Submitted:
07 June 2024
Posted:
10 June 2024
Read the latest preprint version here
Abstract
Keywords:
1. Introduction
- Supervised Learning: These algorithms treat anomaly detection as an imbalanced binary classification problem. This approach suffers from the scarcity of abnormal samples and the high cost of labeling. To deal with the problems, various methods were proposed to generate anomalous samples so as to alleviate the labeling cost. For example, CutPaste[10] and DRAEM[11] manually construct anomalous samples; SimpleNet[12] samples anomalous features near positive sample features; NSA[13] and GRAD[14] synthesize anomalous samples based on normal samples. Despite the diversity of anomaly generation methods, they consistently fail to address the underlying issue of discrepancies between the distributions of generated and real data. [15,16,17]
- Unsupervised Learning: These algorithms operate under the assumption that the data follow a normal distribution. For example, SROC [18] and SRR [19] rely on this assumption to identify and remove minor anomalies from the normal data. When combined with semi-supervised learning techniques, these algorithms achieve enhanced performance.
-
Semi-supervised Learning:Concentration assumption, which suppose that the normal data are usually bounded if the features extracted are good enough, is commonly used when designing semi-supervised learning AD&S method.These algorithms requires only labels for normal data and assumes boundaries in the normal data distribution for anomaly detection. Examples include: Autoencoder-based [20,21,22], GAN-based [20,23,24,25],Flow-based[26,27,28,29,30], and SVDD-based [31,32,33]. Some memory bank based methods(MBBM)[16,17,34,35,36,37] that combine pre-trained features from deep neural networks with traditional semi-supervised algorithms have achieved particularly outstanding results and also possess strong interpretability. In rough chronological order, we summarize the main related algorithms as follows:
- (a)
- (b)
- SPADE, building on DN2, [35] employs Feature Pyramid Matching to achieve image AD&S.
- (c)
- PaDiM [36] models pre-trained feature patches with Gaussian distributions for better AD&S performance.
- (d)
- Panda [33] sets subtasks based on pre-trained features for model tuning, to achieve better feature extraction and improve model performance.
- (e)
- Methodological Clarification (PatchCore and BTF): We compare and analyze the theoretical framework and official implementation of PatchCore and BTF, then identify and correct some careless errors found in the paper or code, while clarifying the framework of BTM. The correction of the details is important for subsequent research.
- Distance Metric Analysis: We visualized and analyzed the distance measure in the anomaly scoring algorithm, providing initial insights into its strengths and weaknesses. Based on these analyses, we also propose some assumption.
- Method Proposed: On the basis of BTF, a method named Back to the Metrics (BTM) is proposed in Section 2.1, which achieves the performance improvement of (I-AUROC 5.7% ↑, AURPO 0.5% ↑, and P-AUROC 0.2% ↑). It is also competitive against other leading methods.
- Section 2 optimizes the nearest neighbor feature fusion, feature alignment and distance metric based on BTF, and proposes the BTM method. Then, the basis of modification is introduced, including a summary of the framework of MBBM method, and an analysis of the implementation details of MBBM (anomaly score calculation, feature fusion and downsampling method)
- Section 4 summarizes the conclusions drawn in this work and explores future research directions.
