Submitted:
04 June 2024
Posted:
06 June 2024
Read the latest preprint version here
Abstract
Keywords:
1. Introduction
- What optimality criteria should be considered in the synthesis of I-PD and PI-D controllers using intelligent algorithms?
- Which models of MIMO processes and control systems in the industry can be used for the synthesis of I-PD and PI-D controllers?
- What are the advantages and limitations of I-PD and PI-D controllers compared to other types of controllers?
- What advantages do AIS algorithms offer in solving problems related to the synthesis and tuning of I-PD and PI-D controllers?
2. Literature Review
3. Methods the AI Algorithm for Industrial Controllers


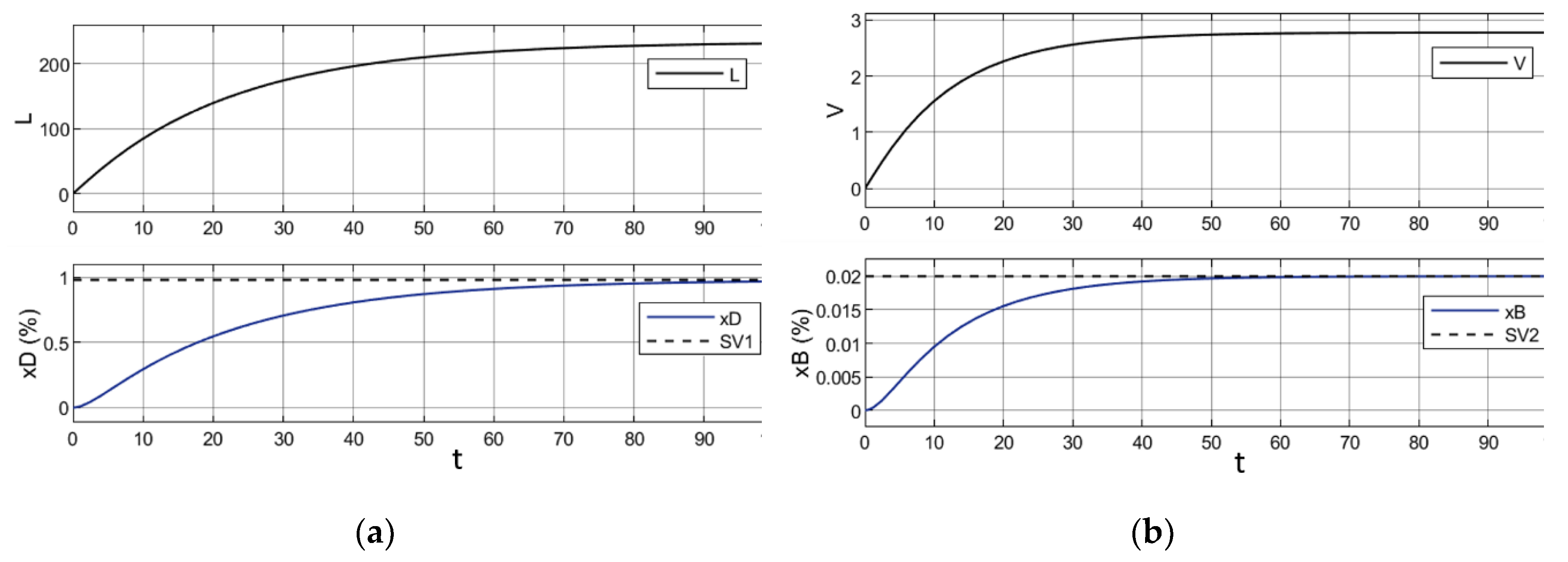
4. Findings Results Optimal Design of Controllers for Distillation Column


- evaluations of the effectiveness of applying the algorithm in minimizing ISE;
- the parameters of typical controllers as a solution to the problem.


- The settling time for processes using an IP controller is significantly shorter compared to those using a PID controller.
- The overshoot observed in processes with an I-P controller is lower compared to processes with a PID controller.
- The rise time for the primary circuit's process using an I-P controller is faster than that with a PID controller.

