Preprint
Article

This version is not peer-reviewed.

Propagation of a Partially Coherent Bessel—Gaussian Beam in a Uniform Medium and Turbulent Atmosphere

A peer-reviewed article of this preprint also exists.

Submitted:

20 May 2024

Posted:

21 May 2024

You are already at the latest version

Abstract
The study of coherent vortices remains an urgent field of singular optics of vortex beams. In this paper, coherent properties of partially coherent vortex Bessel—Gaussian optical beams propagating through a uniform medium (free space) or a turbulent atmosphere are examined theoretically. The consideration is based on analytical solution of the equation for the transverse second-order mutual coherence function of the field of a partially coherent optical radiation in a turbulent atmosphere. For the partially coherent Bessel—Gaussian beam, the second-order mutual coherence function of the source field is taken as a Gaussian Shell-model. In this approximation, we analyze the behavior of the coherence degree and the integral coherence scale of these beams as a function of the propagation pathlength, propagation conditions, and beam parameters, such as the radius of the Gauss factor of the beam, parameter of the Bessel factor of the beam, topological charge, and correlation width of the source field of partially coherent radiation. In addition, the integral coherence scale of the partially coherent vortex Bessel—Gaussian beam is compared with that of the partially coherent Gaussian beam. It is found that as a partially coherent vortex Bessel—Gaussian beam propagates through a turbulent atmosphere, there appear not two (as might be expected: one due to atmospheric turbulence and another due to partial coherence of the source field), but only one ring dislocation of the coherence degree (due to the simultaneous effect of both these factors on the optical radiation). In addition, it is shown that the dislocation of the coherence degree that affects significantly the beam coherence level is formed only for beams, for which the coherence width of the source field is larger than the diameter of the first Fresnel zone.
Keywords: 
;  ;  ;  ;  ;  ;  ;  ;  

1. Introduction

In singular optics, being one of the important fields of modern optics, much attention is paid to the study of vortex optical beams [1,2,3,4]. As is well-known, vortex optical beams carry the orbital angular momentum. Therefore, they are suitable for solving the problem of compressing an information channel in telecommunication systems using different states for the orbital angular momentum of the carrier optical radiation [5]. The interest in beams with orbital angular momentum grew after publication of [6], which proposed a method for obtaining beams with arbitrary values of the orbital angular momentum by converting Laguerre—Gaussian optical beams, as well as an experimental scheme for measuring of the orbital angular momentum by transferring it to a mechanical system.
It can be noted, however, that the study of optical beams with vortices began even earlier. For example, in [7,8], the structure of a monochromatic optical field was studied in connection with the existence of points, at which the amplitude of this field is zero. At the places where the optical field has not just a minimum, but an exactly zero value, the wave front of this field (constant phase surface) includes a spiral dislocation [9,10]. The issue of [6] was followed by numerous publications dealing with methods for generation of vortex beams in the optical range [11,12]. The interest to this problem existed recently [13,14] and still exists today [15,16,17].
The simplest optical elements that generate vortex optical fields are a spiral phase plate and a spiral axicon [18,19,20,21,22,23]. A feature of a vortex beam formed by such optical elements is an isolated intensity zero at the optical axis that appears just behind a spiral phase element. It was shown [24] that as an optical beam propagates in a uniform medium, an optical vortex (a helical phase front) and the corresponding isolated intensity zero leads to degradation of the quality of this beam. With development of the theory of propagation of partially coherent and polarized polychromatic optical radiation with the helical (spiral) phase front in uniform and randomly inhomogeneous media (in particular, in a turbulent atmosphere), the study of coherence vortices has become urgent [25,26,27,28,29].
The phenomenon of diffraction is one of manifestations of the wave nature of optical radiation [30]. Nevertheless, there exist optical structures capable of keeping their original intensity distribution of the optical field while propagating in a proper medium [1-4,22,23]. Invariance is the main property of optical modes when propagating in their medium. That is, modes do not change their spatial structure in the process of propagation. Bessel modes, for example, propagate without changing in a uniform medium (free space) [1,2,3,4]. As to the Gaussian modes, they keep their structure up to a scale in a uniform medium (free space) [1,2,3,4].
The second-order mutual coherence function is widely used not only in the wave and singular optics, but also in other areas of physics [30,31,32,33]. Since the random diffraction reduces the coherence of optical radiation propagating along long randomly inhomogeneous paths, the study of this issue is of undoubted practical interest [34,35,36,37]. The feasibility of forming coherent vortex Bessel beams in a turbulent atmosphere was analyzed in [34] based on studies of average intensity profiles of optical radiation.
The mutual coherence functions of diffraction-free Bessel and Bessel-like optical beams propagating in a turbulent atmosphere have some common features that distinguish them from other types of optical beams [35]. The propagation of limited Bessel beams in a turbulent atmosphere was simulated numerically in [36] with the method of phase screens. The theoretical and experimental studies concerning generation and propagation of partially coherent vortex beams in various media can be found in [37].
Specialists in adaptive optics have also turned their attention to Bessel and Bessel-like optical beams [38,39,40,41,42]. They considered both the removal of regular distortions of optical beams due to imperfection of optical systems forming these beams [41] and the feasibility of compensating for the effect of random inhomogeneities of a turbulent atmosphere [38,39,40].
In this paper, the behavior of the coherence degree and the integral coherence scale of partially coherent vortex Bessel—Gaussian beams propagating through either a uniform medium (free space) or a randomly inhomogeneous turbulent atmosphere is analyzed theoretically. The consideration is based on the analytical solution of the equation for the transverse second-order mutual coherence function of the field of partially coherent optical radiation in a turbulent atmosphere [43]. For the partially coherent Bessel—Gaussian beam, the second-order mutual coherence function of the source field was set in the form of the Gaussian Shell-model.
The behavior of the coherence degree and integral coherence scale of partially coherent vortex Bessel—Gaussian beams was analyzed as a function of the following parameters of optical radiation: the initial radius of the Gaussian factor of the beam field, wave vector component transverse to the radiation propagation direction (parameter of the Bessel factor of the beam field), topological charge of the beam (parameter of vortex beam), and the coherence width of the source field of partially coherent radiation, as well as the propagation conditions and pathlength.
A fundamental difference was noticed between coherent properties of partially coherent vortex Bessel—Gaussian beams propagating in a turbulent atmosphere from similar characteristics of partially coherent vortex Bessel—Gaussian beams propagating in a uniform medium (free space) or characteristics of fully coherent Bessel—Gaussian beams in a turbulent atmosphere. The integral coherence scale of the partially coherent vortex Bessel—Gaussian beam was compared with the similar characteristic of the partially coherent non-vortex Gaussian beam.

