Submitted:
29 May 2024
Posted:
31 May 2024
You are already at the latest version
Abstract
Keywords:
1. Introduction
2. Hilbert-Space Partition
- Inherited from the division of single-particle states on , and
- Additive over subspaces: .
3. Time Dependence
4. Density of One-Body Observables
5. Entropy Partitions
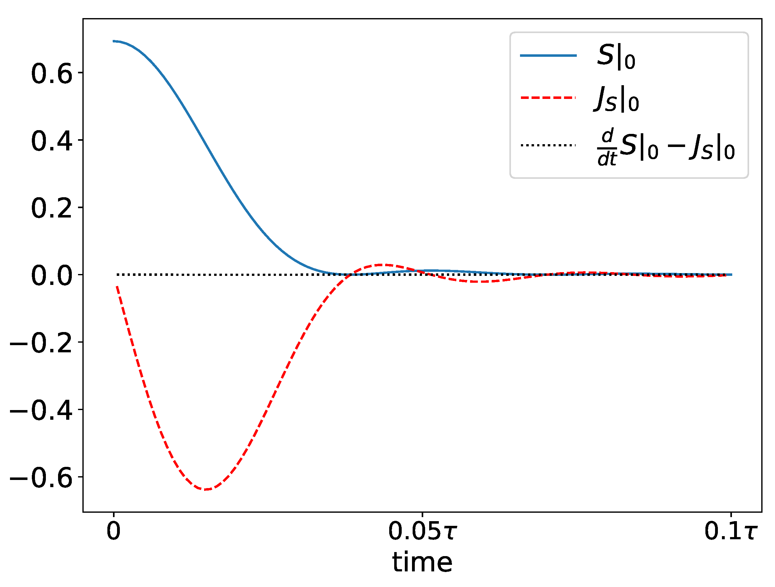
5.1. Evolution of Entropy Density
5.2. Consistency with the Third Law
6. Many-Body Operators
6.1. Two-Body Operators
6.2. N-Body Observables
7. Conclusions
Funding
Acknowledgments
Conflicts of Interest
Appendix A. Proof of best
Appendix B. N-Body Continuity Equation
References
- Ludovico, M.F.; Lim, J.S.; Moskalets, M.; Arrachea, L.; Sánchez, D. Dynamical energy transfer in ac-driven quantum systems. Phys. Rev. B 2014, 89, 161306. [Google Scholar] [CrossRef]
- Esposito, M.; Ochoa, M.A.; Galperin, M. Nature of heat in strongly coupled open quantum systems. Phys. Rev. B 2015, 92, 235440. [Google Scholar] [CrossRef]
- Bruch, A.; Thomas, M.; Viola Kusminskiy, S.; von Oppen, F.; Nitzan, A. Quantum Thermodynamics of the Driven Resonant Level Model. Physical Review B 2016, 93, 115318. [Google Scholar] [CrossRef]
- Haughian, P.; Esposito, M.; Schmidt, T.L. Quantum Thermodynamics of the Resonant-Level Model with Driven System-Bath Coupling. Physical Review B 2018, 97, 085435. [Google Scholar] [CrossRef]
- Talkner, P.; Hänggi, P. Colloquium : Statistical Mechanics and Thermodynamics at Strong Coupling: Quantum and Classical. Reviews of Modern Physics 2020, 92, 041002. [Google Scholar] [CrossRef]
- Strasberg, P.; Winter, A. First and Second Law of Quantum Thermodynamics: A Consistent Derivation Based on a Microscopic Definition of Entropy. PRX Quantum 2021, 2, 030202. [Google Scholar] [CrossRef]
- Bergmann, N.; Galperin, M. A Green’s Function Perspective on the Nonequilibrium Thermodynamics of Open Quantum Systems Strongly Coupled to Baths: Nonequilibrium Quantum Thermodynamics. The European Physical Journal Special Topics 2021, 230, 859–866. [Google Scholar] [CrossRef]
- Lacerda, A.M.; Purkayastha, A.; Kewming, M.; Landi, G.T.; Goold, J. Quantum Thermodynamics with Fast Driving and Strong Coupling via the Mesoscopic Leads Approach. Physical Review B 2023, 107, 195117. [Google Scholar] [CrossRef]
- Esposito, M.; Lindenberg, K.; den Broeck, C.V. Entropy production as correlation between system and reservoir. New Journal of Physics 2010, 12, 013013. [Google Scholar] [CrossRef]
- Potts, P.P.; Kalaee, A.A.S.; Wacker, A. A thermodynamically consistent Markovian master equation beyond the secular approximation. New Journal of Physics 2021, 23, 123013. [Google Scholar] [CrossRef]
- Dhar, A.; Saito, K.; Hänggi, P. Nonequilibrium density-matrix description of steady-state quantum transport. Phys. Rev. E 2012, 85, 011126. [Google Scholar] [CrossRef] [PubMed]
- Mahan, G.D. Many-Particle Physics, 2000. ed., 3rd ed.; Springer US: Boston, MA, 2000. [Google Scholar]
- Kumar, P.; Webb, C.M.; Stafford, C.A. Work Sum Rule for Open Quantum Systems, 2024. arxiv:2402.18855.
| 1 |
throughout this paper. |
| 2 |
S is diagonal in this basis. |
| 3 | We define a partially pure state to be any state of the system containing definite occupancies, . |





Disclaimer/Publisher’s Note: The statements, opinions and data contained in all publications are solely those of the individual author(s) and contributor(s) and not of MDPI and/or the editor(s). MDPI and/or the editor(s) disclaim responsibility for any injury to people or property resulting from any ideas, methods, instructions or products referred to in the content. |
© 2024 by the authors. Licensee MDPI, Basel, Switzerland. This article is an open access article distributed under the terms and conditions of the Creative Commons Attribution (CC BY) license (http://creativecommons.org/licenses/by/4.0/).