5. Discussion
6. Conclusions
Author Contributions
Funding
Data Availability Statement
Acknowledgments
Conflicts of Interest
References
- Cokmez, E.; Kaya, I. Optimal design of I-PD controller for disturbance rejection of time delayed unstable and integrating-unstable processes. International Journal of Systems Science 2024, 55, 2314215. [CrossRef]
- Raja, G.L.; Ali, A. New PI-PD controller design strategy for industrial unstable and integrating processes with dead time and inverse response. J. Control Autom. Electr. Syst. 2021, 32, pp. 266–280. [CrossRef]
- Bin Roslan , M.N.; Bingi, K.; Devan, P.A.M.; Ibrahim, R. Design and Development of Complex-Order PI-PD Controllers: Case Studies on Pressure and Flow Process Control. Appl. Syst. Innov. 2024, 7, 33. [CrossRef]
- Lee, J.H.; Davari, H.; Singh, J.; Pandhare, V. Industrial Artificial Intelligence for industry 4.0-based manufacturing systems. Manufacturing Letters 2018, 18, pp. 20–23. [CrossRef]
- Arinez, J.F.; Chang, Q.; Gao, R.X.; Xu, Ch.; Zhang, J. Artificial Intelligence in Advanced Manufacturing: Current Status and Future Outlook. Journal of Manufacturing Science and Engineering 2020, 142, 110804. [CrossRef]
- Koroteev, D.; Tekic, Z. Artificial intelligence in oil and gas upstream: Trends, challenges, and scenarios for the future. Energy and AI, 2021, 3, 10. [CrossRef]
- Li, H.; Yu, H.; Cao, N.; Tian, H.; Cheng, Sh. Applications of artificial intelligence in oil and gas development. Archives of Computational Methods Engineering 2021, 28, pp. 937–949. [CrossRef]
- Abdelhamid, K.; Touat, A.B.; Kenioua, L. Artificial Intelligent in Upstream Oil and Gas Industry: A Review of Applications, Challenges and Perspectives. International Conference on AIAP: Artificial Intelligence and its Applications, LNNS 2021, 413, pp. 262–271.
- Xing, B.; Gao, W. Innovative computational intelligence: A rough guide to 134 clever algorithms. Intelligent Systems Reference Library (Springer) 2014, 62, 469.
- Kouba, N.; Menaa, M.; Hasni M.; Boudour, M. A novel optimal combined fuzzy PID controller employing dragonfly algorithm for solving automatic generation control problem. Electric Power Components and Systems 2018, 46, 2054–2070. [CrossRef]
- Amar, M.N.; Zeraibi, N.; Redouane, K. Optimization of WAG process using dynamic proxy, genetic algorithm and ant colony optimization. Arabian Journal for Science and Engineering 2018, 43, pp. 6399–6412.
- Wang, J. ; Song, N.; Jiang, E.; Xu, D.; Deng, W.; Mao, L. The Application of the Particle Swarm Algorithm to Optimize PID Controller in the Automatic Voltage Regulation System. ICSEE/LSMS (Springer Singapore) 2017, 763, pp. 529–536.
- Sethi, R.; Panda, S.; Sahoo, B.P. Cuckoo search algorithm based optimal tuning of PID structured TCSC controller. Springer, Computational Intelligence in Data Mining 2015, 1, pp. 251–263.
- Kumar, D.; Meenakshipriya, B.; Ram, S.S. Design of PSO based I-PD Controller and PID Controller for a Spherical Tank System. Indian Journal of Science and Technology 2016, 9, pp. 1–5. [CrossRef]
- Puangdownreong, D.; Nawikavatav, A. Thammarat. Optimal Design of I-PD Controller for DC Motor Speed Control System by Cuckoo Search. Procedia Computer Science 2016, 86, pp. 83–86.
- Jain, T.; Nigam, M.Optimization of PD-PI Controller using Swarm Intelligence. International Journal of Computational Cognition 2008, 6, pp. 55–59.
- Sahraoui, M., Salem, M. Application of artificial immune algorithm-based optimization in tuning a PID controller for nonlinear systems. International Journal of Automation and Control 2015, 9, pp. 186–200.
- Saleh, M.; Saad, S. Artificial Immune System based PID Tuning for DC Servo Speed Control. International Journal of Computer Applications 2016, 155, 2, pp. 23–26.
- Castro, L.; Zuben, F. The Clonal Selection Algorithm with Engineering Applications. Workshop Proceedings of GECCO’00 2000, pp. 36–37.
- Castro, L.; Zuben, F. Learning and Optimization Using the Clonal Selection Principle. IEEE Transactions on evolutionary computation 2002, 6, pp. 239–251. [CrossRef]
- Padmanabhan, S.; Chandrasekaran, M.; Ganesan, S.; Khan M.; and Navakant, P. Optimal Solution for an Engineering Applications Using Modified Artificial Immune System. Materials Science and Engineering 2017, 183, pp. 1–65. [CrossRef]
- Wang, M.; Feng, Sh.; He, Ch.; Li, Zh.; Xue, Yu. An Artificial Immune System Algorithm with Social Learning and Its Application in Industrial PID Controller Design. Mathematical Problems in Engineering 2017, 2017, 13.
- Allwright, D.J. A note on Routh-Hurwitz determinants and integral square errors. International Journal of Control 1980, 31, pp. 807–810. [CrossRef]
- Minh, V.T.; Rani, A.A. Modeling and control of distillation column in a petroleum process. Perak.: Hindawi Publishing Corporation, Mathematical Problems in Engineering 2009, 2009, 14. [CrossRef]
- Wood, R.K.; Berry, M.W. Terminal composition control of a binary distillation column. Chemical Engineering Science 1973, 28, pp. 1707–1717. [CrossRef]
- Morari, Z.; Zafiriou, E. Robust Process Control, Publisher: Prentice-Hall, Inc., Englewood Cliffs, NJ, 1989; 488 p.
- Luyben, W.L. Simple Method for tuning SISO controllers in multivariable systems. Ind. Eng. Chem. Process Des. Dev. 1986, 25, pp. 654–660. [CrossRef]
- Samigulin, T.I.; Shiryayeva, O.I. Development of a SMART-system for a complex industrial object control based on metaheuristic algorithms of swarm intelligence. WSEAS Transactions on Power Systems 2021, 16, pp. 231–240. [CrossRef]
Disclaimer/Publisher’s Note: The statements, opinions and data contained in all publications are solely those of the individual author(s) and contributor(s) and not of MDPI and/or the editor(s). MDPI and/or the editor(s) disclaim responsibility for any injury to people or property resulting from any ideas, methods, instructions or products referred to in the content. |
© 2024 by the authors. Licensee MDPI, Basel, Switzerland. This article is an open access article distributed under the terms and conditions of the Creative Commons Attribution (CC BY) license (http://creativecommons.org/licenses/by/4.0/).