2. Basic Definitions

For the partially coherent vortex Bessel—Gaussian optical beam propagating in the direction of the O x coordinate axis, the second-order mutual coherence function of the source field U 0 ( ρ ) at x = 0 is set as a product of the fields at the observation points by the Gauss-form correlator depending on the difference between the observation points (a Gaussian Schell-model source) [44,45,46,47,48,49]:
Γ 2 ( 0 ) ( ρ 1 , ρ 2 ) = U 0 ( ρ 1 ) U 0 ( ρ 2 ) ¯ = E 0 2 g g ( ρ 1 ) g g ( ρ 2 ) g b ( ρ 1 ) g b ( ρ 2 ) exp [ ( ρ 1 ρ 2 ) 2 4 l c 2 ] ,
where the overbar means averaging over an ensemble of realizations of source fluctuations; E 0 is the initial amplitude of the beam at its optical axis; ρ j = { y j , z j } = { ρ j , ϕ j } are spatial coordinates transverse to the direction of optical radiation propagation; ρ j = y j 2 + z j 2 , ϕ j = arctan ( z j / y j ) are the absolute values and arguments of these coordinates; j = 1 , 2 ; g g ( ρ j ) = g g ( ρ j , ϕ j ) = exp ( ρ j 2 2 a 0 2 i k 2 R 0 ρ j 2 ) is the Gaussian factor of the optical beam; g b ( ρ j ) = g b ( ρ j , ϕ j ) = J m ( β ρ j ) exp ( i m ϕ j ) is the Bessel factor of the beam; a 0 is the initial radius of the Gaussian factor of the beam field; R 0 is the curvature radius of the parabolic wavefront at the transmitting aperture; k = 2 π / λ is the wave number of the optical radiation; λ is the wavelength of optical radiation in vacuum; β = k 2 k x 2 is the wave vector k component orthogonal to the axis of optical radiation propagation (parameter of the Bessel beam, scalar parameter measured in [ m 1 ] ); k x is the wave vector component in the direction of the O x axis; m is the topological charge of the vortex beam (dimensionless integer scalar parameter of vortex beam); J m ( ) is the mth-order first-kind Bessel function; and l c is the coherence width of the source field [48,49].
Coherent properties of partially coherent vortex Bessel—Gaussian beams propagating in a turbulent atmosphere are described with the transverse second-order mutual coherence function [43,44] of the beam field U ( x , ρ ) :
Γ 2 ( x , ρ 1 , ρ 2 ) = U ( x , ρ 1 ) U ( x , ρ 2 ) ¯ ,
where the overbar, similarly to Equation (1), denotes the averaging over an ensemble of realizations of source fluctuations; is the ensemble of realizations of refractive index fluctuations in a turbulent atmosphere; { x , ρ 1 } and { x , ρ 2 } are observations points, and x is the path length.
Let us consider the propagation of the partially coherent vortex Bessel—Gaussian beam in a turbulent atmosphere in the paraxial approximation [43], that is, near the optical axis of the beam. In this case, the following equation is true for the transverse second-order mutual coherence function (2) of the beam field U ( x , ρ j ) E ( x , ρ j ) exp ( i k x ) ( j = 1 , 2 ) [43]:
Γ 2 ( x , ρ 1 , ρ 2 ) = U ( x , ρ 1 ) U ( x , ρ 2 ) ¯ E ( x , ρ 1 ) E ( x , ρ 2 ) ¯ ,
where E ( x , ρ j ) is the complex amplitude of the beam at the observation point { x , ρ j } ; and j = 1 , 2 .
The equation for the transverse second-order mutual coherence function of the field of partially coherent optical beam (3) in a turbulent atmosphere at an arbitrary form of the initial mutual coherence function Γ 2 ( 0 ) ( ρ 1 , ρ 2 ) (1) can be written asymptotically rigorously as [43]:
Γ 2 ( x , ρ 1 , ρ 2 ) = Γ 2 ( x , R , ρ ) E ( x , ρ 1 ) E ( x , ρ 2 ) ¯ = E ( x , R + ρ / 2 ) E ( x , R ρ / 2 ) ¯ a = 1 , = k 2 4 π 2 x 2 d ρ 1 d ρ 2 Γ 2 ( 0 ) ( ρ 1 , ρ 2 ) exp { i k x R [ ρ ( ρ 1 ρ 2 ) ] i k 2 x ρ ( ρ 1 + ρ 2 ) + i k 2 x ( ρ 1 2 ρ 2 2 ) π k 2 x 0 1 d ξ H [ ξ ρ + ( 1 ξ ) ( ρ 1 ρ 2 ) ] } ,
where H ( η ) = 2 d κ Φ n ( κ ) [ 1 cos ( κ η ) ] is the function describing the effect of random inhomogeneities of the refractive index of a turbulent atmosphere on the optical radiation; Φ n ( κ ) is the spectrum of fluctuations of the refractive index of a turbulent atmosphere; R = ( ρ 1 + ρ 2 ) / 2 and ρ = ρ 1 ρ 2 are the sum and difference coordinates of observation points. We consider the Kolmogorov spectrum of refractive index fluctuations [43]: Φ ε ( κ ) = 0.033 C n 2 κ 11 / 3 , where C n 2 is the structure characteristic of refractive index fluctuations [43].
In this case, the integral of the function H ( η ) describing the effect of a randomly inhomogeneous medium on optical radiation from Equation (4) acquires the following form:
π k 2 x 0 1 d ξ H [ ξ ρ + ( 1 ξ ) ( ρ 1 ρ 2 ) ] ρ 0 5 / 3 0 1 d ξ | ξ ρ + ( 1 ξ ) ( ρ 1 ρ 2 ) | 5 / 3 ,
where ρ 0 = ( 1.46 C n 2 k 2 x ) 3 / 5 is the coherence radius of a plane optical wave in a turbulent atmosphere [43,50]. As was shown in [50,51], to facilitate the following analysis of Equation (4) with initial condition (1), the effect of random inhomogeneities of a turbulent atmosphere can be taken into account in the square approximation for the function H ( η ) :
π k 2 x 0 1 d ξ H [ ξ ρ + ( 1 ξ ) ( ρ 1 ρ 2 ) ] 1 3 ρ 0 2 [ ρ 2 + ρ ( ρ 1 ρ 2 ) + ( ρ 1 ρ 2 ) 2 ] .