2. Methodology
2.1. Back to the Metric
2.1.1. Framework
2.1.2. Optimization
2.2. The Structure of Memory Bank Based Methods(MBBM)
2.2.1. Anomaly Score Metrics
2.2.2. Feature Fusion
2.2.3. the Iterative Greedy Approximation Algorithm
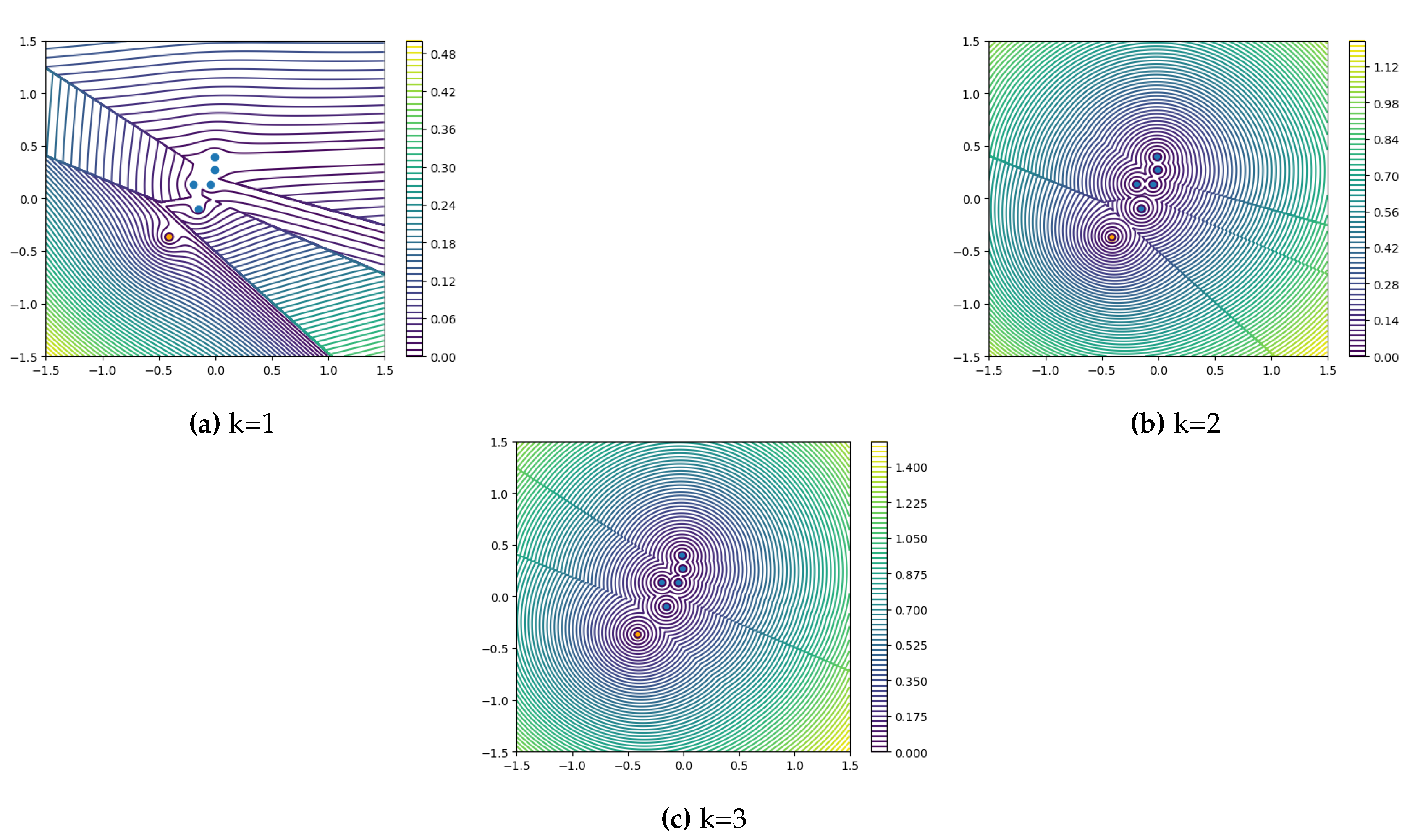
2.3. Visualization Analysis of Different Metrics
2.3.1. k-Nearest Neighbor Squared Distance Mean
2.3.2. PatchCore Anomaly Score Calculation Function
2.3.3. Summarize
3. Experiments
3.1. Datasets
3.2. Evaluation Metrics
3.3. Implementation Details
3.4. Performance Comparison
3.4.1. Anomaly Detection on MVTec-3D AD
3.4.2. Anomaly Segmentation on MVTec-3D AD
3.5. Performance of kNN Reweight Metrics on BTF
3.6. Performance of kNN Squared Distance Mean Metrics on BTF
4. Discussion
5. Conclusions
Author Contributions
Funding
Institutional Review Board Statement
Informed Consent Statement
Data Availability Statement
Acknowledgments
Conflicts of Interest
Abbreviations
| MDPI | Multidisciplinary Digital Publishing Institute |
| SVDD | Support Vector Data Description |
| GAN | Generative Adversarial Network |
Appendix A. Formula Mentioned in the Original Article of PatchCore
Appendix A.1. Expressed in the Original Article
Appendix A.2. Expressed in Our Context
References
- Chandola, V.; Banerjee, A.; Kumar, V. Anomaly detection: A survey. ACM computing surveys (CSUR) 2009, 41, 1–58. [Google Scholar] [CrossRef]
- Ruff, L.; Kauffmann, J.R.; Vandermeulen, R.A.; Montavon, G.; Samek, W.; Kloft, M.; Dietterich, T.G.; Müller, K.R. A unifying review of deep and shallow anomaly detection. Proceedings of the IEEE 2021, 109, 756–795. [Google Scholar] [CrossRef]
- Rippel, O.; Merhof, D. Anomaly Detection for Automated Visual Inspection: A Review. <italic>Bildverarbeitung in der Automation: Ausgewählte Beiträge des Jahreskolloquiums BVAu 2022</italic> <bold>2023</bold>, pp. 1–13.
