Submitted:
29 May 2024
Posted:
29 May 2024
You are already at the latest version
Abstract
Keywords:
1. Introduction
2. Materials and Methods
2.1. Research Scope
2.2. Data Processing
2.3. Experiment Content and Steps
2.4. Questionnaire Setting and Evaluation Index Establishment
2.5. Experimental Design
2.5.1. Experimental Equipment
2.5.2. Participants
2.5.3. Construct Experimental Model
2.6. Experimental Procedure
3. Results
3.1. Analysis of One-Dimensional Scale, Two-Dimensional Scale Combination and Spatial Perception Correlation
3.1.1. One-Dimensional Scale Combination
3.1.2. Two-Dimensional Scale Combination
3.1.3. Summary Table of Factors of Maximum Relevance Scale Combinations
3.2. Regression Analysis of Maximum Correlation Scale Factors and Spatial Perception
3.3. Coverage Analysis of the Appropriate Scope of Two-Dimensional Scale Combination
3.4. Analysis of the Selection Range of Appropriate Length of Three-Dimensional Scale Combination
3.5. Comparison Analysis of Appropriate Length Range
4. Discussions
4.1. Research Innovation
4.2. Limitations and Future Directions
5. Conclusions
Author Contributions
Funding
Appendix A
| NO. | H(m) | D(m) | L(m) | L*D | L/D | L*H | L/H | D*H | D/H | |
|---|---|---|---|---|---|---|---|---|---|---|
| Scene Ⅰ |
M1 | 3 | 3.3 | 35 | 115.5 | 10.6 | 105 | 11.7 | 9.9 | 1.1 |
| M2 | 3 | 3.3 | 45 | 148.5 | 13.6 | 135 | 15 | 9.9 | 1.1 | |
| M3 | 3 | 3.3 | 55 | 181.5 | 16.7 | 165 | 18.3 | 9.9 | 1.1 | |
| M4 | 3 | 3.3 | 70 | 231 | 21.2 | 210 | 23.3 | 9.9 | 1.1 | |
| M5 | 3 | 5.4 | 35 | 189 | 6.5 | 105 | 11.7 | 16.2 | 1.8 | |
| M6 | 3 | 5.4 | 45 | 243 | 8.3 | 135 | 15 | 16.2 | 1.8 | |
| M7 | 3 | 5.4 | 55 | 297 | 10.2 | 165 | 18.3 | 16.2 | 1.8 | |
| M8 | 3 | 5.4 | 70 | 378 | 13 | 210 | 23.3 | 16.2 | 1.8 | |
| M9 | 3 | 8.7 | 35 | 304.5 | 4 | 105 | 11.7 | 26.1 | 2.9 | |
| M10 | 3 | 8.7 | 45 | 391.5 | 5.2 | 135 | 15 | 26.1 | 2.9 | |
| M11 | 3 | 8.7 | 55 | 478.5 | 6.3 | 165 | 18.3 | 26.1 | 2.9 | |
| M12 | 3 | 8.7 | 70 | 609 | 8 | 210 | 23.3 | 26.1 | 2.9 | |
| Scene Ⅱ |
M13 | 3.5 | 3.3 | 35 | 115.5 | 10.6 | 122.5 | 10 | 11.6 | 0.9 |
| M14 | 3.5 | 3.3 | 45 | 148.5 | 13.6 | 157.5 | 12.9 | 11.6 | 0.9 | |
| M15 | 3.5 | 3.3 | 55 | 181.5 | 16.7 | 192.5 | 15.7 | 11.6 | 0.9 | |
| M16 | 3.5 | 3.3 | 70 | 231 | 21.2 | 245 | 20 | 11.6 | 0.9 | |
| M17 | 3.5 | 5.4 | 35 | 189 | 6.5 | 122.5 | 10 | 18.9 | 1.5 | |
| M18 | 3.5 | 5.4 | 45 | 243 | 8.3 | 157.5 | 12.9 | 18.9 | 1.5 | |
| M19 | 3.5 | 5.4 | 55 | 297 | 10.2 | 192.5 | 15.7 | 18.9 | 1.5 | |