3. Basic Relations

For partially coherent vortex Bessel—Gaussian beam (1) propagating in a turbulent atmosphere (5) described with the square approximation (6), the integral equation for the transverse second-order mutual coherence function (4) of the field of partially coherent Bessel—Gaussian beam (1) can be simplified. With allowance for Equation (6), the quadruple integral (4) with the initial distribution (1) can be converted using the following table relation [52]:
J m ( β y 2 + z 2 ) exp [ i m arctan ( z y ) ] = 1 2 π exp ( i m π 2 ) 0 2 π d ϕ exp [ i m ϕ i β y cos ( ϕ ) i β z sin ( ϕ ) ] ,
to a sixfold integral, which, after calculating the table integrals [52], can be transformed into a relation in the form of a double integral. In what follows, we analyze the integral equation obtained in this way (with the use of Equation (7)):
Γ 2 vbgb ( x , R , ρ ) = Γ 2 gb ( x , R , ρ ) Γ 2 fvbb ( x , R , ρ ) ,
where Γ 2 gb ( x , R , ρ ) is the transverse second-order mutual coherence function of the partially coherent non-vortex Gaussian beam propagating in a turbulent atmosphere [50]; Γ 2 fvbb ( x , R , ρ ) is the transverse second-order mutual coherence function of truncated (by the Gaussian beam) partially coherent vortex Bessel beam propagating in a turbulent atmosphere.
Particular equations for the functions Γ 2 gb ( x , R , ρ ) and Γ 2 fvbb ( x , R , ρ ) from Equation (8) are given below. The first factor of Equation (8) Γ 2 gb ( x , R , ρ ) that coincides with the transverse second-order mutual coherence function of the partially coherent Gaussian beam propagating in a turbulent atmosphere is independent of the Bessel beam parameters:
Γ 2 gb ( x , R , ρ ) = E 0 2 g r 2 ( x ) exp { Ω 0 1 ( R ˜ 2 + ρ ˜ 2 4 ) g r 2 ( x ) + i g b ( x ) R ˜ ρ ˜ cos ( ϕ R ϕ ρ ) g r 2 ( x ) [ 1 4 q c + g c ( x ) q ] ρ ˜ 2 g r 2 ( x ) } ,
where R = { R , ϕ R } , ρ = { ρ , ϕ ρ } are polar coordinates of the sum and difference vectors of observation points ρ 1 and ρ 2 ; R ˜ = k / x R ; ρ ˜ = k / x ρ are the coordinates of the sum R and difference ρ vectors of observation points ρ 1 and ρ 2 upon normalization to the diameter of the first Fresnel zone x / k ; a ( x ) = a 0 g r ( x ) is the current value of the radius of the partially coherent Gaussian beam [50]; g r ( x ) = ( 1 η ) 2 + Ω 0 2 ( 1 + Ω 0 q c + 4 3 Ω 0 q ) , g b ( x ) = η ( 1 η ) + Ω 0 2 ( 1 + Ω 0 q c + 2 Ω 0 q ) and g c ( x ) = ( 1 η + 1 3 η 2 ) + 1 3 Ω 0 2 ( 1 + Ω 0 q с + Ω 0 q ) are geometric factors used when describing changes in the radius, wavefront curvature, and coherence of the partially coherent Gaussian beam in a turbulent atmosphere [50]; η = x / R 0 is the beam focusing parameter [50]; Ω 0 = k a 0 2 / x is the Fresnel number of the transmitting aperture [50]; q c = x / ( k l c 2 ) is the parameter characterizing the propagation conditions for partially coherent optical radiation at a uniform path (optical thickness of a uniform medium for partially coherent radiation); and q = x / ( k ρ 0 2 ) is the parameter characterizing the conditions of propagation of optical radiation in a turbulent atmosphere (optical thickness of the turbulent atmosphere) [50].
In Equation (8), the second factor Γ 2 fvbb ( x , R , ρ ) is the transverse second-order mutual coherence function of the truncated (by the Gaussian beam) partially coherent vortex Bessel beam propagating in a turbulent atmosphere. This factor depends on the parameters of the Gaussian factor of the beam:
Γ 2 fvbb ( x , R , ρ ) = Γ 2 fvbb ( x , R , ϕ R , ρ , ϕ ρ ) = 1 4 π 2 exp [ ( 1 + 1 2 Ω 0 q c + 2 3 Ω 0 q ) Ω 0 1 β ˜ 2 g r 2 ( x ) ] × 0 2 π d ϕ exp { i m ϕ i g f ( x ) β ˜ R ˜ cos ( ϕ R ϕ ) g r 2 ( x ) i 2 g f ( x ) β ˜ ρ ˜ cos ( ϕ ρ ϕ ) g r 2 ( x ) [ 1 2 q c + g t ( x ) q ] β ˜ ρ ˜ g r 2 ( x ) cos ( ϕ ρ ϕ ) } × 0 2 π d ψ exp { i m ψ + i g f ( x ) β ˜ R ˜ cos ( ϕ R ψ ) g r 2 ( x ) i 2 g f ( x ) β ˜ ρ ˜ cos ( ϕ ρ ψ ) g r 2 ( x ) + [ 1 2 q c + g t ( x ) q ] β ˜ ρ ˜ g r 2 ( x ) cos ( ϕ ρ ψ ) + ( 1 2 q c + 2 3 q ) β ˜ 2 g r 2 ( x ) cos ( ϕ ψ ) } ,
where β ˜ = x / k β is the normalized parameter of the Bessel beam; g f ( x ) = ( 1 η ) + i Ω 0 1 and g t ( x ) = ( 1 1 3 η ) + i 1 3 Ω 0 1 are geometric factors.
Thus, Equation (8) demonstrates not complete, but only partial factorization of the contributions of the Gaussian and Bessel components of the beam. Equation (8) describes the transverse second-order mutual coherence function of the partially coherent vortex Bessel—Gaussian beam propagating in a turbulent atmosphere in the paraxial zone of the beam [43,50].
Correspondingly, at q = 0 Equation (8) describes the transverse second-order mutual coherence function of the partially coherent vortex Bessel—Gaussian beam in its paraxial zone for the propagation in a uniform medium (free space). Similarly, at q = 0 , that is, for the propagation in a uniform medium (free space), the transverse second-order mutual coherence function of the truncated (by the Gaussian beam) partially coherent vortex Bessel beam in its paraxial zone is described by Equation (10).
Since the spatial coordinates are defined as in Equation (4), the normalized second-order mutual coherence function (complex coherence degree) of an optical beam has the following form [30,31,32,33,43,44,50]:
γ 2 ( x , R , ρ ) = Γ 2 ( x , R , ρ ) I ( x , R + ρ / 2 ) ¯ I ( x , R ρ / 2 ) ¯ ,
where I ( x , R ) ¯ = Γ 2 ( x , R , 0 ) is the mean intensity of the partially coherent optical beam in a turbulent atmosphere for the point { x , R } . Known the complex coherence degree (11), we can write the equation for the absolute value of the complex coherence degree μ ( x , ρ ) of the partially coherent optical beam at its optical axis ( R = 0 ):
μ ( x , ρ ) = { Re [ γ 2 ( x , 0 , ρ ) ] } 2 + { Im [ γ 2 ( x , 0 , ρ ) ] } 2 .
If the coherence degree μ ( x , ρ ) described by Equation (12) has one maximum, then the coherence radius ρ c can be found from the condition: μ ( x , ρ c ) = exp ( 1 ) = 0.37 . At the same time, when describing the coherence of Bessel or Bessel—Gaussian optical beams (since the coherence degree has a more complex structure in these cases [29,35,51]), it is better determining the coherence degree scale through the integral equation [35,53,54]:
ρ m = 0 d ρ μ ( x , ρ ) ,
where ρ m is the integral coherence scale of an optical beam.

