Preprint
Article

This version is not peer-reviewed.

Study on the High-spin Level Structure of 192Tl

Submitted:

02 June 2024

Posted:

03 June 2024

You are already at the latest version

Abstract
High-spin states of 192Tl are populated by the heavy ion fusion-evaporation reaction 181Ta(16O, 5n)192Tl at 97 MeV beam energy. A new level scheme with eight new levels is constructed and the level spins are tentatively assigned. The negative-parity yrast band is extended up to 23^{-}\hbar. Subsequently, the systematics of signature splitting and signature inversion are discussed for the negative-parity yrast band of odd-odd Tl isotopes including 192Tl, 194Tl, 196Tl, and 198Tl. With the increase of neutron number signature inversion is found in 196,198Tl at high-spin state in these four Tl isotopes. The reason may be due to the competition between neutron-proton interaction and Coriolis force.
Keywords: 
;  ;  ;  

1. Introduction

Signature inversion is one of the hot topics in the study of high-spin states. It refers to the abnormal splitting mode in which the energy of the unfavored rotation branch is lower than the energy of the favored branch in the rotational bands. However, under normal circumstance, the energy of the favored rotation state is lower than the unfavored state. This phenomenon was first discovered in high-spin state energy spectrum of odd proton nuclei such as 159Tm [1], 157Ho [2,3] and so on in 1980s. Later, in the low-spin region of odd-odd nuclei, the phenomenon of abnormal signature splitting was discovered one after another which aroused great interest among nuclear physicists. Theorists have proposed a variety of models to explain the signature inversion phenomenon, but up to now it is still inconclusive. In the heavy mass region the rotational bands of the nuclei based on the configuration of π h 9 / 2 v i 13 / 2 also commonly have abnormal signature splitting at low spins [4,5,6,7]. Their negative-parity yrast bands with low spins all show abnormal splitting modes in odd-odd Tl isotopes 194,196,198Tl [8,9,10], but 196,198Tl evolve into a normal splitting mode when the spin is higher than 18 , which do not happen in 194Tl [10]. Analytically, the separation of the rotational yrast states into two sequences of opposite signature appears to be related to signature dependence of some non-diagonal Coriolis matrix elements arising from the interference of the “direct” and 𝔎-reflected parts of the wave functions. Hence, the staggering can be understood as a specific quantal feature intimately connected with the reflection symmetry of the deformation [8]. In order to deeply understand the signature inversion in this region, it is necessary to extend the high-spin state of 192Tl [11] experimentally.
In addition, the A~190 region is also a hot area for the study of nuclear chiral symmetry. In this region the configuration of the nuclear chiral bands is based on π h 9 / 2 v i 13 / 2 . Experimentally, two cases of chiral doublet bands have been found in odd-odd Tl isotopes 194, 198Tl [9,10]. Especially in 194Tl, whether in level energy, aligned angular momentum, or in B(M1)/B(E2), they all show better chirality than that in other nuclear regions. 194Tl not only shows better chirality in the low-spin region, but also maintains better chirality after backbending which is different from other nuclear regions. Whereas, in other regions, after backbending the chiral symmetry has been destroyed to a certain extent.
Up to now, 194Tl is the first candidate nucleus discovered with four quasiparticle chiral symmetry. The level structure of 192Tl is very similar to that of 194Tl. Whether or not chiral symmetry can be found in 192Tl is an extremely worthy subject in experimental research.
Before this experiment, 181Ta was bombarded with 18O and 16O at the energies of 120 and 100 MeV respectively to generate 192Tl carried out by Kreiner et al. [11]. Two Ge(Li) detectors were used to perform the coincidence measurement. The level information was relatively scarce due to the limited detection equipment, the yrast band spin was only pushed up to 14 . Later, Liang et al. [12] used 37Cl beams to bombard 160Gd at the energies of 178 and 181 MeV respectively to further study 192Tl. Six superdeformed bands were found at higher spins, but only the energy spectrum was given, and there was no level scheme provided by them. The present work reports the latest preliminary results on 192Tl in this experiment.