| M20 | 3.5 | 5.4 | 70 | 378 | 13 | 245 | 20 | 18.9 | 1.5 | |
| M21 | 3.5 | 8.7 | 35 | 304.5 | 4 | 122.5 | 10 | 30.5 | 2.5 | |
| M22 | 3.5 | 8.7 | 45 | 391.5 | 5.2 | 157.5 | 12.9 | 30.5 | 2.5 | |
| M23 | 3.5 | 8.7 | 55 | 478.5 | 6.3 | 192.5 | 15.7 | 30.5 | 2.5 | |
| M24 | 3.5 | 8.7 | 70 | 609 | 8 | 245 | 20 | 30.5 | 2.5 | |
| Scene Ⅲ |
M25 | 4 | 3.3 | 35 | 115.5 | 10.6 | 140 | 8.8 | 13.2 | 0.8 |
| M26 | 4 | 3.3 | 45 | 148.5 | 13.6 | 180 | 11.3 | 13.2 | 0.8 | |
| M27 | 4 | 3.3 | 55 | 181.5 | 16.7 | 220 | 13.8 | 13.2 | 0.8 | |
| M28 | 4 | 3.3 | 70 | 231 | 21.2 | 280 | 17.5 | 13.2 | 0.8 | |
| M29 | 4 | 5.4 | 35 | 189 | 6.5 | 140 | 8.8 | 21.6 | 1.4 | |
| M30 | 4 | 5.4 | 45 | 243 | 8.3 | 180 | 11.3 | 21.6 | 1.4 | |
| M31 | 4 | 5.4 | 4 | 5.4 | 10.2 | 220 | 13.8 | 21.6 | 1.4 | |
| M32 | 4 | 5.4 | 70 | 378 | 13 | 280 | 17.5 | 21.6 | 1.4 | |
| M33 | 4 | 8.7 | 35 | 304.5 | 4 | 140 | 8.8 | 34.8 | 2.2 | |
| M34 | 4 | 8.7 | 45 | 391.5 | 5.2 | 180 | 11.3 | 34.8 | 2.2 | |
| M35 | 4 | 8.7 | 55 | 478.5 | 6.3 | 220 | 13.8 | 34.8 | 2.2 | |
| M36 | 4 | 8.7 | 70 | 609 | 8 | 280 | 17.5 | 34.8 | 2.2 | |
| Scene Ⅳ |
M37 | 4.5 | 3.3 | 35 | 115.5 | 10.6 | 157.5 | 7.8 | 14.9 | 0.7 |
| M38 | 4.5 | 3.3 | 45 | 148.5 | 13.6 | 202.5 | 10 | 14.9 | 0.7 | |
| M39 | 4.5 | 3.3 | 55 | 181.5 | 16.7 | 247.5 | 12.2 | 14.9 | 0.7 | |
| M40 | 4.5 | 3.3 | 70 | 231 | 21.2 | 315 | 15.6 | 14.9 | 0.7 | |
| M41 | 4.5 | 5.4 | 35 | 189 | 6.5 | 157.5 | 7.8 | 24.3 | 1.2 | |
| M42 | 4.5 | 5.4 | 45 | 243 | 8.3 | 202.5 | 10 | 24.3 | 1.2 | |
| M43 | 4.5 | 5.4 | 55 | 297 | 10.2 | 247.5 | 12.2 | 24.3 | 1.2 | |
| M44 | 4.5 | 5.4 | 70 | 378 | 13 | 315 | 15.6 | 24.3 | 1.2 | |
| M45 | 4.5 | 8.7 | 35 | 304.5 | 4 | 157.5 | 7.8 | 39.2 | 1.9 | |
| M46 | 4.5 | 8.7 | 45 | 391.5 | 5.2 | 202.5 | 10 | 39.2 | 1.9 | |
| M47 | 4.5 | 8.7 | 55 | 478.5 | 6.3 | 247.5 | 12.2 | 39.2 | 1.9 | |
| M48 | 4.5 | 8.7 | 70 | 609 | 8 | 315 | 15.6 | 39.2 | 1.9 | |
| Scene Ⅴ |
M49 | 5 | 3.3 | 35 | 115.5 | 10.6 | 175 | 7 | 16.5 | 0.7 |
| M50 | 5 | 3.3 | 45 | 148.5 | 13.6 | 225 | 9 | 16.5 | 0.7 | |
| M51 | 5 | 3.3 | 55 | 181.5 | 16.7 | 275 | 11 | 16.5 | 0.7 | |
| M52 | 5 | 3.3 | 70 | 231 | 21.2 | 350 | 14 | 16.5 | 0.7 | |
| M53 | 5 | 5.4 | 35 | 189 | 6.5 | 175 | 7 | 27 | 1.1 | |
| M54 | 5 | 5.4 | 45 | 243 | 8.3 | 225 | 9 | 27 | 1.1 | |
| M55 | 5 | 5.4 | 55 | 297 | 10.2 | 275 | 11 | 27 | 1.1 | |
| M56 | 5 | 5.4 | 70 | 378 | 13 | 350 | 14 | 27 | 1.1 | |
| M57 | 5 | 8.7 | 35 | 304.5 | 4 | 175 | 7 | 43.5 | 1.7 | |
| M58 | 5 | 8.7 | 45 | 391.5 | 5.2 | 225 | 9 | 43.5 | 1.7 | |
