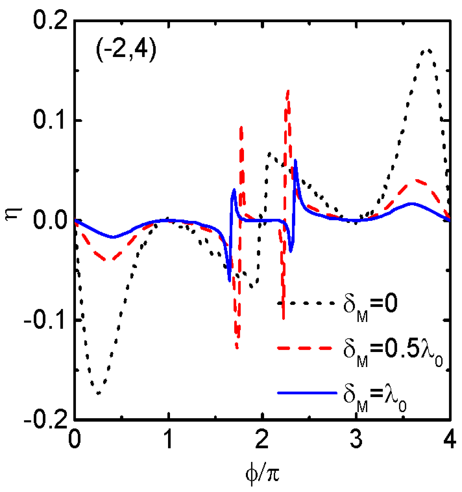
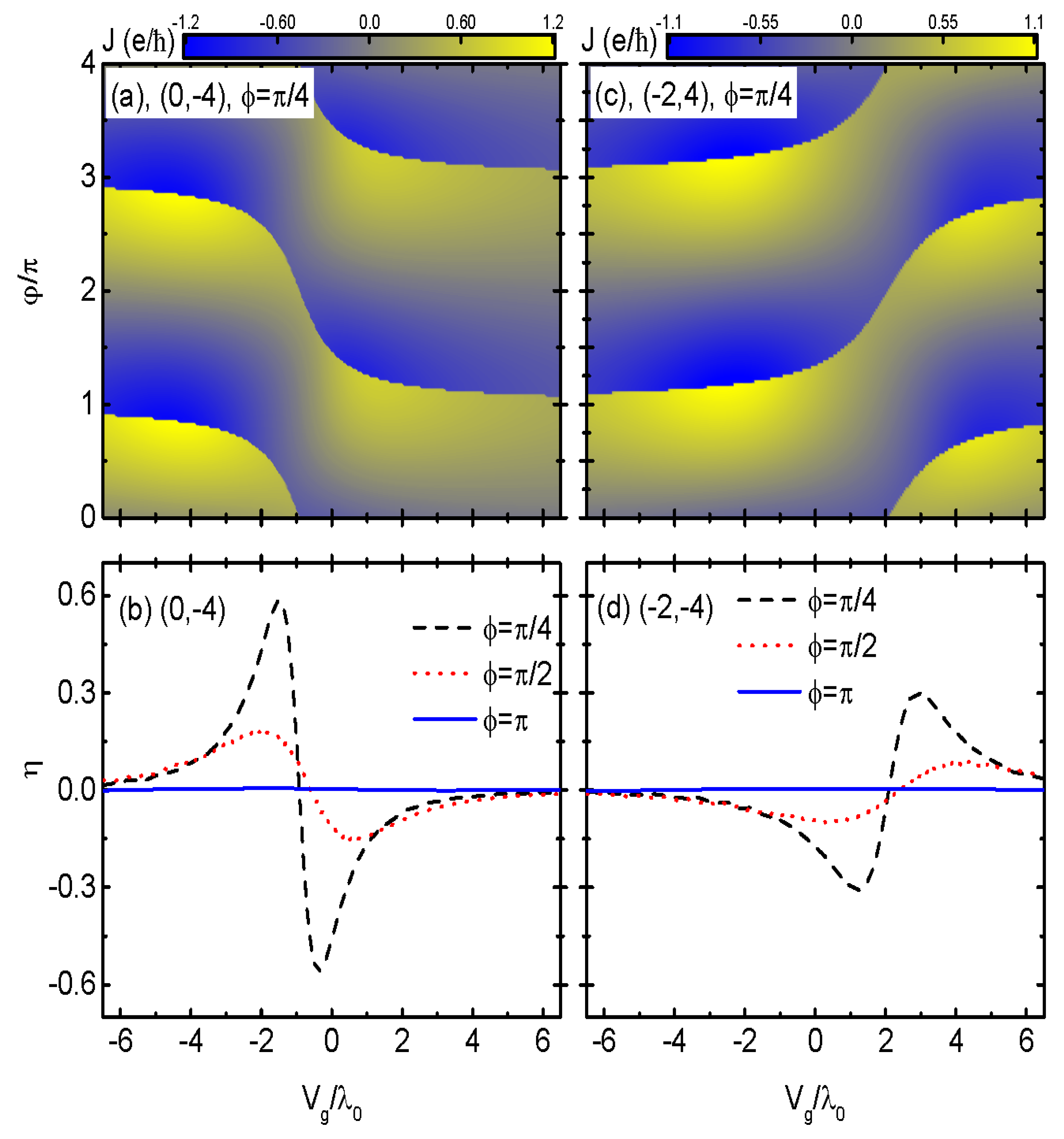
3. Numerical Results
4. Summary
Author Contributions
Funding
Institutional Review Board Statement
Informed Consent Statement
Data Availability Statement
Conflicts of Interest
References
- Hu, J.P.; Wu, C.J.; Dai, X. Proposed Design of a Josephson Diode. Phys. Rev. Lett. 2007, 99, 067004. [Google Scholar] [CrossRef] [PubMed]
- Ando, F.; Miyasaka, Y.; Li, T. et al. Observation of superconducting diode effect. Nature 2020, 584, 373. [Google Scholar] [CrossRef] [PubMed]
- Ideue, T.; Iwasa, Y. One-way supercurrent achieved in an electrically polar film. Nature 2020, 584, 349. [Google Scholar] [CrossRef]
- Jiang, K.; Hu, J. Superconducting diode effects. Nat. Phys. 2022, 18, 1145. [Google Scholar] [CrossRef]
- Pal, B.; Chakraborty, A.; Sivakumar, P.K. et al. Josephson diode effect from Cooper pair momentum in a topological semimetal. Nat. Phys. 2022, 18, 1228. [Google Scholar] [CrossRef] [PubMed]
- Nadeem, M.; Fuhrer, M.S.; Wang, X. The superconducting diode effect. Nat. Rev. Phys. 2023, 5, 558. [Google Scholar] [CrossRef]
- Linder, J.; Robinson, J.W. Superconducting spintronics. Nat. Phys. 2015, 11, 307. [Google Scholar] [CrossRef]
- Braginski, A.I. Superconductor electronics: status and outlook. J. Supercond. Nov. Magn. 2019, 32, 23. [Google Scholar] [CrossRef]
- Yuan, N.F.Q.; Fu, L. Supercurrent diode effect and finite-momentum superconductors. Proc. Natl. Acad. Sci. 2022, 119, e2119548119. [Google Scholar] [CrossRef]
- Legg, H.F.; Loss, D.; Klinovaja, J. Superconducting diode effect due to magnetochiral anisotropy in topological insulators and Rashba nanowires. Phys. Rev. B 2022, 106, 104501. [Google Scholar] [CrossRef]
- Lotfizadeh, N.; Schiela, W.F.; Pekerten, B. et al. Superconducting diode effect sign change in epitaxial Al-InAs Josephson junctions. Commun. Phys. 2024, 120. [Google Scholar] [CrossRef]
- Hess, R.; Legg, Henry, F.; Loss, D.; Klinovaja, J.Josephson transistor from the superconducting diode effect in domain wall and skyrmion magnetic racetracks. Phys. Rev. B 2023, 108, 174516, https://journals.aps.org/prb/abstract/10.1103/PhysRevB.108.174516. [CrossRef]
- Fulton, T.A.; Dynes, R.C. Current-Phase Relations in Superconducting Bridges. Phys. Rev. Lett. 1970, 25, 794, https://journals.aps.org/prl/abstract/10.1103/PhysRevLett.25.794. [Google Scholar] [CrossRef]