2. Experimental Details

On the HI-13 tandem accelerator of the China Institute of Atomic Energy(CIAE), high-spin states of 192Tl are populated through heavy ion fusion-evaporation reaction 181Ta(16O, 5n)192Tl. In this experiment the thickness of the target 181Ta is 1.97 mg/cm2 with a 1.28 mg/cm2 Pb backing. Ten HPGe detectors with BGO anti-Compton suppression are used to measure the deexcited γ rays of the reaction products. These detectors are placed at angles of 90°, ±37°, ±30°, and ±60° with respect to the beam direction, respectively. The relative detection efficiency of these detectors is between 20% and 40%, and the energy resolution of these Ge detectors is between 1.9 and 2.2 keV at 1332 keV γ-ray energy of 60Co. Before the experiment, the energy and relative efficiency of these detectors are calibrated with 60Co and 152Eu standard sources.
According to the calculation of statistical model program CASCADE [13], combined with the stable operation energy provided by the HI-13 tandem accelerator, the 16O beam energy of 97 MeV is selected for the γ-γ coincidence measurement. The experimental data are recorded on the magnetic tape in an event-by-event mode and then sorted off-line, with a total of about 1.0×108 double- or higher-fold coincidence events collected in the present work. The γ-γ coincidence events are sorted to generate a symmetrical E γ E γ two-dimensional energy matrix and an asymmetrical directional correlation of oriented state (DCO) matrix, which are used to determine the coincidence relationship between γ rays and specify γ-ray transition multipolarity, respectively. Then the relevant level spins are given from the multipolarity of the connected γ-ray.
The γ-coincidence data are analyzed with the Radware software package [14] which is based on PC-Linux. Gated on the known γ rays of 192Tl, in addition to clearly observing all known γ rays and previously uncertain γ rays such as 359, 767 and 221 keV γ rays and so on, nine new γ rays are also identified. The examples of gated spectra of the known γ-ray at 276 keV and the newly discovered γ-rays at 300 and 773 keV are shown in Figure 1. The spectrum not only shows most of the known γ rays, but also 773, 381, 615, 341, 315, 300, 81, 260, 221, 354, 342 and 412 keV and other new γ rays. According to the γ-γ cascade relationship and the principle of γ-ray energy and intensity balance, a new level scheme of 192Tl is finally established based on the 7+ state as shown in Figure 2. The 7+ state is an excited state with a half-life of 11 minutes [11]. Through a systematic comparison by Kreiner et al. [11], it is suggested that there is a γ-ray with a high internal conversion coefficient and an energy less than 40 keV between 8 and 9 levels. According to spectra gated on the known γ rays, and on the basis of previous work [11], in the present experiment the negative-parity yrast band is pushed up by 8 . Before this work, the spins above 8 level are unknown. In this work the level structure of 192Tl and those of adjacent odd-odd nuclei 190, 194Tl [8,15] are systematically compared and it can be found that the first quadrupole transition of the 190, 194Tl yrast band at 336.1 keV and 374.2 keV respectively both feeds into the level spins 9. Therefore, it is tentatively suggested that the level spin fed by the 359 keV γ-ray in 192Tl is also 9. Compared with the work of Riedinger et al. [16], the main discrepancy is a change of the spins with one unity for states starting with (16-) level (decaying by two γ rays, 315 and 773 keV), which in the work of Riedinger et al. [16] and in the latest evaluation [17] it is given as (15-). Above this level, all the states reported here are one unit higher than in the aforementioned work. A comparison with the data from Ndayishimye PhD thesis [18] reveals that the differences start above the (16-) level (which is given with the same spin), but the (17-) level decays via a 300 keV γ-ray and not via 83 keV γ-ray as presented in Figure 2 in the present work. Above this level, the spins are also one unit lower than in the present study. In addition, the states in the present work are shown as belonging to the same band, while Riedinger et al. [16] and Ndayishimye [18] split the states into two bands with two different configurations.