| M59 | 5 | 8.7 | 55 | 478.5 | 6.3 | 275 | 11 | 43.5 | 1.7 | |
| M60 | 5 | 8.7 | 70 | 609 | 8 | 350 | 14 | 43.5 | 1.7 |
References
- 3.A. The Aesthetic Townscape, 1st ed.; Baihua Literature and Art Publishing House: Tianjing, China, 2006; pp. 35–40. (ISBN:9787530644768 ).
- A,R.; G,C. Psycho-biological factors associated with underground spaces: What can the new era of perception neuroscience offer to their study?. Tunnelling and Underground Space Technology Incorporating Trenchless Technology Research 2016, 50(1), 15-25. (https://doi.org/10.1016/j.tust.2015.12.016 ).
- Hong,Y.; Zhong,S. A Study on Functional Evolution and Theoretical Development of the Design of Underground Space. Architectural Journal 2016, 12, 77-82.(DOI:10.3969/j.issn.0529-1399.2016.12.011).
- J,K.; O,G. Passengers’ anxiety about using the London Underground. IEEE International Conference on Intelligent Rail Transportation (ICIRT), Birmingham, UK, 23th-25th August 2016.(DOI: 10.1109/ICIRT.2016.7588727).
- Jing,T.; Ying.L. Metropolitan Street Space Quality Evaluation: Second And Third Ring Of Beijing, Inner Ring Of Shanghai. Planners 2017, 2, 19-24.(DOI:10.3969/j.issn.1006-0022.2017.02.011).
- Li,Z.; Zhi,C. Discussion on Exterior Design of Underground Commercial Street in Old CityDistrict and It’s Application. Chinese Journal of Underground :Space and Engineering 2017, 13(01), 1-6.(DOI:CNKI:SUN:BASE.0.2017-01-001).
- Liang,S.; Shan,D;Yan,R. Research on the material and spatial psychological perception of the side interface of an underground street based on virtual reality. Buildings 2022, 12(9), 1432.(https://doi.org/10.3390/buildings12091432).
- Liang,S.; Yao,X;Si,T. Research into the Visual Saliency of Guide Signs in an Underground Commercial Street Based on an Eye-Movement Experiment. Sustainability 2022, 1423), 16062.( https://doi.org/10.3390/su142316062 ).
- M,P.; M,M; F,G. Designing Emotional Services for Underground Stations. The 2nd International Conference on Design Creativity(ICDC2012), Glasgow, UK, 18th-20th September 2012.(https://www.xueshufan.com/publication/2507752789).
- Qing,L. Study on Optimization of the Pedestrian Perception Experience in Urban Street Space. PhD thesis, Tianjin University, Tianjin,China, 2017. (https://kns.cnki.net/kcms2/article/abstract?v=2C6ioF1tvgXs8R7ZAkp05QSGGgMDHbq_NMH6a4ga12EjOwwSLs5etg5znhUg-U9vGgLCWg7MHTsKem-fS6cU5SWr9TNJFXlfAAA9CSYf2s5bRpIl3h3L-8oJ41VSA_LpbXck2pD6b3HEU3K3hG-G3g==&uniplatform=NZKPT&language=CHS).