- Liu, J.; Xie, G.; Wang, J.; Li, S.; Wang, C.; Zheng, F.; Jin, Y. Deep industrial image anomaly detection: A survey. Machine Intelligence Research 2024, 21, 104–135. [Google Scholar] [CrossRef]
- Bergmann, P.; Fauser, M.; Sattlegger, D.; Steger, C. MVTec AD–A comprehensive real-world dataset for unsupervised anomaly detection. Proceedings of the IEEE/CVF conference on computer vision and pattern recognition, 2019, pp. 9592–9600. [CrossRef]
- Bergmann, P.; Batzner, K.; Fauser, M.; Sattlegger, D.; Steger, C. The MVTec anomaly detection dataset: a comprehensive real-world dataset for unsupervised anomaly detection. International Journal of Computer Vision 2021, 129, 1038–1059. [Google Scholar] [CrossRef]
- Mishra, P.; Verk, R.; Fornasier, D.; Piciarelli, C.; Foresti, G.L. VT-ADL: A vision transformer network for image anomaly detection and localization. 2021 IEEE 30th International Symposium on Industrial Electronics (ISIE). IEEE, 2021, pp. 01–06. [CrossRef]
- Huang, Y.; Qiu, C.; Yuan, K. Surface defect saliency of magnetic tile. The Visual Computer 2020, 36, 85–96. [Google Scholar] [CrossRef]
- Bergmann, P.; Batzner, K.; Fauser, M.; Sattlegger, D.; Steger, C. Beyond dents and scratches: Logical constraints in unsupervised anomaly detection and localization. International Journal of Computer Vision 2022, 130, 947–969. [Google Scholar] [CrossRef]
- Li, C.L.; Sohn, K.; Yoon, J.; Pfister, T. Cutpaste: Self-supervised learning for anomaly detection and localization. Proceedings of the IEEE/CVF conference on computer vision and pattern recognition, 2021, pp. 9664–9674. [CrossRef]
- Zavrtanik, V.; Kristan, M.; Skočaj, D. Draem-a discriminatively trained reconstruction embedding for surface anomaly detection. Proceedings of the IEEE/CVF International Conference on Computer Vision, 2021, pp. 8330–8339. [CrossRef]
- Liu, Z.; Zhou, Y.; Xu, Y.; Wang, Z. Simplenet: A simple network for image anomaly detection and localization. Proceedings of the IEEE/CVF Conference on Computer Vision and Pattern Recognition, 2023, pp. 20402–20411. [CrossRef]
- Schlüter, H.M.; Tan, J.; Hou, B.; Kainz, B. Natural synthetic anomalies for self-supervised anomaly detection and localization. European Conference on Computer Vision. Springer, 2022, pp. 474–489. [CrossRef]
- Dai, S.; Wu, Y.; Li, X.; Xue, X. Generating and reweighting dense contrastive patterns for unsupervised anomaly detection. Proceedings of the AAAI Conference on Artificial Intelligence, 2024, Vol. 38, pp. 1454–1462. [CrossRef]
- Ye, Z.; Chen, Y.; Zheng, H. Understanding the effect of bias in deep anomaly detection. arXiv preprint arXiv:2105.07346, arXiv:2105.07346 2021.