4. Coherence Degree of Bessel Beams

As can be seen from Equation (8), the equation for the second-order mutual coherence function of the partially coherent vortex Bessel—Gaussian beam propagating in a turbulent atmosphere decomposes into two factors. One of them is the second-order mutual coherence function of the partially coherent non-vortex Gaussian beam in a turbulent atmosphere Γ 2 gb ( x , R , ρ ) (9) [30], while another is the second-order mutual coherence function of the truncated (by the Gaussian beam) partially coherent vortex Bessel beam in a turbulent atmosphere Γ 2 fvbb ( x , R , ρ ) (10). Since the second-order mutual coherence function of the partially coherent Gaussian optical beam propagating in a turbulent atmosphere Γ 2 gb ( x , R , ρ ) is studied thoroughly [50], we consider below the second-order mutual coherence function of the partially coherent truncated vortex Bessel—Gaussian beam in a turbulent atmosphere Γ 2 fvbb ( x , R , ρ ) .
First, we consider the case of unlimited ( a 0 , R 0 ) partially coherent vortex Bessel beam (1). In this case, the second-order mutual coherence function Γ 2 fvbb ( x , R , ρ ) (10) takes a simpler form Γ 2 vbb ( x , R , ρ ) :
Γ 2 vbb ( x , R , ρ ) = E 0 2 4 π 2 exp [ ( 2 3 q + 1 2 q c ) β ˜ 2 ( q + 1 4 q c ) ρ ˜ 2 ] × 0 2 π d ϕ exp [ i m ϕ i β ˜ R ˜ cos ( ϕ R ϕ ) i 2 β ˜ ρ ˜ cos ( ϕ ρ ϕ ) ( q + 1 2 q c ) β ˜ ρ ˜ cos ( ϕ ρ ϕ ) ] × 0 2 π d ψ exp [ i m ψ + i β ˜ R ˜ cos ( ϕ R ψ ) i 2 β ˜ ρ ˜ cos ( ϕ ρ ψ ) + ( q + 1 2 q c ) β ˜ ρ ˜ cos ( ϕ ρ ψ ) + ( 2 3 q + 1 2 q c ) β ˜ 2 cos ( ϕ ψ ) ] .
Correspondingly, at q = 0 Equation (14) describes the behavior of the second-order mutual coherence function of unlimited partially coherent vortex Bessel beam propagating in a uniform medium.