- R.E. Negative Influence of Underground Constructions on Mental Health of the Person. Procedia Engineering 2016, 165, 1176-1183. (DOI:10.1016/j.proeng.2016.11.836).
- R.; O.; K. Measuring Urban Design Metrics for Livable Places, 1st ed.; Island Press: Washington, DC, America, 2013; pp. 83–98.(https://doi.org/10.5822/978-1-61091-209-9).
- Sheng,L.; Jun,S.;Qing,X. Present Situations of Development and Utilization for Underground Space in Cities and New Viewpoints for Future Development. Chinese Journal of Underground Space and Engineering 2019, 15(04), 965-979.(DOI:CNKI:SUN:BASE.0.2019-04-002).
- Vukmirovic,M.; Milena,M. Twitter Data Mining to Map Pedestrian Experience of Open Spaces. Applied Sciences 2022, 12(9), 4143.(https://doi.org/10.3390/app12094143 ).
- Zhi.F. Study on the Urban Design Based on Suitablity of Scale at Human. PhD thesis, Tianjin University, Tianjin,China, 2014.(https://kns.cnki.net/kcms2/article/abstract?v=2C6ioF1tvgXIUjv-iqVVsy9Gyz8Uv-bfPsFot4uigqjXtrZWLSgtrttX-wS6J0frGOWWLu2CZwTB6JAzRPHsv9vOJlU-1FFb8kVzpPGlH4o0NfOH08HFjnYzABfxYV-oB3YGKpyrX_ET7GcrardWhw==&uniplatform=NZKPT&language=CHS).
- Moughtin.JC. Steet and Square,[M]. China Architecture & Building Press, 2004.
- Matzarakis A, Rutz F, Mayer H. Modelling radiation fluxes in simple and complex environments—application of the RayMan model[J]. International journal of biometeorology, 2007, 51: 323-334.
- Hudec D, Kocourek J, Matysková A. Research Findings on the Process of Locating Suitable Areas for Implementing Shared Spaces[C]//2023 Smart City Symposium Prague (SCSP). IEEE, 2023: 1-7.
- Zhang Fan,Zhou Bolei,Liu Liu,et al. Measuring Human Perceptions of a Large-Scale Urban Region Using Machine Learning[J]. Landscape and Urban Planning ,2018,180: 148-160.
- Zhang L, Ye Y, Zeng W, et al. A systematic measurement of street quality through multi-sourced urban data: A human-oriented analysis[J]. International journal of environmental research and public health, 2019, 16(10): 1782.
- Chuan C, Liu Y. On the People-oriented Space Construction in Modern Garden[J]. Journal of Central South University of Forestry & Technology(Social Sciences),2008(03):52-54.
- Hanafin, Sinéad. Review of literature on the Delphi Technique. Dublin: National Children’s Office, 2004: 1-51.
- Wang, Lei, et al. Measuring residents’ perceptions of city streets to inform better street planning through deep learning and space syntax[J]. SPRS Journal of Photogrammetry and Remote Sensing. 2022,190: 215-230.
- Peng, You, et al. Assessing comfort in urban public spaces: A structural equation model involving environmental attitude and perception[J]. International journal of environmental research and public health.2021,18.3: 1287.
- Jalaladdini, Siavash, and Derya Oktay. Urban public spaces and vitality: a socio-spatial analysis in the streets of Cypriot towns[J]. Procedia-Social and Behavioral Sciences.2012,35: 664-674.
- Lau, Kevin Ka-Lun, and Chun Yin Choi. The influence of perceived aesthetic and acoustic quality on outdoor thermal comfort in urban environment[J]. Building and Environment,2021, 206: 108333.
- Goshima T,et al.The length of the space in the street : The relation between the scale of space and the structure of mind[C] Summaries of Technical Papers of Meeting Architectural Institute of Japan F.Architectural Institute of Japan, 1997.
- Kashiwagi E, Iwata S, Abe Y,et al.5383 Research on the recognition tendency of the scale in virtual space experience using Google Street View : Consideration based on the combination pattern of distance, the guess accuracy of time, and a scene[C] Summaries of Technical Papers of Meeting.Architectural Institute of Japan, 2013.