- Rippel, O.; Mertens, P.; König, E.; Merhof, D. Gaussian anomaly detection by modeling the distribution of normal data in pretrained deep features. IEEE Transactions on Instrumentation and Measurement 2021, 70, 1–13. [Google Scholar] [CrossRef]
- Rippel, O.; Mertens, P.; Merhof, D. Modeling the distribution of normal data in pre-trained deep features for anomaly detection. 2020 25th International Conference on Pattern Recognition (ICPR). IEEE, 2021, pp. 6726–6733. [CrossRef]
- Cordier, A.; Missaoui, B.; Gutierrez, P. Data refinement for fully unsupervised visual inspection using pre-trained networks. arXiv preprint arXiv:2202.12759, arXiv:2202.12759 2022.
- Yoon, J.; Sohn, K.; Li, C.L.; Arik, S.O.; Lee, C.Y.; Pfister, T. Self-supervise, refine, repeat: Improving unsupervised anomaly detection. arXiv preprint arXiv:2106.06115, arXiv:2106.06115 2021.
- Davletshina, D.; Melnychuk, V.; Tran, V.; Singla, H.; Berrendorf, M.; Faerman, E.; Fromm, M.; Schubert, M. Unsupervised anomaly detection for X-ray images. arXiv preprint arXiv:2001.10883, arXiv:2001.10883 2020.
- Nguyen, D.T.; Lou, Z.; Klar, M.; Brox, T. Anomaly detection with multiple-hypotheses predictions. International Conference on Machine Learning. PMLR, 2019, pp. 4800–4809. [CrossRef]
- Sakurada, M.; Yairi, T. Anomaly detection using autoencoders with nonlinear dimensionality reduction. Proceedings of the MLSDA 2014 2nd workshop on machine learning for sensory data analysis, 2014, pp. 4–11.
- Pidhorskyi, S.; Almohsen, R.; Doretto, G. Generative probabilistic novelty detection with adversarial autoencoders. Advances in neural information processing systems 2018, 31. [Google Scholar]
- Sabokrou, M.; Khalooei, M.; Fathy, M.; Adeli, E. Adversarially learned one-class classifier for novelty detection. Proceedings of the IEEE conference on computer vision and pattern recognition, 2018, pp. 3379–3388. [CrossRef]
- Akcay, S.; Atapour-Abarghouei, A.; Breckon, T.P. Ganomaly: Semi-supervised anomaly detection via adversarial training. Computer Vision–ACCV 2018: 14th Asian Conference on Computer Vision, Perth, Australia, December 2–6, 2018, Revised Selected Papers, Part III 14. Springer, 2019, pp. 622–637.
- Rudolph, M.; Wandt, B.; Rosenhahn, B. Same same but differnet: Semi-supervised defect detection with normalizing flows. Proceedings of the IEEE/CVF winter conference on applications of computer vision, 2021, pp. 1907–1916.
- Gudovskiy, D.; Ishizaka, S.; Kozuka, K. Cflow-ad: Real-time unsupervised anomaly detection with localization via conditional normalizing flows. Proceedings of the IEEE/CVF winter conference on applications of computer vision, 2022, pp. 98–107.
- Rudolph, M.; Wehrbein, T.; Rosenhahn, B.; Wandt, B. Fully convolutional cross-scale-flows for image-based defect detection. Proceedings of the IEEE/CVF Winter Conference on Applications of Computer Vision, 2022, pp. 1088–1097.
- Zhou, Y.; Xu, X.; Song, J.; Shen, F.; Shen, H.T. MSFlow: Multiscale Flow-Based Framework for Unsupervised Anomaly Detection. IEEE Transactions on Neural Networks and Learning Systems 2024. [Google Scholar] [CrossRef] [PubMed]
- Yu, J.; Zheng, Y.; Wang, X.; Li, W.; Wu, Y.; Zhao, R.; Wu, L. Fastflow: Unsupervised anomaly detection and localization via 2d normalizing flows. arXiv preprint arXiv:2111.07677, arXiv:2111.07677 2021.
- Ruff, L.; Vandermeulen, R.A.; Görnitz, N.; Binder, A.; Müller, E.; Müller, K.R.; Kloft, M. Deep semi-supervised anomaly detection. arXiv preprintarXiv:1906.02694 2019.
