Submitted:
23 May 2024
Posted:
24 May 2024
You are already at the latest version
Abstract
Keywords:
1. Introduction
1.1. Background
1.2. Restorative Quality of Natural Environments and Naturalness
1.3. Landscape Types and Elements of Perceived Restorativeness
1.4. Objective, and Reliable Measurement Tools
1.5. Study Aims
2. Materials and Methods
2.1. Classification of Rural Landscapes
- Natural Landscapes (NL): Pristine and minimally disturbed landscapes featuring a variety of animal species, colours, and vegetation [18]. In rural areas of Guangzhou, these primarily include natural water landscapes (NWL), natural forest landscapes (NFL), and natural grassland landscapes (NGL) [15,32,56].
2.2. Selection of Experimental Images
2.3. Segmentation of Major Landscape Elements
2.4. Participants
2.5. Measurements
2.5.1. Psychological Measurements
RCS
PRNS
2.5.2. Physiological Measurements
EEG
Eye-Tracking
2.6. Experimental Procedure
2.7. Statistical Analysis
3. Results
3.1. RCS Results
3.1.1. Internal Consistency and Correlation
3.1.2. Impact of Naturalness on Perceived Restorativeness
3.1.3. Impact of Landscape Type on Perceived Restorativeness
3.1.4. Impact of Permanent Residence on Perceived Restorativeness
3.2. PRNS Results
3.2.1. Impact of Perceived and Actual Naturalness on Perceived Restorativeness
3.2.2. Impact of Different Landscape Elements on Perceived Restorativeness
3.3. EEG Results
3.3.1. Alpha Wave Response to Restorativeness
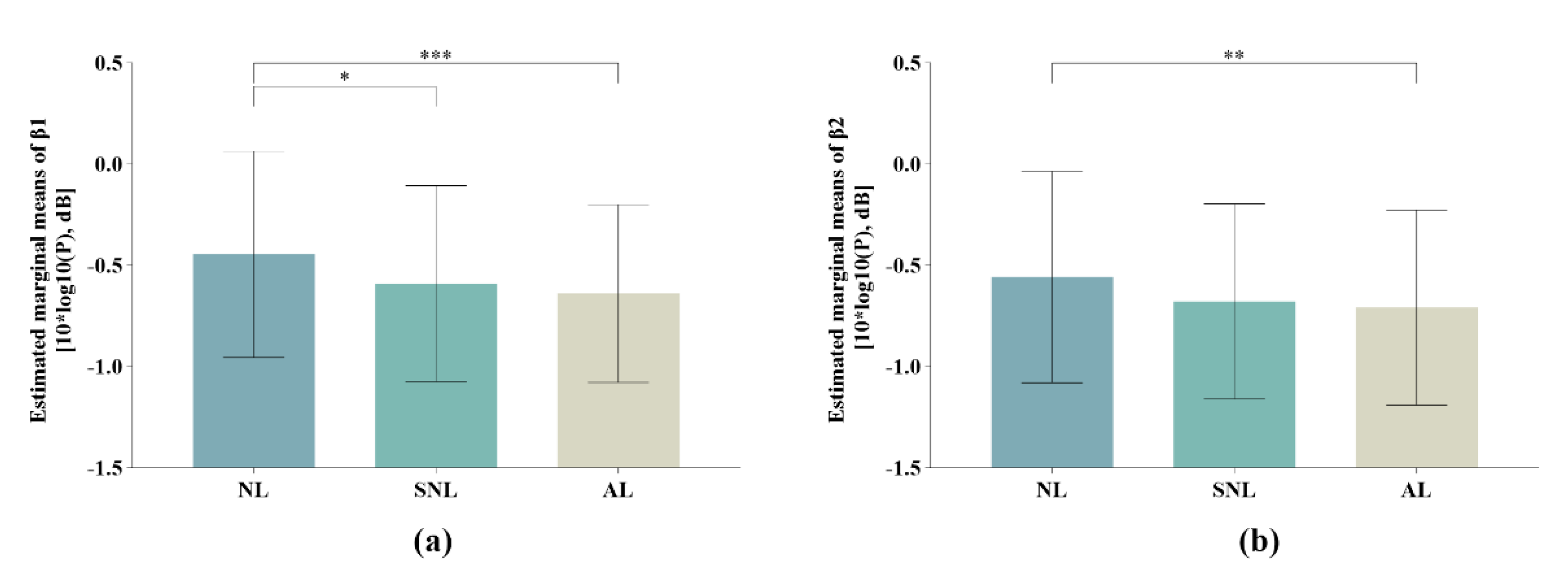
3.3.2. Beta Wave Responses to Restorativeness
3.4. Eye-Tracking Results
3.4.1. Average Fixation Duration Responses to Perceived Restorativeness
3.4.2. Heatmap Responses to Perceived Restorativeness
4. Discussion
4.1. Relationship between Actual Naturalness, Perceived Naturalness, and Restorative Quality
4.2. Relationship between Landscape Type and Restorative Quality
4.3. Relationship between Landscape Elements and Restorative Quality
4.4. Implications of the Major Findings
4.5. Limitations and Research Opportunities
5. Conclusions
Author Contributions
Funding
Data Availability Statement
Acknowledgments
Conflicts of Interest
References
- Li, Y.; Zhang, J.; Jiang, B.; Li, H.; Zhao, B. Do All Types of Restorative Environments in the Urban Park Provide the Same Level of Benefits for Young Adults? A Field Experiment in Nanjing, China. Forests 2023, 14. [Google Scholar] [CrossRef]