- Fulton, T.A.; Dunkleberger, L.N.; Dynes, R.C. Quantum Interference Properties of Double Josephson Junctions. Phys. Rev. B 1972, 6, 855, https://journals.aps.org/prb/abstract/10.1103/PhysRevB.6.855. [Google Scholar] [CrossRef]
- Sivakov, A.G.; Turutanov, O.G.; Kolinko, A.E.; Kolinko, A.S. Pokhila. Spatial characterization of the edge barrier in wide superconducting films. Low. Temp. Phys. 2018, 44, 226, https://pubs.aip.org/aip/ltp/article/44/3/226/252269/Spatial-characterization-of-the-edge-barrier-in. [Google Scholar] [CrossRef]
- Tsang, W.T.; Van Duzer, T. dc analysis of parallel arrays of two and three Josephson junctions. J. Appl. Phys. 1975, 46, 4573, https://pubs.aip.org/aip/jap/article/46/10/4573/7643/dc-analysis-of-parallel-arrays-oftwo-and-three. [Google Scholar] [CrossRef]
- Pillet, V.; Benzoni, J.D.; Griesmar, J. et al. Nonlocal Josephson effect in Andreev molecules. Nano Letters 2019, 19, 7138. [Google Scholar] [CrossRef]
- Maiani, A.; Flensberg, K.; Leijnse, M. et al. Nonsinusoidal current-phase relations in semiconductor-superconductor-ferromagnetic insulator devices. Phys. Rev. B 2023 107, 245415. [CrossRef]
- Ilic, S.; Bergeret, F. S. Theory of the supercurrent diode effect in rashba superconductors with arbitrary disorder. Phys. Rev. Lett. 2022, 128, 177001. [Google Scholar] [CrossRef]
- Gupta, M.; Graziano, G.V.; Pendharkar, M. et al. Gate-tunable superconducting diode effect in a three-terminal Josephson device. Nat. Commun. 2023, 14, 3078. [Google Scholar] [CrossRef] [PubMed]
- Coraiola, M.; Svetogorov, A.E.; Haxell, D.Z. Flux-Tunable Josephson Diode Effect in a Hybrid Four-Terminal Josephson Junction. ACS Nano 2024, 18, 9221. [Google Scholar] [CrossRef] [PubMed]
- Lutchyn, R.M.; Bakkers, E.P.; Kouwenhoven, L.P. Majorana zero modes in superconductor-semiconductor heterostructures. Nat. Rev. Mater. 2018, 3, 52. [Google Scholar] [CrossRef]
- Flensberg, K.; von Oppen, F.; Stern, A. Engineered platforms for topological superconductivity and Majorana zero modes. Nat. Rev. Mater. 2021, 6, 944. [Google Scholar] [CrossRef]
- Prada, E.; Aguado, R.; San-Jose, P. Measuring Majorana nonlocality and spin structure with a quantum dot. Phys. Rev. B 2017, 96, 085418. [Google Scholar] [CrossRef]
- Qi, X.L.; Zhang, S.C. Topological insulators and superconductors. Rev. Mod. Phys. 2011, 83, 1057. [Google Scholar] [CrossRef]
- Alicea, J.; Oreg, Y.; Refael, G. Non-abelian statistics and topological quantum information processing in 1d wire networks. Nat. Phys. 2011, 7, 412. [Google Scholar] [CrossRef]