- Yi, J.; Yoon, S. Patch svdd: Patch-level svdd for anomaly detection and segmentation. Proceedings of the Asian conference on computer vision, 2020. [CrossRef]
- Reiss, T.; Cohen, N.; Bergman, L.; Hoshen, Y. Panda: Adapting pretrained features for anomaly detection and segmentation. Proceedings of the IEEE/CVF Conference on Computer Vision and Pattern Recognition, 2021, pp. 2806–2814. [CrossRef]
- Bergman, L.; Cohen, N.; Hoshen, Y. Deep nearest neighbor anomaly detection. arXiv preprint arXiv:2002.10445, arXiv:2002.10445 2020.
- Cohen, N.; Hoshen, Y. Sub-image anomaly detection with deep pyramid correspondences. arXiv preprint arXiv:2005.02357, arXiv:2005.02357 2020.
- Defard, T.; Setkov, A.; Loesch, A.; Audigier, R. Padim: a patch distribution modeling framework for anomaly detection and localization. International Conference on Pattern Recognition. Springer, 2021, pp. 475–489. [CrossRef]
- Roth, K.; Pemula, L.; Zepeda, J.; Schölkopf, B.; Brox, T.; Gehler, P. Towards total recall in industrial anomaly detection. Proceedings of the IEEE/CVF Conference on Computer Vision and Pattern Recognition, 2022, pp. 14318–14328.
- D’oro, P.; Nasca, E.; Masci, J.; Matteucci, M. Group anomaly detection via graph autoencoders. NIPS Workshop, 2019, Vol. 2.
- Hyun, J.; Kim, S.; Jeon, G.; Kim, S.H.; Bae, K.; Kang, B.J. ReConPatch: Contrastive patch representation learning for industrial anomaly detection. Proceedings of the IEEE/CVF Winter Conference on Applications of Computer Vision, 2024, pp. 2052–2061.
- Muhr, D.; Affenzeller, M.; Küng, J. A Probabilistic Transformation of Distance-Based Outliers. Machine Learning and Knowledge Extraction 2023. [Google Scholar] [CrossRef]
- Bergmann, P.; Jin, X.; Sattlegger, D.; Steger, C. The MVTec 3D-AD Dataset for Unsupervised 3D Anomaly Detection and Localization. Proceedings of the 17th International Joint Conference on Computer Vision, Imaging and Computer Graphics Theory and Applications. SCITEPRESS - Science and Technology Publications, 2022, pp. 202–213. [CrossRef]
- Bergmann, P.; Sattlegger, D. Anomaly detection in 3d point clouds using deep geometric descriptors. Proceedings of the IEEE/CVF Winter Conference on Applications of Computer Vision, 2023, pp. 2613–2623.
- Rudolph, M.; Wehrbein, T.; Rosenhahn, B.; Wandt, B. Asymmetric student-teacher networks for industrial anomaly detection. Proceedings of the IEEE/CVF winter conference on applications of computer vision, 2023, pp. 2592–2602.
- Horwitz, E.; Hoshen, Y. Back to the feature: classical 3d features are (almost) all you need for 3d anomaly detection. Proceedings of the IEEE/CVF Conference on Computer Vision and Pattern Recognition, 2023, pp. 2967–2976.
- Wang, Y.; Peng, J.; Zhang, J.; Yi, R.; Wang, Y.; Wang, C. Multimodal industrial anomaly detection via hybrid fusion. Proceedings of the IEEE/CVF Conference on Computer Vision and Pattern Recognition, 2023, pp. 8032–8041.
- Zavrtanik, V.; Kristan, M.; Skočaj, D. Cheating Depth: Enhancing 3D Surface Anomaly Detection via Depth Simulation. Proceedings of the IEEE/CVF Winter Conference on Applications of Computer Vision, 2024, pp. 2164–2172.
- Chu, Y.M.; Liu, C.; Hsieh, T.I.; Chen, H.T.; Liu, T.L. Shape-guided dual-memory learning for 3D anomaly detection. Proceedings of the 40th International Conference on Machine Learning, 2023, pp. 6185–6194.