- Kjellgren, A.; Buhrkall, H. A comparison of the restorative effect of a natural environment with that of a simulated natural environment. Journal of Environmental Psychology 2010, 30, 464–472. [Google Scholar] [CrossRef]
- Zhao, W.; Li, X.; Zhu, X.; Ye, H.; Xu, H. Restorative properties of green sheltered spaces and their morphological characteristics in urban parks. Urban Forestry & Urban Greening 2023, 86. [Google Scholar] [CrossRef]
- Luo, L.; Yu, P.; Jiang, B. Differentiating mental health promotion effects of various bluespaces: An electroencephalography study. Journal of Environmental Psychology 2023, 88, 102010. [Google Scholar] [CrossRef]
- Beil, K.; Hanes, D. The influence of urban natural and built environments on physiological and psychological measures of stress—A pilot study. International journal of environmental research and public health 2013, 10, 1250–1267. [Google Scholar] [CrossRef] [PubMed]
- Jiang, B.; Chang, C.-Y.; Sullivan, W.C. A dose of nature: Tree cover, stress reduction, and gender differences. Landscape and Urban Planning 2014, 132, 26–36. [Google Scholar] [CrossRef]
- Van Herzele, A.; De Vries, S.J.P.; environment. Linking green space to health: A comparative study of two urban neighbourhoods in Ghent, Belgium. 2012, 34, 171–193. [Google Scholar]
- Berto, R.; Massaccesi, S.; Pasini, M. Do eye movements measured across high and low fascination photographs differ? Addressing Kaplan’s fascination hypothesis. Journal of environmental psychology 2008, 28, 185–191. [Google Scholar]
- Liu, Q.; Wang, X.; Liu, J.; Zhang, G.; An, C.; Liu, Y.; Fan, X.; Hu, Y.; Zhang, H.J.I.j.o.e.r.; health, p. The relationship between the restorative perception of the environment and the physiological and psychological effects of different types of forests on university students. 2021, 18, 12224.
- Yu, C.-P.; Lin, C.-M.; Tsai, M.-J.; Tsai, Y.-C.; Chen, C.-Y.J.I.j.o.e.r.; health, p. Effects of short forest bathing program on autonomic nervous system activity and mood states in middle-aged and elderly individuals. 2017, 14, 897.
- Donovan, G.H.; Butry, D.T.; Michael, Y.L.; Prestemon, J.P.; Liebhold, A.M.; Gatziolis, D.; Mao, M.Y.J.A.j.o.p.m. The relationship between trees and human health: evidence from the spread of the emerald ash borer. 2013, 44, 139-145.
- Renes, H.; Centeri, C.; Kruse, A.; Kučera, Z. The future of traditional landscapes: discussions and visions. 2019.