4.1. Coherence Degree of Partially Coherent Bessel Beams in a Uniform Medium

As a fully coherent optical radiation with the helical phase profile propagates in a uniform medium, it keeps its coherence, that is, coherence degree (12) of vortex optical radiation is equal to unity at any point of the propagation path ( μ ( x , ρ ) 1 ) [30,31,32], while the integral coherence scale (13) tends to infinity ( ρ m ). If a partially coherent vortex optical beam propagates in a uniform medium (free space), then it coherence decreases during the transfer of vortex radiation due to the presence of random diffraction at the transmitting aperture [25,26,27,28]: μ ( x , ρ ) 1.0 and ρ m < .
Figure 1a,b shows the coherence degree μ vbb ( x , ρ ) of partially coherent ( q c 0 ) vortex Bessel ( m = 1 , 2 ) beams for β ˜ = 1.0 at the optical axes of the beams ( R ˜ = 0 ) as calculated by Equations (11), (12), and (14) for the beams propagating along uniform paths (that is, at q = 0 ). The coherence degree μ vbb ( x , ρ ) of vortex Bessel ( m = 1 , 2 ) beams μ vbb ( x , ρ ) [ 1 ; 0 ] as a function of the normalized radial coordinate ρ ˜ [ 0 ; 10 ] and the optical thickness of a uniform medium for the partially coherent radiation q c [ 0 ; 5 ] is shown as color contour plots (100 pseudo-colors). In Figure 1a ( m = 1 ) and Figure 1b ( m = 2 ), we can see how a ring dislocation of coherence degree [26,29] appears and disappears in the paraxial zone ( ρ ˜ < 3 ) of partially coherent vortex Bessel beams propagating in a uniform medium. A ring dislocation is a zone of low coherence in the two-dimensional field of coherence degree of optical radiation with the helical phase profile near the optical axis of the beam. A necessary condition for existence of a ring dislocation of coherence degree for axially symmetric vortex beams (independent of the angular coordinate ϕ ) is that the coherence degree takes zero value on at least one circle centered at the optical axis of the beam. The number of zeros in a ring dislocation of coherence degree is equal to the topological charge of the vortex beam m .
It is worth recalling that the definition of a ring dislocation for an axially symmetric vortex Bessel beam (independent of the angular coordinate ϕ ) means the fulfillment of the condition that μ vbb ( x , ρ ring ) = 0 , where ρ ring is the coordinate of a ring dislocation [29]. In fact, for the vortex beam with m = 1 (see Figure 1a), we have one value of ρ ring : Re [ μ vbb ( x , ρ ) ] 0 at ρ ρ ring and Re [ μ vbb ( x , ρ ) ] < 0 at ρ > ρ ring , while Im [ μ vbb ( x , ρ ) ] = 0 everywhere. As to the vortex beam with m = 2 (see Figure 1b), in this case we have two values of ρ ring ( ρ ring   1 and ρ ring   2 ; let ρ ring   2 > ρ ring   1 ): Re [ μ vbb ( x , ρ ) ] 0 at ρ ρ ring   1 , Re [ μ vbb ( x , ρ ) ] < 0 and ρ ring   1 < ρ < ρ ring   2 , and Re [ μ vbb ( x , ρ ) ] 0 at ρ > ρ ring   2 , while Im [ μ vbb ( x , ρ ) ] = 0 everywhere. The data shown in Figure 1a,b suggest that as the topological charge of the vortex beam m increases, the coherence of vortex Bessel beams decreases due to an increase in the size of a ring dislocation.
As can be seen from Figure 1a,b, the coherence degree of the Bessel beam μ vbb ( x , ρ ) at its optical axis, except for the zone of ring dislocation, generally decreases with an increase of the dimensionless variable ρ ˜ . However, at q c < 1.0 , the coherence degree pattern periodically demonstrates twin regions of low coherence with an intermediate narrow subregion of high coherence. In particular, in Figure 1a for the Bessel optical beam with m = 1 , we can see one such region in the range ρ ˜ [ 0 ; 10 ] . The middle of this region of low coherence falls on the argument of 7.66 , which corresponds to the doubled value of the first positive zero of the first-kind first-order Bessel function ( 3.83 ). For the Bessel optical beam with m = 2 in Figure 1b, such regions are practically invisible, since the middle of the first of them falls on ρ ˜ 10.27 (associated with the first positive zero of the first-kind second-order Bessel function equal to 5.14 ). The existence of such regions of low coherence for the Bessel beam at q c < 1.0 can be explained by the effect of the beam regular structure [51], which still preserves at q c < 1.0 , on the beam coherence. It can be easily noticed (see Figure 1a,b) that the effect of the helical phase profile on the coherence of the partially coherent radiation preserves at the higher values of the optical thickness of a uniform medium q c (manifesting itself in the ring dislocation of coherence degree) than the effect of the regular structure of the Bessel beam (manifesting itself in the existence of secondary intensity minima of this beam).