- Matsumoto N, Fujii K, Zhang Y,et al.THE PERCEIVED SHAPE OF SETBACK STREET SPACE : Perceived shape of street space[J]. Journal of Architecture & Planning, 1995, 60(474):115-122. [CrossRef]
- Liu Y, Yang D, Timmermans H J P,et al.The impact of the street-scale built environment on pedestrian metro station access/egress route choice[J].Transportation Research Part D Transport and Environment, 2020, 87:102491. [CrossRef]
- Ge, Jian, and Kazunori Hokao. "Applying the methods of image evaluation and spatial analysis to study the sound environment of urban street areas[J]. Journal of Environmental Psychology,2005, 25.4: 455-466.
- Cipresso Pietro, Silvia Serino, and Giuseppe Riva. "Psychometric assessment and behavioral experiments using a free virtual reality platform and computational science[J]. BMC medical informatics and decision making,2016,16: 1-11.
- Mousavi Hondori, Hossein, and Maryam Khademi. "A review on technical and clinical impact of microsoft kinect on physical therapy and rehabilitation[J]. Journal of medical engineering, 2014.
- Xiao Y, Jian S, Xiao L et al,. Research on Urban Street Spatial Perception Based on Quantitative[J]. Architecture & Culture, 2018(06):175-176.
- Qiao C, Jun M. Research on Spatial Perception of Urban Streets Based on SD Method--Taking Anyang City Streets as an Example[J]. Journal of Anyang Normal College,2015(02):75-79. [CrossRef]
- Yu Z, Yu K,. Research on the Open-block-oriented Control Indexes of Street Interface Morphology[J]. Time + Architecture,2022(01):38-42. [CrossRef]
- Liang S, Zhan L, Le F. Research on Spatial Appropriate Scale of Underground Street Based on Quantitative Analysis[J] Chinese Journal of Underground Space and Engineering, 2019,15(01):25-31.





| Perception Classification | Evaluation aspects | Description of the level of evaluation | ||
|---|---|---|---|---|
| 3 level | 0 | 3 level | ||
| scale cognition | length cognition | too short | suitable | too longer |
| width cognition | Too narrow | suitable | too wide | |
| height cognition | too low | suitable | too high | |
| atmospheric cognition | openness cognition | confined | moderately openness | suitable |