- van Zanten, B.T.; Verburg, P.H.; Koetse, M.J.; van Beukering, P.J.H. Preferences for European agrarian landscapes: A meta-analysis of case studies. Landscape and Urban Planning 2014, 132, 89–101. [Google Scholar] [CrossRef]
- Li, Y.; Xie, L.; Zhang, L.; Huang, L.; Lin, Y.; Su, Y.; AmirReza, S.; He, S.; Zhu, C.; Li, S.; et al. Understanding different cultural ecosystem services: An exploration of rural landscape preferences based on geographic and social media data. J Environ Manage 2022, 317, 115487. [Google Scholar] [CrossRef] [PubMed]
- Wang, X.; Zhu, H.; Shang, Z.; Chiang, Y. The Influence of Viewing Photos of Different Types of Rural Landscapes on Stress in Beijing. Sustainability 2019, 11. [Google Scholar] [CrossRef]
- Carrus, G.; Scopelliti, M.; Lafortezza, R.; Colangelo, G.; Ferrini, F.; Salbitano, F.; Agrimi, M.; Portoghesi, L.; Semenzato, P.; Sanesi, G. Go greener, feel better? The positive effects of biodiversity on the well-being of individuals visiting urban and peri-urban green areas. Landscape and Urban Planning 2015, 134, 221–228. [Google Scholar] [CrossRef]
- Chang, C.-Y.; Hammitt, W.E.; Chen, P.-K.; Machnik, L.; Su, W.-C. Psychophysiological responses and restorative values of natural environments in Taiwan. Landscape and Urban Planning 2008, 85, 79–84. [Google Scholar] [CrossRef]
- Kaplan, R.; Kaplan, S. The experience of nature: A psychological perspective; Cambridge university press: 1989.
- Sullivan, W.C.; Kaplan, R. Nature! Small steps that can make a big difference. 2016, 9, 6–10. [Google Scholar]
- Ulrich, R.S.; Biophilia, B. Natural Landscapes. The Biophilia Hypothesis; Kellert, SE, Wilson, E., Eds 1993, 73-137.
- Ode, A.; Fry, G.; Tveit, M.S.; Messager, P.; Miller, D. Indicators of perceived naturalness as drivers of landscape preference. J Environ Manage 2009, 90, 375–383. [Google Scholar] [CrossRef] [PubMed]
- Kuo, F.E.; Sullivan, W.C. Aggression and violence in the inner city: Effects of environment via mental fatigue. Environment and behavior 2001, 33, 543–571. [Google Scholar] [CrossRef]
- Fisher, J.C.; Irvine, K.N.; Bicknell, J.E.; Hayes, W.M.; Fernandes, D.; Mistry, J.; Davies, Z.G. Perceived biodiversity, sound, naturalness and safety enhance the restorative quality and wellbeing benefits of green and blue space in a neotropical city. Science of The Total Environment 2021, 755, 143095. [Google Scholar] [CrossRef] [PubMed]
- Knez, I.; Sang, Å.; Gunnarsson, B.; Hedblom, M. Wellbeing in Urban Greenery: The Role of Naturalness and Place Identity. Frontiers in Psychology 2018, 9. [Google Scholar] [CrossRef] [PubMed]
- Kaplan, R.; Kaplan, S.; Brown, T.J.E.; behavior. Environmental preference: A comparison of four domains of predictors. 1989, 21, 509–530. [Google Scholar]
- Hobbs, R.J.; Norton, D.A.J.R.e. Towards a conceptual framework for restoration ecology. 1996, 4, 93-110.
- McGarigal, K. FRAGSTATS: spatial pattern analysis program for quantifying landscape structure; US Department of Agriculture, Forest Service, Pacific Northwest Research Station: 1995; Volume 351.
- Dauber, J.; Hirsch, M.; Simmering, D.; Waldhardt, R.; Otte, A.; Wolters, V.J.A.; Ecosystems; Environment. Landscape structure as an indicator of biodiversity: matrix effects on species richness. 2003, 98, 321–329. [Google Scholar]
- Fu, E.; Ren, Y.; Li, X.; Zhang, L. Research on the Healing Potential of Rural Community Streets From the Perspective of Audiovisual Integration: A Case Study of Four Rural Communities in China. Front Public Health 2022, 10, 861072. [Google Scholar] [CrossRef] [PubMed]
- Huang, Z.; Lu, L.; Su, Q.; Zhang, J.; Sun, J.; Wan, X.; Jin, C.J.G.R. Research and development of rural tourism under the background of new urbanization: Theoretical reflection and breakthrough of predicament. 2015, 34, 1409-1421.
- Hung, S.-H.; Wu, C.-C.; Yeh, Y.-C.; Yeh, A.; Chang, C.-Y.; Tang, H.-F. A Study on Measuring Ecosystem Service and Physical and Psychological Health Benefits in Agricultural Landscape. HortScience 2022, 57, 708–714. [Google Scholar] [CrossRef]
- Li, C.; Yuan, Y.; Sun, C.; Sun, M. The Perceived Restorative Quality of Viewing Various Types of Urban and Rural Scenes: Based on Psychological and Physiological Responses. Sustainability 2022, 14. [Google Scholar] [CrossRef]
- Lokocz, E.; Ryan, R.L.; Sadler, A.J.J.L.; planning, u. Motivations for land protection and stewardship: Exploring place attachment and rural landscape character in Massachusetts. 2011, 99, 65-76.