3. Results and Discussion

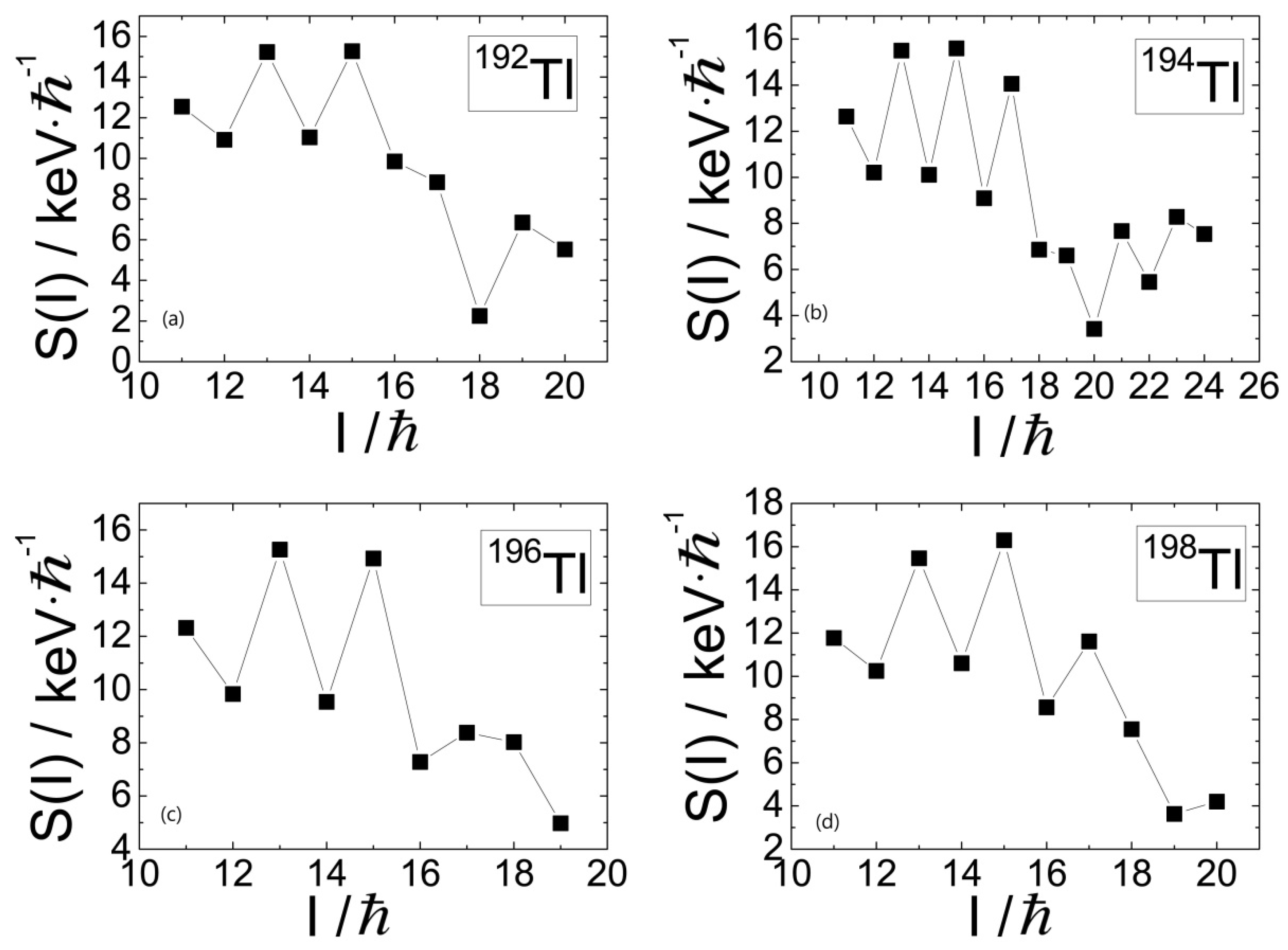
Signature α is a quantum number that can describe 180° rotational symmetry of the atomic nucleus. For odd-odd nuclei, the favored signature branch is defined as α f = [ ( 1 ) j p 1 / 2 + ( 1 ) j n 1 / 2 ] × 1 / 2 , where j p and j n are the angular momenta of valence proton and valence neutron, respectively. The state of spin I corresponding to I j p j n = even number corresponds to the favored state, while the state of spin I corresponding to I j p j n = odd number is unfavored state. The degree of splitting between two signature branches is usually expressed by S ( I ) = [ E ( I ) E ( I 1 ) ] / 2 I .
The configuration of the yrast band of 192Tl [11] has been assigned as π h 9 / 2 v i 13 / 2 , and according to the configuration filling, the signature branch with α=1 is a favored signature branch, so that each state with the odd-spin is a favored state, and should have lower energy relative to even-spin branch. However, the experimental result is opposite as shown in Figure 3 which gives the relationship between the quantity S ( I ) = [ E ( I ) E ( I 1 ) ] / 2 I and the spin I in 192Tl yrast band, the even spin branch keeps lower energy relative to the odd spin branch in the whole process. The yrast band has a certain signature splitting starting from low-spin. The degree of splitting decreases slightly as the spin increases to around 16~17 , but it does not change the mode of low-spin abnormal splitting. The phenomenon of low-spin abnormal signature splitting is also present in other nuclear regions, and a reasonable explanation is the competition between neutron-proton interaction and Coriolis force. In the low-spin region, neutron-proton interaction is more dominant. The proton number of 192Tl is 81 and its neutron number is 111, according to their filling in the Nilsson orbit, there is a repulsive interaction between neutrons and protons. Refs. [15,19] pointed out that because the proton-neutron fully aligned 11- state is subject to the strong repulsive interaction, the energy increase of the nucleus above the 10- state is more inclined to come from the collective rotation, which leads to the even spin branch as the favored signature branch, i.e., it manifests lower energy.
Figure 3 shows the evolution of signature splitting of negative-parity yrast band in 192, 194, 196, 198Tl with the increase of spin. It can be seen from the Figure that the four nuclei at low spins have the same mode of signature splitting with all even-spin branches exhibit lower energy, and their splitting degrees are very similar. As the spin increases, 196,198Tl inverses at 18 , i.e., the odd-spin branch becomes a branch with lower energy. However, 192, 194Tl do not inverse at spin 18 , i.e., even-spin branches continue to maintain favored at high spins, and this phenomenon is worthy of further investigation. Ref. [20] pointed out that the strength of the interaction between neutrons and protons decreases with the increase of N-Z (neutron number minus proton number). The strength of neutron-proton interaction in 196,198Tl is weaker than that of 192,194Tl in these four isotopes. Therefore, in the process of the competition between neutron-proton interaction and Coriolis force, this may lead to the signature inversion phenomenon in Tl isotopes with larger neutron number, but does not in light isotopes.