4.2. Coherence Degree of Coherent Bessel Beams in a Turbulent Atmosphere

In this subsection, we considers the results concerning the propagation of fully coherent ( q c = 0 ) optical radiation in a turbulent atmosphere ( q 0 ). The coherence degree μ vbb ( x , ρ ) of fully coherent vortex Bessel beams ( m = 1 , 2 ) propagating in a turbulent atmosphere for β ˜ = 1.0 at the optical axis ( R ˜ = 0 ) as calculated by Equations (11), (12), and (14) is shown in Figure 2a (for m = 1 ) and Figure 2b (for m = 2 ). Figure 2a,b is also color contour plots (100 pseudo-colors) of the coherence degree μ vbb ( x , ρ ) of vortex Bessel beams: μ vbb ( x , ρ ) [ 1 ; 0 ] , as a function of the normalized radial coordinate ρ ˜ [ 0 ; 10 ] , but with the optical thickness of a turbulent atmosphere q [ 0 ; 5 ] as a dimensionless parameter. In this case, a ring dislocation of coherence degree [29] is also formed in the paraxial zone ( ρ ˜ < 3 ) of the vortex Bessel beam.
The data shown in Figure 1 and Figure 2 allow us to conclude that the coherence transfer mechanisms for the partially coherent vortex Bessel beams in a uniform medium and fully coherent vortex Bessel beams in a turbulent atmosphere are nearly identical. The contour plots shown in these figures almost completely coincide in the main details, but some differences are observed only in their fine structure. However, these differences do exist, and they cannot be removed by scaling of the plots. In this sense, the situation is fundamentally different from the case of the non-vortex Gaussian beam [50].
In connection with the aforesaid, we can conclude that the partially coherent optical radiation described by the Gaussian Shell-model is an optical wave with large phase distortions at the source. The turbulent atmosphere, in its turn, introduces large phase distortions to the optical wave during the propagation. This is the similarity and the difference between the two problems. The lower sensitivity of a non-vortex Gaussian beam to differences in these propagation schemes is associated with the ideal appodization of this beam to both a uniform medium and a turbulent atmosphere [50].

4.3. Coherence Degree of Partially Coherent Bessel Beams in a Turbulent Atmosphere

The process of transformation of the coherence degree of partially coherent vortex Bessel beams in a turbulent atmosphere is illustrated in Figure 3 (for beams with β ˜ = 1.0 and m = 1 ) at four values of the optical thickness of a uniform medium for the partially coherent radiation q c .
These figures show the color contour plots (100 pseudo-colors) of the coherence degree μ vbb ( x , ρ ) [ 1 ; 0 ] of partially coherent vortex Bessel beams as a function of the normalized coordinate ρ ˜ [ 0 ; 10 ] and the normalized parameter (optical thickness of a turbulent atmosphere): q [ 0 ; 10 ] . As to the coherence degree of partially coherent vortex Bessel beams propagating in a turbulent atmosphere, the following can be noted.
1) Factors affecting the coherence of the vortex Bessel beam, partial coherence of the optical radiation and random inhomogeneities of a turbulent atmosphere exert not an additive, but a multiplicative distorting effect (see Equation (14) or Equation (10)).
2) As a partially coherent vortex Bessel beam propagates in a turbulent atmosphere, we could expect the formation of two ring dislocations: one due to atmospheric turbulence and another due to partial coherence of the radiation source. However, only one ring dislocation of coherence degree of vortex Bessel beam is actually observed, because these factors affect optical radiation simultaneously.
3) A ring dislocation of the vortex Bessel beam is formed at any values of the optical thickness of a uniform medium for the partially coherent radiation q c .
4) As the optical thickness of a uniform medium for the partially coherent radiation q c increases, a ring dislocation of the partially coherent vortex Bessel beam grows in size, while its dependence on the optical thickness of a turbulent atmosphere q reduces.
5) However, if the optical thickness of a uniform medium for the partially coherent radiation is greater than unity ( q c 1.0 ), a ring dislocation of the coherence degree is formed at low levels of coherence degree μ vbb ( x , ρ ) and thus no longer exerts a significant effect on the coherence level of partially coherent vortex Bessel beam as a whole.
6) For small values of the optical thickness of a uniform medium for the partially coherent radiation ( q c 0.1 ), a ring dislocation of coherence degree is formed in nearly the same way as in the case of the fully coherent vortex Bessel beam (compare Figure 3a,b with Figure 2a).
7) At a low level of initial coherence of optical radiation ( q c 1.0 ), the effect of atmospheric turbulence on the coherence degree μ vbb ( x , ρ ) manifests itself only in the area of strong radiation fluctuations due to turbulence ( q 1.0 ) (see Figure 3c,d).