- Nordh, H.; Alalouch, C.; Hartig, T.J.U.f.; greening, u. Assessing restorative components of small urban parks using conjoint methodology. 2011, 10, 95-103.
- Lin, W.; Zeng, C.; Bao, Z.; Jin, H. The therapeutic look up: Stress reduction and attention restoration vary according to the sky-leaf-trunk (SLT) ratio in canopy landscapes. Landscape and Urban Planning 2023, 234. [Google Scholar] [CrossRef]
- Yan, T.; Leng, H.; Yuan, Q.J.L. The Role of “Nostalgia” in Environmental Restorative Effects from the Perspective of Healthy Aging: Taking Changchun Parks as an Example. 2023, 12, 1817.
- Lindal, P.J.; Hartig, T. Effects of urban street vegetation on judgments of restoration likelihood. Urban Forestry & Urban Greening 2015, 14, 200–209. [Google Scholar] [CrossRef]
- Stigsdotter, U.K.; Corazon, S.S.; Sidenius, U.; Kristiansen, J.; Grahn, P.J.H.; place. It is not all bad for the grey city–A crossover study on physiological and psychological restoration in a forest and an urban environment. 2017, 46, 145–154. [Google Scholar] [PubMed]
- Wu, L.; Dong, Q.; Luo, S.; Jiang, W.; Hao, M.; Chen, Q.J.L. Effects of spatial elements of urban landscape forests on the restoration potential and preference of adolescents. 2021, 10, 1349.
- Soler, A.; Muñoz-Gutiérrez, P.A.; Bueno-López, M.; Giraldo, E.; Molinas, M.J.F.i.n. Low-density EEG for neural activity reconstruction using multivariate empirical mode decomposition. 2020, 14, 493950.
- Wu, Y.; Zhuo, Z.; Liu, Q.; Yu, K.; Huang, Q.; Liu, J.J.I.J.o.E.R.; Health, P. The relationships between perceived design intensity, preference, restorativeness and eye movements in designed urban green space. 2021, 18, 10944.
- Zhu, H.; Yang, F.; Bao, Z.; Nan, X. A study on the impact of Visible Green Index and vegetation structures on brain wave change in residential landscape. Urban Forestry & Urban Greening 2021, 64, 127299. [Google Scholar] [CrossRef]
- Park, R.E.; Burgess, E.W. The city; University of Chicago Press: 2019.
- Ward, L.M. Synchronous neural oscillations and cognitive processes. Trends Cogn Sci 2003, 7, 553–559. [Google Scholar] [CrossRef] [PubMed]
- Kim, S.C.; Lee, M.H.; Jang, C.; Kwon, J.W.; Park, J.W. The effect of alpha rhythm sleep on EEG activity and individuals’ attention. J Phys Ther Sci 2013, 25, 1515–1518. [Google Scholar] [CrossRef] [PubMed]
- Mennella, R.; Patron, E.; Palomba, D. Frontal alpha asymmetry neurofeedback for the reduction of negative affect and anxiety. Behav Res Ther 2017, 92, 32–40. [Google Scholar] [CrossRef] [PubMed]
- Deng, L.; Li, X.; Luo, H.; Fu, E.-K.; Ma, J.; Sun, L.-X.; Huang, Z.; Cai, S.-Z.; Jia, Y. Empirical study of landscape types, landscape elements and landscape components of the urban park promoting physiological and psychological restoration. Urban Forestry & Urban Greening 2020, 48, 126488. [Google Scholar] [CrossRef]
- Nuwer, M. Assessment of digital EEG, quantitative EEG, and EEG brain mapping: Report of the American Academy of Neurology and the American Clinical Neurophysiology Society*[RETIRED]. Neurology 1997, 49, 277–292. [Google Scholar] [CrossRef] [PubMed]
- Kim, M.; Cheon, S.; Kang, Y.J.S. Use of electroencephalography (EEG) for the analysis of emotional perception and fear to nightscapes. 2019, 11, 233.
- De Lucio, J.; Mohamadian, M.; Ruiz, J.; Banayas, J.; Bernaldez, F.J.L.; planning, u. Visual landscape exploration as revealed by eye movement tracking. 1996, 34, 135-142.
- Nordh, H.; Hagerhall, C.M.; Holmqvist, K.J.L.r. Tracking restorative components: patterns in eye movements as a consequence of a restorative rating task. 2013, 38, 101-116.