| stable cognition | unstable | moderate stable | suitable | |
| comfort cognition | indisposed | moderate comfortable | suitable | |
![]() |
| length cognition | width cognition | height cognition |
openness cognition |
stable cognition |
comfort cognition |
||
|---|---|---|---|---|---|---|---|
| H | Pearson | 0.156 | -0.263* | 0.547** | -0.293* | -0.081 | -0.102 |
| significance | 0.234 | 0.042 | 0 | 0.023 | 0.537 | 0.439 | |
| D | Pearson | -0.430** | 0.928** | -0.836** | 0.823** | 0.726** | 0.557** |
| significance | 0.001 | 0 | 0 | 0 | 0 | 0 | |
| L | Pearson | 0.825** | 0.189 | 0.223 | 0.045 | -0.231 | -0.09 |
| significance | 0 | 0.149 | 0.086 | 0.733 | 0.075 | 0.495 |
| length cognition |
width cognition |
height cognition |
openness cognition |
stable cognition |
comfort cognition |
||
|---|---|---|---|---|---|---|---|
| L*D | Pearson | 0.062 | 0.672** | -0.546** | 0.730** | 0.465** | 0.449** |
| significance | 0.638 | 0 | 0 | 0 | 0 | 0 | |
| L/D | Pearson | 0.854** | 0.784** | 0.789** | 0.745** | -.801** | -0.679** |
| significance | 0 | 0 | 0 | 0 | 0 | 0 | |
| L*H | Pearson | 0.763** | -0.299* | 0.432** | -0.126 | -0.227 | -0.114 |
| significance | 0 | 0.02 | 0.001 | 0.336 | 0.081 | 0.386 | |
| L/H | Pearson | 0.566 | 0.001 | -0.078 | 0.207 | -0.145 | -0.028 |
| significance | 0 | 0.996 | 0.553 | 0.113 | 0.269 | 0.829 | |
| D*H | Pearson | -0.309* | 0.741** | -0.576** | 0.626** | 0.674** | 0.505** |
| significance | 0.016 | 0 | 0 | 0 | 0 | 0 | |
| D/H | Pearson | -0.461** | 0.960** | -0.941** | 0.849** | 0.622** | 0.489** |
| significance | 0 | 0 | 0 | 0 | 0 | 0 |
| length cognition |
width cognition |
height cognition |
openness cognition |
stable cognition |
comfort cognition |
|
|---|---|---|---|---|---|---|
| Maximum Relevance scale factor |
L/D | D/H | D/H | D/H | L/D | L/D |
| Pearson | 0.854** | 0.960** | 0.941** | 0.849** | -0.801** | -0.679** |
![]() |
| L/D | ||||||
|---|---|---|---|---|---|---|
| H=3.0m | H=3.5m | H=4.0m | H=4.5m | H=5.0m | H=3.0m | |
| length range | 9.2-14.3 | 8.5-14.0 | 8.3-13.5 | 7.6-13.2 | 7.0-12.5 | 9.2-14.3 |
| stable range | 4.0-17.1 | 4.0-13.5 | 4.0-11.6 | 4.0-11.2 | 4.0-10.0 | 4.0-17.1 |