- Peterson, L.E. K-nearest neighbor. Scholarpedia 2009, 4, 1883. [Google Scholar] [CrossRef]
- Sener, O.; Savarese, S. Active Learning for Convolutional Neural Networks: A Core-Set Approach. International Conference on Learning Representations, 2018.









| Method | Bagel | Cable Gland | Carrot | Cookie | Dowel | Foam | Peach | Potato | Rope | Tire | Mean | |
|---|---|---|---|---|---|---|---|---|---|---|---|---|
| 3D | Depth GAN [41] | 0.538 | 0.372 | 0.580 | 0.603 | 0.430 | 0.534 | 0.642 | 0.601 | 0.443 | 0.577 | 0.532 |
| Depth AE [41] | 0.648 | 0.502 | 0.650 | 0.488 | 0.805 | 0.522 | 0.712 | 0.529 | 0.540 | 0.552 | 0.595 | |
| Depth VM [41] | 0.513 | 0.551 | 0.477 | 0.581 | 0.617 | 0.716 | 0.450 | 0.421 | 0.598 | 0.623 | 0.555 | |
| Voxel GAN [41] | 0.680 | 0.324 | 0.565 | 0.399 | 0.497 | 0.482 | 0.566 | 0.579 | 0.601 | 0.482 | 0.517 | |
| Voxel AE [41] | 0.510 | 0.540 | 0.384 | 0.693 | 0.446 | 0.632 | 0.550 | 0.494 | 0.721 | 0.413 | 0.538 | |
| Voxel VM [41] | 0.553 | 0.772 | 0.484 | 0.701 | 0.751 | 0.578 | 0.480 | 0.466 | 0.689 | 0.611 | 0.609 | |
| 3D-ST | 0.862 | 0.484 | 0.832 | 0.894 | 0.848 | 0.663 | 0.763 | 0.687 | 0.958 | 0.486 | 0.748 | |
| M3DM [45] | 0.941 | 0.651 | 0.965 | 0.969 | 0.905 | 0.760 | 0.880 | 0.974 | 0.926 | 0.765 | 0.874 | |
| FPFH(BTF) [44] | 0.820 | 0.533 | 0.877 | 0.769 | 0.718 | 0.574 | 0.774 | 0.895 | 0.990 | 0.582 | 0.753 | |
| FPFH(BTM) | 0.939 | 0.553 | 0.916 | 0.844 | 0.823 | 0.588 | 0.718 | 0.928 | 0.976 | 0.633 | 0.792 | |
| RGB | PatchCore [45] | 0.876 | 0.880 | 0.791 | 0.682 | 0.912 | 0.701 | 0.695 | 0.618 | 0.841 | 0.702 | 0.770 |
| M3DM [45] | 0.944 | 0.918 | 0.896 | 0.749 | 0.959 | 0.767 | 0.919 | 0.648 | 0.938 | 0.767 | 0.850 | |
| RGB iNet(BTF) [44] | 0.854 | 0.840 | 0.824 | 0.687 | 0.974 | 0.716 | 0.713 | 0.593 | 0.920 | 0.724 | 0.785 | |
| RGB iNet(BTM) | 0.909 | 0.895 | 0.838 | 0.745 | 0.975 | 0.714 | 0.79 | 0.605 | 0.93 | 0.759 | 0.816 | |
| RGB+3D | Depth GAN [41] | 0.530 | 0.376 | 0.607 | 0.603 | 0.497 | 0.484 | 0.595 | 0.489 | 0.536 | 0.521 | 0.523 |
| Depth AE [41] | 0.468 | 0.731 | 0.497 | 0.673 | 0.534 | 0.417 | 0.485 | 0.549 | 0.564 | 0.546 | 0.546 | |
| Depth VM [41] | 0.510 | 0.542 | 0.469 | 0.576 | 0.609 | 0.699 | 0.450 | 0.419 | 0.668 | 0.520 | 0.546 | |
| Voxel GAN [41] | 0.383 | 0.623 | 0.474 | 0.639 | 0.564 | 0.409 | 0.617 | 0.427 | 0.663 | 0.577 | 0.537 | |
| Voxel AE [41] | 0.693 | 0.425 | 0.515 | 0.790 | 0.494 | 0.558 | 0.537 | 0.484 | 0.639 | 0.583 | 0.571 | |