- Su, T.; Wang, K.; Li, S.; Wang, X.; Li, H.; Ding, H.; Chen, Y.; Liu, C.; Liu, M.; Zhang, Y. Analysis and Optimization of Landscape Preference Characteristics of Rural Public Space Based on Eye-Tracking Technology: The Case of Huangshandian Village, China. Sustainability 2022, 15. [Google Scholar] [CrossRef]
- Arriaza, M.; Cañas-Ortega, J.F.; Cañas-Madueño, J.A.; Ruiz-Aviles, P. Assessing the visual quality of rural landscapes. Landscape and Urban Planning 2004, 69, 115–125. [Google Scholar] [CrossRef]
- Tao, J.; Chen, H.; Xiao, D.J.J.o.A.A.; Engineering, B. Influences of the natural environment on traditional settlement patterns: A case study of Hakka traditional settlements in Eastern Guangdong Province. 2017, 16, 9-14.
- Xie, H.; Liu, L.; Li, L. Discussion of issues related to rural landscape planning and design. Chinese Landscape Architecture 2003, 39–41. [Google Scholar]
- Li, Z. Study on the Method of Rural Landscape Classification. 2004.
- Liang, F.; Liu, L.; Qu, Y. Methodology of agricultural landscape classification with rural scale and its application in.
- planning of new rural construction. Transactions of the CSAE 2011, 27, 330–336.
- Chiang, Y.-C.; Li, D.; Jane, H.-A. Wild or tended nature? The effects of landscape location and vegetation density on physiological and psychological responses. Landscape and Urban Planning 2017, 167, 72–83. [Google Scholar] [CrossRef]
- Sowinska-Swierkosz, B.; Soszynski, D. The index of the Prognosis Rural Landscape Preferences (IPRLP) as a tool of generalizing peoples' preferences on rural landscape. J Environ Manage 2019, 248, 109272. [Google Scholar] [CrossRef] [PubMed]
- Browning, M.H.; Saeidi-Rizi, F.; McAnirlin, O.; Yoon, H.; Pei, Y. The role of methodological choices in the effects of experimental exposure to simulated natural landscapes on human health and cognitive performance: A systematic review. Environment and Behavior 2021, 53, 687–731. [Google Scholar] [CrossRef]
- Kitzinger, J. Qualitative research. Introducing focus groups. BMJ 1995, 311, 299–302. [Google Scholar] [CrossRef] [PubMed]
- Zhang, X.; Han, H.; Qiao, L.; Zhuang, J.; Ren, Z.; Su, Y.; Xia, Y. Emotional-Health-Oriented Urban Design: A Novel Collaborative Deep Learning Framework for Real-Time Landscape Assessment by Integrating Facial Expression Recognition and Pixel-Level Semantic Segmentation. International Journal of Environmental Research and Public Health 2022, 19. [Google Scholar] [CrossRef] [PubMed]
- Zhou, B.; Zhao, H.; Puig, X.; Fidler, S.; Barriuso, A.; Torralba, A. Scene Parsing through ADE20K Dataset. In Proceedings of the 2017 IEEE Conference on Computer Vision and Pattern Recognition (CVPR); 2017; pp. 5122–5130. [Google Scholar]
- Zhou, B.; Zhao, H.; Puig, X.; Xiao, T.; Fidler, S.; Barriuso, A.; Torralba, A. Semantic Understanding of Scenes Through the ADE20K Dataset. International Journal of Computer Vision 2018, 127, 302–321. [Google Scholar] [CrossRef]
- Lakens, D. Calculating and reporting effect sizes to facilitate cumulative science: a practical primer for t-tests and ANOVAs. Front Psychol 2013, 4, 863. [Google Scholar] [CrossRef] [PubMed]
- Swingle, M. i-Minds: How cell phones, computers, gaming, and social media are changing our brains, our behavior, and the evolution of our species; New Society Publishers: 2016.