| length/stable range | 9.2-14.3 | 8.5-13.0 | 8.3-11.6 | 7.6-11.2 | 7.0-10.0 | 9.2-14.3 |
| the overall range | 9.2-10.0 | |||||
| D/H | ||||||
|---|---|---|---|---|---|---|
| H=3.0m | H=3.5m | H=4.0m | H=4.5m | H=5.0m | H=3.0m | |
| width range | 0.9-1.3 | 1.0-1.4 | 1.1-1.4 | 1.2-1.6 | 0.9-1.3 | 1.0-1.4 |
| height range | 1.0-1.6 | 1.1-1.8 | 1.2-2.3 | 1.3-2.4 | 1.0-1.6 | 1.1-1.8 |
| openness range | 1.1-2.9 | 1.1-2.9 | 1.1-2.9 | 1.2-2.9 | 1.1-2.9 | 1.1-2.9 |
| width/height/openness range | 1.1-1.3 | 1.1-1.4 | 1.2-1.5 | 1.2-1.6 | 1.1-1.3 | 1.1-1.4 |
| the overall suitable range | 1.2-1.3 | |||||
| L | |||
|---|---|---|---|
| D=3.3m | D=5.4m | D=8.7m | |
| H=3.0m | 30-47 | 50-77 | 80-124 |
| H=3.5m | 28-42 | 46-70 | 73-113 |
| H=4.0m | 27-38 | 45-63 | 72-100 |
| H=4.5m | 25-37 | 41-60 | 66-97 |
| H=5.0m | 23-33 | 38-54 | 60-87 |
![]()
|
![]()
|
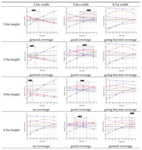
| 3.3m width | 5.4m width | 8.7m width | |
|---|---|---|---|
| 3.0m height | (35–49);(43–46) | (57–70);(62–66) | (62–70);(66–70) |
| 3.5m height | (35–44);(37–41) | (52–68);(58–63) | (60–70);(64–70) |
| 4.0m height | (35–44);(35–40) | (45–65);(50–55) | (58–70);(60–66) |
| 4.5m height | (35–40);(35–38) | (43–63);(49–53) | (51–68);(57–65) |
| 5.0m height | (42–48);(43–46) | (42–55);(46–52) | (45–67);(52–65) |
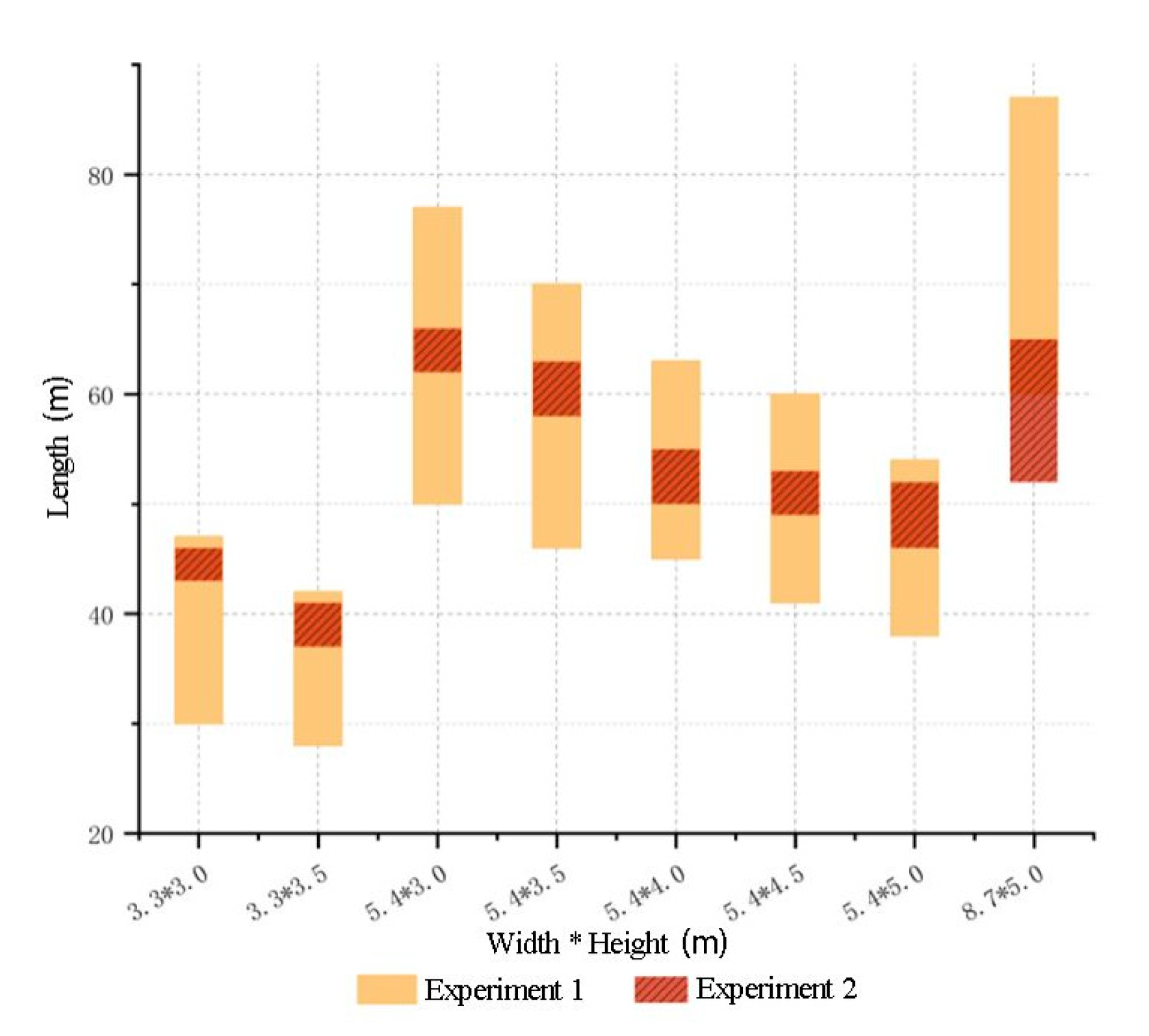
| NO. | W*H | Length range |
|---|---|---|
| 1 | 3.3*3.0 | (43-46) |
| 2 | 3.3*3.5 | (37-41) |
| 3 | 5.4*4.0 | (50-55) |
| 4 | 5.4*5.0 | (46-52) |
| 5 | 5.4*3.0 | (62-66) |
| 6 | 5.4*3.5 | (58-63) |
| 7 | 5.4*4.5 | (49-53) |
| 8 | 8.7*5.0 | (60-65) |
Disclaimer/Publisher’s Note: The statements, opinions and data contained in all publications are solely those of the individual author(s) and contributor(s) and not of MDPI and/or the editor(s). MDPI and/or the editor(s) disclaim responsibility for any injury to people or property resulting from any ideas, methods, instructions or products referred to in the content. |
© 2024 by the authors. Licensee MDPI, Basel, Switzerland. This article is an open access article distributed under the terms and conditions of the Creative Commons Attribution (CC BY) license (http://creativecommons.org/licenses/by/4.0/).