| Voxel VM [41] | 0.750 | 0.747 | 0.613 | 0.738 | 0.823 | 0.693 | 0.679 | 0.652 | 0.609 | 0.690 | 0.699 | |
| M3DM* | 0.998 | 0.894 | 0.96 | 0.963 | 0.954 | 0.901 | 0.958 | 0.868 | 0.962 | 0.797 | 0.926 | |
| BTF [44] | 0.938 | 0.765 | 0.972 | 0.888 | 0.960 | 0.664 | 0.904 | 0.929 | 0.982 | 0.726 | 0.873 | |
| BTM | 0.980 | 0.860 | 0.980 | 0.963 | 0.978 | 0.726 | 0.958 | 0.953 | 0.980 | 0.926 | 0.930 |
| Method | Bagel | Cable Gland | Carrot | Cookie | Dowel | Foam | Peach | Potato | Rope | Tire | Mean | |
|---|---|---|---|---|---|---|---|---|---|---|---|---|
| 3D | Depth GAN[41] | 0.111 | 0.072 | 0.212 | 0.174 | 0.160 | 0.128 | 0.003 | 0.042 | 0.446 | 0.075 | 0.143 |
| Depth AE[41] | 0.147 | 0.069 | 0.293 | 0.217 | 0.207 | 0.181 | 0.164 | 0.066 | 0.545 | 0.142 | 0.203 | |
| Depth VM[41] | 0.280 | 0.374 | 0.243 | 0.526 | 0.485 | 0.314 | 0.199 | 0.388 | 0.543 | 0.385 | 0.374 | |
| Voxel GAN[41] | 0.440 | 0.453 | 0.875 | 0.755 | 0.782 | 0.378 | 0.392 | 0.639 | 0.775 | 0.389 | 0.583 | |
| Voxel AE[41] | 0.260 | 0.341 | 0.581 | 0.351 | 0.502 | 0.234 | 0.351 | 0.658 | 0.015 | 0.185 | 0.348 | |
| Voxel VM[41] | 0.453 | 0.343 | 0.521 | 0.697 | 0.680 | 0.284 | 0.349 | 0.634 | 0.616 | 0.346 | 0.492 | |
| 3D-ST[42] | 0.950 | 0.483 | 0.986 | 0.921 | 0.905 | 0.632 | 0.945 | 0.988 | 0.976 | 0.542 | 0.833 | |
| M3DM [45] | 0.943 | 0.818 | 0.977 | 0.882 | 0.881 | 0.743 | 0.958 | 0.974 | 0.95 | 0.929 | 0.906 | |
| FPFH(BTF) [44] | 0.972 | 0.849 | 0.981 | 0.939 | 0.963 | 0.693 | 0.975 | 0.981 | 0.980 | 0.949 | 0.928 | |
| FPFH(BTM) | 0.974 | 0.861 | 0.981 | 0.937 | 0.959 | 0.661 | 0.978 | 0.983 | 0.98 | 0.947 | 0.926 | |
| RGB | PatchCore [45] | 0.901 | 0.949 | 0.928 | 0.877 | 0.892 | 0.563 | 0.904 | 0.932 | 0.908 | 0.906 | 0.876 |
| M3DM [45] | 0.952 | 0.972 | 0.973 | 0.891 | 0.932 | 0.843 | 0.97 | 0.956 | 0.968 | 0.966 | 0.942 | |
| RGB iNet(BTF) [44] | 0.898 | 0.948 | 0.927 | 0.872 | 0.927 | 0.555 | 0.902 | 0.931 | 0.903 | 0.899 | 0.876 | |
| RGB iNet(BTM) | 0.901 | 0.958 | 0.942 | 0.905 | 0.951 | 0.615 | 0.906 | 0.938 | 0.927 | 0.916 | 0.896 | |
| RGB+3D | Depth GAN[41] | 0.421 | 0.422 | 0.778 | 0.696 | 0.494 | 0.252 | 0.285 | 0.362 | 0.402 | 0.631 | 0.474 |
| Depth AE[41] | 0.432 | 0.158 | 0.808 | 0.491 | 0.841 | 0.406 | 0.262 | 0.216 | 0.716 | 0.478 | 0.481 | |
| Depth VM[41] | 0.388 | 0.321 | 0.194 | 0.570 | 0.408 | 0.282 | 0.244 | 0.349 | 0.268 | 0.331 | 0.335 | |