- Kaplan, S. The restorative benefits of nature: Toward an integrative framework. Journal of environmental psychology 1995, 15, 169–182. [Google Scholar] [CrossRef]
- Robbins, R.; Stonehill, M. Investigating the neuroSky mindwave™ EEG headset. Transport Research Foundation 2014, 1, 14–20. [Google Scholar]
- Delorme, A.; Makeig, S. EEGLAB: an open source toolbox for analysis of single-trial EEG dynamics including independent component analysis. J Neurosci Methods 2004, 134, 9–21. [Google Scholar] [CrossRef] [PubMed]
- Makeig, S.; Bell, A.; Jung, T.-P.; Sejnowski, T.J. Independent component analysis of electroencephalographic data. Advances in neural information processing systems 1995, 8. [Google Scholar]
- Keil, A.; Debener, S.; Gratton, G.; Junghofer, M.; Kappenman, E.S.; Luck, S.J.; Luu, P.; Miller, G.A.; Yee, C.M. Committee report: publication guidelines and recommendations for studies using electroencephalography and magnetoencephalography. Psychophysiology 2014, 51, 1–21. [Google Scholar] [CrossRef] [PubMed]
- Buzsaki, G.; Draguhn, A. Neuronal oscillations in cortical networks. Science 2004, 304, 1926–1929. [Google Scholar] [CrossRef] [PubMed]
- Landis, J.R.; Koch, G.G. The measurement of observer agreement for categorical data. Biometrics 1977, 33, 159–174. [Google Scholar] [CrossRef] [PubMed]
- Franěk, M.; Šefara, D.; Petružálek, J.; Cabal, J.; Myška, K. Differences in eye movements while viewing images with various levels of restorativeness. Journal of Environmental Psychology 2018, 57, 10–16. [Google Scholar] [CrossRef]
- Van den Berg, A.E.; Joye, Y.; Koole, S.L. Why viewing nature is more fascinating and restorative than viewing buildings: A closer look at perceived complexity. Urban Forestry & Urban Greening 2016, 20, 397–401. [Google Scholar] [CrossRef]
- Carrus, G.; Lafortezza, R.; Colangelo, G.; Dentamaro, I.; Scopelliti, M.; Sanesi, G. Relations between naturalness and perceived restorativeness of different urban green spaces. Psyecology 2014, 4, 227–244. [Google Scholar] [CrossRef]
- Kellert, S.R.; Wilson, E.O. The biophilia hypothesis. 1995.
- Sheridan, D. Disordering public space: Urban wildscape processes in practice. In Urban wildscapes; Routledge: 2012; pp. 201-220.
- Kaplan, S.; Talbot, J.F. Psychological benefits of a wilderness experience. In Behavior and the natural environment; Springer: 1983; pp. 163-203.
- Hartig, T.; Mang, M.; Evans, G.W.J.E. ; behavior. Restorative effects of natural environment experiences. 1991, 23, 3–26. [Google Scholar]
- Schebella, M.F.; Weber, D.; Schultz, L.; Weinstein, P.J.S. The wellbeing benefits associated with perceived and measured biodiversity in Australian urban green spaces. 2019, 11, 802.
- Liu, Q.; Zhu, Z.; Zeng, X.; Zhuo, Z.; Ye, B.; Fang, L.; Huang, Q.; Lai, P.J.U.F.; Greening, U. The impact of landscape complexity on preference ratings and eye fixation of various urban green space settings. 2021, 66, 127411.
- Park, B.-J.; Furuya, K.; Kasetani, T.; Takayama, N.; Kagawa, T.; Miyazaki, Y. Relationship between psychological responses and physical environments in forest settings. Landscape and Urban Planning 2011, 102, 24–32. [Google Scholar] [CrossRef]
- Song, C.; Ikei, H.; Lee, J.; Park, B.J.; Kagawa, T.; Miyazaki, Y. Individual differences in the physiological effects of forest therapy based on Type A and Type B behavior patterns. J Physiol Anthropol 2013, 32, 14. [Google Scholar] [CrossRef] [PubMed]
- Korpela, K.M.; Ylen, M.; Tyrvainen, L.; Silvennoinen, H. Favorite green, waterside and urban environments, restorative experiences and perceived health in Finland. Health Promot Int 2010, 25, 200–209. [Google Scholar] [CrossRef] [PubMed]
- Verpoorter, C.; Kutser, T.; Seekell, D.A.; Tranvik, L.J. A global inventory of lakes based on high-resolution satellite imagery. Geophysical Research Letters 2014, 41, 6396–6402. [Google Scholar] [CrossRef]
- Jansson, M.; Fors, H.; Lindgren, T.; Wiström, B.J.U.f.; greening, u. Perceived personal safety in relation to urban woodland vegetation–A review. 2013, 12, 127-133.