- Lian, B.; Sun, X.Q.; Vaezi, A.; Zhang, S.C. Topological quantum computation based on chiral Majorana fermions. Proc. Natl. Acad. Sci. 2018, 115, 10938. [Google Scholar] [CrossRef] [PubMed]
- Lopez, R.; Lee, M.; Serra, L.; Lim, J. Thermoelectrical detection of majorana states. Phys. Rev. B 2014, 89, 205418. [Google Scholar] [CrossRef]
- Chi, F.; Fu, Z.G.; Liu, J.; Li, K.; Wang, Z.; Zhang, P. Thermoelectric effect in a quantum dot side-coupled to majorana bound states. Nanoscale Res. Lett. 2020, 15, 79. [Google Scholar] [CrossRef] [PubMed]
- Hong, L.; Chi, F.; Fu, Z.G.; Hou, Y.F.; Wang, Z. Large enhancement of thermoelectric effect by majorana bound states coupled to a quantum dot. J. Appl. Phys. 2020, 127, 124302. [Google Scholar] [CrossRef]
- Liu, X.; Li, X.; Deng, D.L.; Liu, X.J.; Das, S.D. Majorana spintronics. Phys. Rev. B 2016, 94, 014511. [Google Scholar] [CrossRef]
- Xu, L.T.; Li, X.Q.; Sun, Q.F. Majorana dc Josephson current mediated by a quantum dot. J. Phys. Condens. Matter 2017, 29, 195301. [Google Scholar] [CrossRef]
- Stefanski, P. Properties of the Majorana-state tunneling Josephson junction mediated by an interacting quantum dot. J. Phys. Condens. Matter 2019, 31, 185301. [Google Scholar] [CrossRef]
- Chi, F.; Jia, Q.S.; Liu, J.; Gao, Q.G.; Yi, Z.C.; Liu, L.M. Enhancement of the Josephson Current in a Quantum Dot Connected to Majorana Nanowires. Nanomaterials 2023, 13, 1482. [Google Scholar] [CrossRef]
- Zhang, H.R.; Sun, L.L.; Liu, J. Josephson dc Current through T-Shaped Double-Quantum-Dots Hybridized to Majorana Nanowires. Coatings 2023, 13, 523. [Google Scholar] [CrossRef]
- Gao, Y.; Zhang, X. Tunable Josephson Current through a Semiconductor Quantum Dot Hybridized to Majorana Trijunction. Coatings 2023, 13, 1627. [Google Scholar] [CrossRef]
- Sun, Q.F.; Wang, J.; Lin, T.H. Photon-assisted andreev tunneling through a mesoscopic hybrid system. Phys. Rev. B 1999, 59, 13126. [Google Scholar] [CrossRef]
- Sun, Q.F.; Wang, J.; Lin, T.H. Control of the supercurrent in a mesoscopic four-terminal Josephson junction. Phys. Rev. B 2000, 62, 648. [Google Scholar] [CrossRef]
- Zhu, Y.; Sun, Q.F.; Lin, T.H. Andreev bound states and the π-junction transition in a superconductor/quantum-dot/superconductor system. J. Phys. Condens. Matter 2001, 13, 8783. [Google Scholar] [CrossRef]
- Pan, H.; Lin, T.H. Control of the supercurrent through a parallel-coupled double quantum dot system. Phys. Rev. B 2006, 74, 235312. [Google Scholar] [CrossRef]