| Voxel GAN[41] | 0.664 | 0.620 | 0.766 | 0.740 | 0.783 | 0.332 | 0.582 | 0.790 | 0.633 | 0.483 | 0.639 | |
| Voxel AE[41] | 0.467 | 0.750 | 0.808 | 0.550 | 0.765 | 0.473 | 0.721 | 0.918 | 0.019 | 0.170 | 0.564 | |
| Voxel VM[41] | 0.510 | 0.331 | 0.413 | 0.715 | 0.680 | 0.279 | 0.300 | 0.507 | 0.611 | 0.366 | 0.471 | |
| M3DM* | 0.966 | 0.971 | 0.978 | 0.949 | 0.941 | 0.92 | 0.977 | 0.967 | 0.971 | 0.973 | 0.961 | |
| BTF [44] | 0.976 | 0.967 | 0.979 | 0.974 | 0.971 | 0.884 | 0.976 | 0.981 | 0.959 | 0.971 | 0.964 | |
| BTM | 0.979 | 0.972 | 0.980 | 0.976 | 0.977 | 0.905 | 0.978 | 0.982 | 0.968 | 0.975 | 0.969 |
| Method | Bagel | Cable Gland | Carrot | Cookie | Dowel | Foam | Peach | Potato | Rope | Tire | Mean | |
|---|---|---|---|---|---|---|---|---|---|---|---|---|
| 3D | M3DM [45] | 0.981 | 0.949 | 0.997 | 0.932 | 0.959 | 0.925 | 0.989 | 0.995 | 0.994 | 0.981 | 0.970 |
| FPFH(BTF) [44] | 0.995 | 0.955 | 0.998 | 0.971 | 0.993 | 0.911 | 0.995 | 0.999 | 0.998 | 0.988 | 0.980 | |
| FPFH(BTM) | 0.995 | 0.96 | 0.998 | 0.97 | 0.991 | 0.894 | 0.996 | 0.999 | 0.998 | 0.987 | 0.979 | |
| RGB | PatchCore [45] | 0.983 | 0.984 | 0.980 | 0.974 | 0.972 | 0.849 | 0.976 | 0.983 | 0.987 | 0.977 | 0.967 |
| M3DM [45] | 0.992 | 0.990 | 0.994 | 0.977 | 0.983 | 0.955 | 0.994 | 0.990 | 0.995 | 0.994 | 0.987 | |
| RGB iNet(BTF) [44] | 0.983 | 0.984 | 0.980 | 0.974 | 0.985 | 0.836 | 0.976 | 0.982 | 0.989 | 0.975 | 0.966 | |
| RGB iNet(BTM) | 0.984 | 0.987 | 0.984 | 0.979 | 0.991 | 0.872 | 0.976 | 0.983 | 0.992 | 0.979 | 0.973 | |
| RGB+3D | M3DM* | 0.994 | 0.994 | 0.997 | 0.985 | 0.985 | 0.98 | 0.996 | 0.994 | 0.997 | 0.995 | 0.992 |
| BTF [44] | 0.996 | 0.991 | 0.997 | 0.995 | 0.995 | 0.972 | 0.996 | 0.998 | 0.995 | 0.994 | 0.993 | |
| BTM | 0.997 | 0.993 | 0.998 | 0.995 | 0.996 | 0.979 | 0.997 | 0.999 | 0.996 | 0.995 | 0.995 |
Disclaimer/Publisher’s Note: The statements, opinions and data contained in all publications are solely those of the individual author(s) and contributor(s) and not of MDPI and/or the editor(s). MDPI and/or the editor(s) disclaim responsibility for any injury to people or property resulting from any ideas, methods, instructions or products referred to in the content. |
© 2024 by the authors. Licensee MDPI, Basel, Switzerland. This article is an open access article distributed under the terms and conditions of the Creative Commons Attribution (CC BY) license (http://creativecommons.org/licenses/by/4.0/).