5. Integral Coherence Scale of Bessel Beams

If the data on the second-order mutual coherence function of the optical radiation field is available, we can assess the coherent properties of the field, in particular, the coherence scale of optical radiation [30,31,32,33,43,44,50]. It was shown in [35,53,54] that the integral coherence scale (13) of vortex Bessel and vortex Bessel—Gaussian beams, unlike the coherence radius of these beams, is almost uniquely related to the conditions of propagation of optical radiation in a turbulent atmosphere. Thus, the integral coherence scale ( ρ m vbb or ρ m vbgb ) (13) for vortex Bessel and vortex Bessel—Gaussian beams is a more representative characteristic than their coherence radius ( ρ m vbb or ρ c vbgb ).
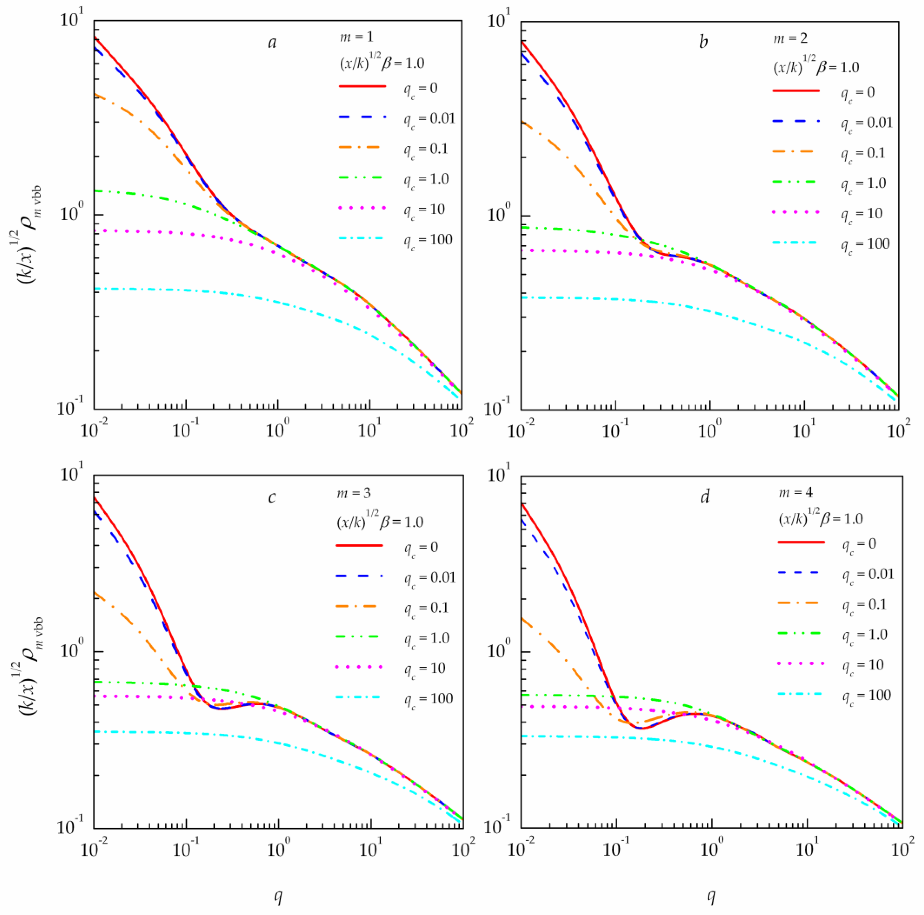
This section provides the integral coherence scale ρ m vbb (13) of unlimited ( a 0 , R 0 ) partially coherent vortex Bessel beams (1) at the optical axis ( R ˜ = 0 ) as calculated with Equations (11)–(14). Figure 4 depicts the integral coherence scale ρ m vbb of partially coherent vortex Bessel beams with different values of the topological charge m = 1 , 2 , 3 , 4 at the normalized parameter of the Bessel beam equal to unity ( β ˜ = 1.0 ). In Figure 4, the calculated results are shown to demonstrate the behavior of the integral coherence scale of partially coherent vortex Bessel beams in a turbulent atmosphere ρ m vbb = f 1 ( q ) for several values of the normalized parameter q c (optical thickness of a uniform medium for partially coherent radiation).
One can see that in the region of weak fluctuations of optical radiation due to atmospheric turbulence ( q 1.0 ), the integral coherence scale ρ m vbb (13) of partially coherent vortex Bessel beams (1) is significantly affected by the initial coherence of optical radiation. In the region of strong fluctuations of optical radiation due to atmospheric turbulence ( q 1.0 ), to the contrary, the decisive factor for the integral coherence scale ρ m vbb (13) of partially coherent vortex Bessel beams (1) is not the partial coherence of optical radiation, but turbulence of the propagation medium.
The only exception is optical beams with very low initial coherence ( q c ~ 100.0 ). Turbulence has a minimal effect on them, because the decisive role in this case is played by the initial coherence of optical radiation. This is explained by the fact that for these beams the coherence is already at such a low level that Atmospheric turbulence can almost completely suppress the process of coherence restoration when the incoherent optical radiation propagates along the path.
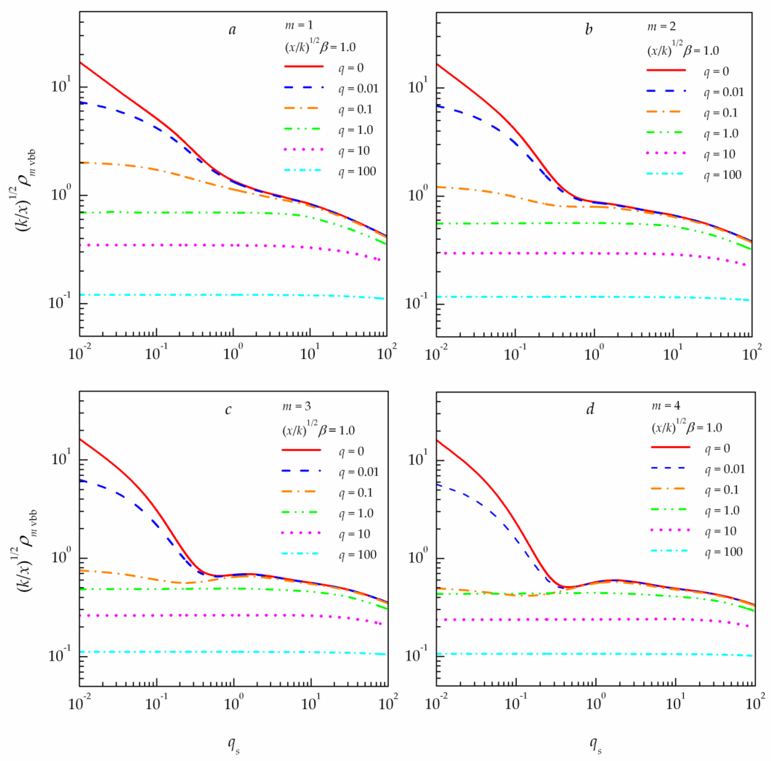
The results of these calculations are shown in Figure 5 to demonstrate the behavior of the integral coherence scale of partially coherent vortex Bessel beams ρ m vbb = f ( q c ) 2 for several values of the normalized parameter q characterizing the conditions of radiation propagation in a turbulent atmosphere. It is easy to see (Figure 4) that significant changes in the integral coherence scale of partially coherent vortex Bessel beams are observed in the region of weak fluctuations of optical radiation due to turbulence ( q 1.0 ) for optical beams with the high initial coherence ( q c < 1.0 ).
Thus, the data obtained for the integral coherence scale of partially coherent vortex Bessel beams ρ m vbb for several values of the topological charge m ( m = 1 , 2 , 3 , 4 ) at radiation propagation in a turbulent atmosphere (see Figure 4 and Figure 5) demonstrate that the integral coherence scale of partially coherent vortex Bessel beams changes significantly only the intermediate region of transition from weak to strong radiation fluctuations due to atmospheric turbulence only for optical beams with the high initial coherence ( q c < 1.0 ).
The data shown in Figure 6 are obtained for the integral coherence scale of partially coherent vortex Bessel ρ m vbb at m = 1 for different values of the Bessel beam parameter β ˜ . These results demonstrate that the integral coherence scale of partially coherent vortex Bessel beam ρ m vbb depends rather weakly on the normalized Bessel parameter beam β ˜ (in the range from 0.5 to 4.0).
The normalized Bessel beam parameter β ˜ has the strongest effect on the integral coherence scale of partially coherent vortex Bessel beam ρ m vbb in the region of transition from weak to strong radiation fluctuations due to atmospheric turbulence. The only exception is partially coherent optical beams with the low initial coherence level q c 1.0 , that is, partially coherent beams, for which the correlation width of the source field is smaller than the diameter of the first Fresnel zone.
It should be emphasized that the vortex character of the optical beam has the minimal effect on its coherence during the propagation. The vortex character influences only optical beams with high initial coherence ( q c < 1.0 ) in the region q [ 0.1 ; 1.0 ] and has practically no effect on the coherence behavior of beams with the low initial coherence level ( q c 1.0 ). This phenomenon is associated with the ring dislocation of coherence degree of vortex Bessel beams [29] that forms at q ~ 0.1 and disappears at q ~ 1.0 (see Figure 3). All this happens in the region of transition from low to high fluctuations in a turbulent medium, i.e. when the diffraction-free beam still continues to keep (albeit partially) its invariant properties.