- Igarashi, M.; Miwa, M.; Ikei, H.; Song, C.; Takagaki, M.; Miyazaki, Y. Physiological and Psychological Effects of Viewing a Kiwifruit (Actinidia deliciosa 'Hayward') Orchard Landscape in Summer in Japan. Int J Environ Res Public Health 2015, 12, 6657–6668. [Google Scholar] [CrossRef] [PubMed]
- Jiang, B.; Larsen, L.; Deal, B.; Sullivan, W.C. A dose–response curve describing the relationship between tree cover density and landscape preference. Landscape and Urban Planning 2015, 139, 16–25. [Google Scholar] [CrossRef]
- Wang, Y.; Zhang, Q.; Li, J. Effect of plantscape preference on the psychological recovery of university students: Based on the mediating effect of prototype landscape consciousness. Urban Forestry & Urban Greening 2023, 88. [Google Scholar] [CrossRef]
- Li, W. Research on the localization method of protecting traditional village landscape: a case study on tangyin. The International Archives of the Photogrammetry, Remote Sensing and Spatial Information Sciences 2015, 40, 289–294. [Google Scholar] [CrossRef]
- Li, L.; Lantao, W. Research on rural public space reconstruction for the aged from the perspective of community endowment—taking jinqiao village in fengyang as an example. In Proceedings of the IOP Conference Series: Earth and Environmental Science; 2020; p. 012076. [Google Scholar]
- Yifeng, Z. Solutions to the Construction of Rural Spaces in China Based on Its Problems. Journal of Landscape Research 2014, 6. [Google Scholar]
- Ulrich, R.S.; Simons, R.F.; Losito, B.D.; Fiorito, E.; Miles, M.A.; Zelson, M.J.J.o.e.p. Stress recovery during exposure to natural and urban environments. 1991, 11, 201-230.
- Lee, J.; Park, B.J.; Ohira, T.; Kagawa, T.; Miyazaki, Y. Acute effects of exposure to a traditional rural environment on urban dwellers: a crossover field study in terraced farmland. Int J Environ Res Public Health 2015, 12, 1874–1893. [Google Scholar] [CrossRef] [PubMed]
- Acar, C.; Kurdoglu, B.C.; Kurdoglu, O.; Acar, H.J.I.J.o.S.D.; Ecology, W. Public preferences for visual quality and management in the Kackar Mountains National Park (Turkey). 2006, 13, 499-512.
- Nordh, H.; Østby, K. Pocket parks for people–A study of park design and use. Urban For. Urban Green. 12 (1), 12–17. 2013.
- Nordh, H.; Hartig, T.; Hagerhall, C.; Fry, G.J.U.f.; greening, u. Components of small urban parks that predict the possibility for restoration. 2009, 8, 225-235.
- Jorgensen, A.; Hitchmough, J.; Calvert, T.J.L.; planning, u. Woodland spaces and edges: their impact on perception of safety and preference. 2002, 60, 135-150.
- Herzog, T.R.; Bryce, A.G.J.E. ; Behavior. Mystery and preference in within-forest settings. 2007, 39, 779–796. [Google Scholar]
- Herzog, T.R.; Maguire, P.; Nebel, M.B.J.J.o.e.p. Assessing the restorative components of environments. 2003, 23, 159-170.












| Measures | Measure types | N | % |
|---|---|---|---|
| Gender | Male | 20 | 50 |
| Female | 20 | 50 | |
| Age | 18–23 | 20 | 50 |
| 24–29 | 18 | 45 | |
| 30–35 | 2 | 5 | |
| Education | Undergraduate | 13 | 32.5 |
| Master student | 25 | 62.5 | |
| Doctoral student | 2 | 5 | |
| Permanent residence | City | 25 | 62.5 |
| Village | 15 | 37.5 |
| 1 | 2 | 3 | 4 | 5 | |
|---|---|---|---|---|---|
| 1 Being Away | 1 | ||||
| 2 Extent | 0.500*** | 1 | |||
| 3 Fascination | 0.576*** | 0.711*** | 1 | ||
| 4 Compatibility | 0.315*** | 0.329*** | 0.420*** | 1 | |