4. Conclusions

High-spin states of 192Tl are populated by the reaction of 181Ta(16O, 5n)192Tl to establish a new level scheme. A total of 8 new levels and 9 new γ rays have been added to the previous level scheme. The negative-parity yrast band energy level of 192Tl is pushed up by 8 . At present, no chiral partner band of this yrast band is established, and the subsequent data processing is still in progress. In the systematic comparison with its odd-odd isotopes, it is found that the four nuclei 192, 194, 196, 198Tl all appear as abnormal signature splitting at low-spin region. A watershed appears at high-spin region. The abnormal signature splitting mode of 192, 194Tl continues to be maintained at high spins, while 196, 198Tl inverse at high spins. The reason for the signature inversion may be due to the weakening of the neutron-proton interaction in the Tl isotopes with large neutron number.

Acknowledgments

We would like to thank the operating staff of the HI-13 Tandem Accelerator at China Institute of Atomic Energy for providing the 16O beam. The project is supported by the National Natural Science Foundation of China (Grant No. 11065001), by the CASHIPS Director’s Fund (Grant No. YZJJ2021QN34) and Funded by the Key Laboratory of High Precision Nuclear Spectroscopy, Institute of Modern Physics, Chinese Academy of Sciences.

References

  1. J A Larabee and C J Waddington. Phys. Rev. C, 24, 2367 (1981).
  2. B G Hagemann et al., Phys. Rev. C, 25, 3224 (1982).
  3. B G Hagemann et al., Nucl. Phys. A, 424, 365 (1984).
  4. Y H Zhang et al., Sci. China G, 46, 382 (2003).
  5. R A Bark et al., Phys. Lett. B, 406, 193 (1997).
  6. Y H Zhang et al., Eur. Phys. J. A, 13, 429 (2002).
  7. Y H Zhang et al., Eur. Phys. J. A, 8, 439 (2000).
  8. A J Kreiner, M Fenzl and W Kutschera, Nucl. Phys. A, 308, 147 (1978).
  9. E A Lawrie et al., Eur. Phys. J. A, 45, 39 (2010).
  10. P L Masiteng et al., Eur. Phys. J. A, 50, 119 (2014).
  11. A J Kreiner et al., Phys. Rev. C, 21, 933 (1980).
  12. Y Liang et al., Phys. Rev. C, 46, R2136 (1992).
  13. F Puhlhofer, Nucl. Phys. A, 280, 267 (1977).
  14. D C Radford, Nucl. Instrum. Methods Phys. Res. A, 361, 297 (1995).
  15. C Y Xie et al., Phys. Rev. C, 72, 044302 (2005).
  16. L.L. Riedinger et al., Proc. Workshop Gammasphere Physics, Berkeley, California, 1-2 December 1995, World Scientific, Singapore, 98 (1996).
  17. C.M. Baglin, Nucl. Data Sheets, 113, 1871 (2012).
  18. J. Ndayishimye, Thesis, Stellenbosch Univ. (2016).
  19. A J Kreiner, Phys. Rev. C, 22, 2570 (1980).
  20. R R Zheng et al., Phys. Rev. C, 64, 014313 (2001).
Figure 1. Examples of 192Tl characteristic peaks shown in the gated spectra.
Figure 1. Examples of 192Tl characteristic peaks shown in the gated spectra.
Preprints 108158 g001
Figure 2. The new level scheme of 192Tl proposed in the present work.
Figure 2. The new level scheme of 192Tl proposed in the present work.
Preprints 108158 g002
Figure 3. A systematic comparison of signature splitting in 192, 194, 196, 198Tl.
Figure 3. A systematic comparison of signature splitting in 192, 194, 196, 198Tl.
Preprints 108158 g003
Disclaimer/Publisher’s Note: The statements, opinions and data contained in all publications are solely those of the individual author(s) and contributor(s) and not of MDPI and/or the editor(s). MDPI and/or the editor(s) disclaim responsibility for any injury to people or property resulting from any ideas, methods, instructions or products referred to in the content.
Copyright: This open access article is published under a Creative Commons CC BY 4.0 license, which permit the free download, distribution, and reuse, provided that the author and preprint are cited in any reuse.
Prerpints.org logo

Preprints.org is a free preprint server supported by MDPI in Basel, Switzerland.

Subscribe

Disclaimer

Terms of Use

Privacy Policy

Privacy Settings

© 2026 MDPI (Basel, Switzerland) unless otherwise stated