- Cheng, S.G.; Sun, Q.F. Josephson current transport through T-shaped double quantum dots. J. Phys. Condens. Matter 2008, 20, 505202. [Google Scholar] [CrossRef]
- Hofstetter, L.; Csonka, S.; Nygard, J. et al. Cooper pair splitter realized in a two-quantum-dot Y-junction. Nature 2009, 461, 960. [Google Scholar] [CrossRef]
- Deacon, R.; Oiwa, A.; Sailer, J. et al. Cooper pair splitting in parallel quantum dot Josephson junctions. Nat. Commun. 2015, 6, 7446. [Google Scholar] [CrossRef]
- Debbarma, R.; Aspegren, M.; Bostrom, F.V. et al. Josephson Current via Spin and Orbital States of a Tunable Double Quantum Dot, Phys. Rev. B 2022, 106, L180507. https://journals.aps.org/prb/pdf/10.1103/PhysRevB.106.L180507.
- Sun, Y.F.; Mao, Y.; Sun, Q.F. Design of Josephson diode based on magnetic impurity. Phys. Rev. B 2023, 108, 214519. [Google Scholar] [CrossRef]
- Giazotto, F.; Martinez-Perez, M. The Josephson heat interferometer. Nature 2012, 492, 401. [Google Scholar] [CrossRef]
- Souto, R.S.; Leijnse, M.; Schrade, C. Josephson Diode Effect in Supercurrent Interferometers. Phys. Rev. Lett. 2022, 129, 267702. [Google Scholar] [CrossRef]
- Dvir, T.; Wang, G.; van Loo, N. et al. Realization of a minimal Kitaev chain in coupled quantum dots. Nature, 2023, 614, 445. [Google Scholar] [CrossRef]
- Debbarma, R.; Tsintzis, A.; Aspegren, M. et al. Josephson Junction π-0 Transition Induced by Orbital Hybridization in a Double Quantum Dot. Phys. Rev. Lett. 2023, 131, 256001. [Google Scholar] [CrossRef]
- Flensberg, K. Tunneling characteristics of a chain of Majorana bound states. Phys. Rev. B 2010, 82, 180516(R). [Google Scholar] [CrossRef]
- Liu, D.E.; Baranger, H.U. Detecting a majorana-fermion zero mode using a quantum dot. Phys. Rev. B 2011, 84, 201308R. [Google Scholar] [CrossRef]





Disclaimer/Publisher’s Note: The statements, opinions and data contained in all publications are solely those of the individual author(s) and contributor(s) and not of MDPI and/or the editor(s). MDPI and/or the editor(s) disclaim responsibility for any injury to people or property resulting from any ideas, methods, instructions or products referred to in the content. |
© 2024 by the authors. Licensee MDPI, Basel, Switzerland. This article is an open access article distributed under the terms and conditions of the Creative Commons Attribution (CC BY) license (http://creativecommons.org/licenses/by/4.0/).