| 5 Overall restorative quality | 0.812*** | 0.782*** | 0.879*** | 0.628*** | 1 |
| Naturalness | City (Mean ± SD) | Rural (Mean ± SD) | t | P | CI |
|---|---|---|---|---|---|
| Whole | 3.523±0.373 | 3.160±0.492 | 2.646 | 0.012* | 0.085; 0.642 |
| NL | 3.804±0.454 | 3.470±0.578 | 2.034 | 0.049* | 0.002; 0.668 |
| SNL | 3.595±0.395 | 3.222±0.554 | 2.482 | 0.018* | 0.069; 0.677 |
| AL | 3.171±0.520 | 2.788±0.570 | 2.177 | 0.036* | 0.027; 0.739 |
| Naturalness | Constant | R | R2 | B | P | CI | VIF |
|---|---|---|---|---|---|---|---|
| Perceived | 1.949 | 0.845 | 0.714 | 0.624 | <0.001*** | 0.493; 0.754 | 2.504 |
| Actual | -0.228 | 0.367 | -0.728; 0.272 | 2.504 |
| Element | Constant | R | R2 | B | P | CI | VIF |
|---|---|---|---|---|---|---|---|
| Tree | 4.567 | 0.782 | 0.612 | 0.009 | 0.001** | 0.004; 0.015 | 1.909 |
| Building | -0.007 | 0.039* | -0.014; 0.000 | 1.997 | |||
| Path | -0.026 | 0.000*** | -0.039; -0.014 | 1.503 | |||
| Structure | -0.028 | 0.004** | -0.047; -0.010 | 1.150 | |||
| Sky | 0.005 | 0.642 | -0.015; 0.024 | 1.228 | |||
| Mountain | -0.024 | 0.157 | -0.057; 0.009 | 1.251 | |||
| Waterscape | 0.005 | 0.132 | -0.002; 0.012 | 1.711 | |||
| Farmland | 0.001 | 0.837 | -0.007; 0.009 | 1.326 | |||
| Infrastructure | -0.027 | 0.230 | -0.072; 0.018 | 1.378 | |||
| Grass | N | ||||||
| Naturalness | Element | Constant | R | R2 | B | P | CI | VIF |
|---|---|---|---|---|---|---|---|---|
| NL | Grass | 5.640 | 0.720 | 0.519 | -0.011 | 0.001** | -0.018; 0.005 | 1.461 |
| SNL | Mountain | 5.746 | 0.803 | 0.644 | -0.044 | 0.042* | -0.087; -0.002 | 1.352 |
| Waterscape | -0.025 | 0.002** | -0.039; -0.010 | 3.799 | ||||
| Farmland | -0.016 | 0.003** | -0.026; -0.006 | 1.919 | ||||
| AL | N | |||||||
| NL | SNL | AL | NFL | NGL | NWL | FL | AWL | AFL | SL | EL | RL | |
|---|---|---|---|---|---|---|---|---|---|---|---|---|
| M | 0.493 | 0.482 | 0.477 | 0.517 | 0.479 | 0.483 | 0.482 | 0.473 | 0.491 | 0.485 | 0.466 | 0.479 |
| SD | 0.152 | 0.138 | 0.130 | 0.201 | 0.127 | 0.165 | 0.149 | 0.144 | 0.159 | 0.133 | 0.142 | 0.134 |
| 1 | 2 | 3 | 4 | 5 | 6 | 7 | 8 | 9 | 10 | |
|---|---|---|---|---|---|---|---|---|---|---|
| 1 Sky | 1 | |||||||||
| 2 Trees | <0.001*** | 1 | ||||||||
| 3 Mountain | <0.001*** | 0.753 | 1 | |||||||
| 4 Waterscape | <0.001*** | 0.413 | 0.436 | 1 | ||||||
| 5 Farmland | 0.003** | <0.001*** | <0.001*** | <0.001*** | 1 | |||||
| 6 Grass | <0.001*** | 0.431 | 0.568 | 0.966 | <0.001*** | 1 | ||||
| 7 Building | <0.001*** | 0.069 | 0.138 | 0.386 | 0.003** | 0.271 | 1 | |||
| 8 Path | <0.001*** | 0.044* | 0.118 | 0.394 | <0.001*** | 0.297 | 0.874 | 1 | ||
| 9 Structure | <0.001*** | 0.021* | 0.022* | 0.143 | 0.010** | 0.112 | 0.469 | 0.262 | 1 | |
| 10 Infrastructure | <0.001*** | <0.001*** | <0.001*** | 0.004** | 0.163 | <0.001*** | 0.018* | <0.001*** | 0.023* | 1 |
Disclaimer/Publisher’s Note: The statements, opinions and data contained in all publications are solely those of the individual author(s) and contributor(s) and not of MDPI and/or the editor(s). MDPI and/or the editor(s) disclaim responsibility for any injury to people or property resulting from any ideas, methods, instructions or products referred to in the content. |
© 2024 by the authors. Licensee MDPI, Basel, Switzerland. This article is an open access article distributed under the terms and conditions of the Creative Commons Attribution (CC BY) license (http://creativecommons.org/licenses/by/4.0/).