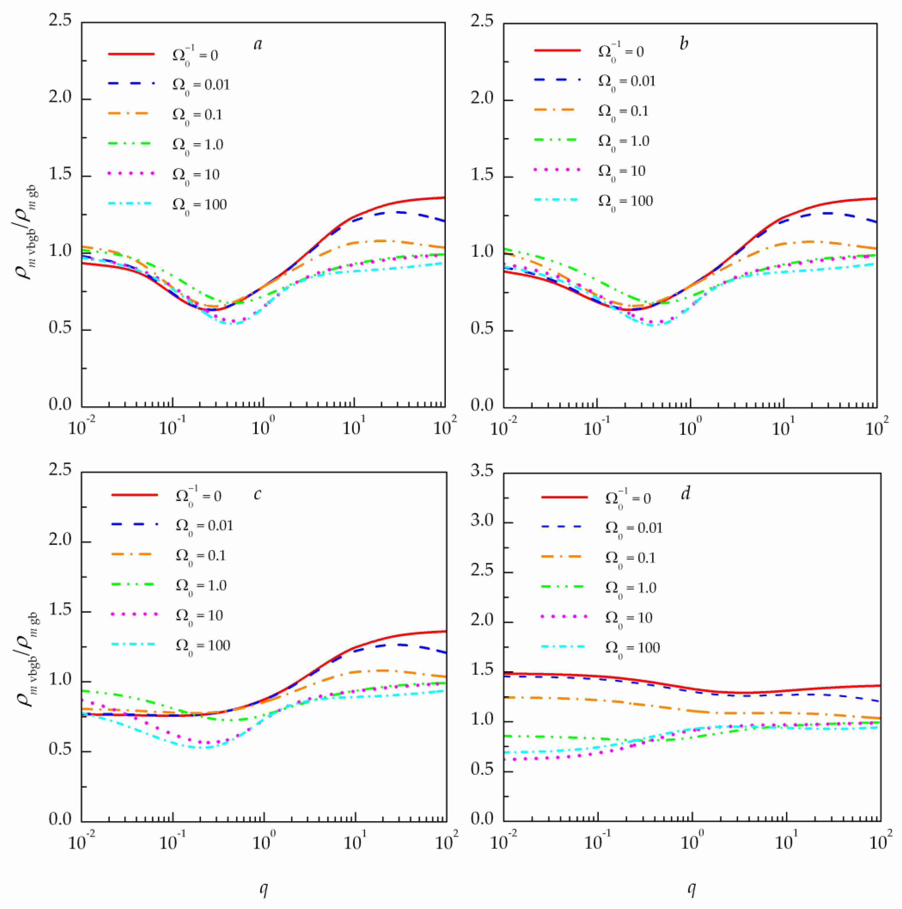
6. Integral Coherence Scale of Bessel—Gaussian Beams

Figure 7 depicts the ratio of integral scales of the collimated ( R 0 ) partially coherent vortex Bessel—Gaussian beam ( m = 1 ) ρ m vbgb (1) and the collimated ( R 0 ) partially coherent non-vortex Gaussian beam ( β ˜ = 0 ) ρ m gb propagating in a turbulent atmosphere. The data are obtained through numerical calculation by Equations (8), (11)–(13) and Equations (9), (11)–(13) for optical beams with β ˜ = 1.0 and m = 1 at the optical axis ( R ˜ = 0 ) for different values of the Fresnel number of the transmitting aperture Ω 0 .
The comparison of the results (see Figure 7) obtained for the integral coherence scale of collimated partially coherent Bessel—Gaussian beam ρ m vbgb in a turbulent atmosphere with that of the collimated non-vortex Gaussian beam ρ m gb demonstrates a weak dependence of the integral coherence scale of the collimated partially coherent Bessel—Gaussian beam ρ m vbgb in a turbulent atmosphere on the initial radius a 0 of the Gaussian factor of the beam field (1), that is, on the Fresnel number of the transmitting aperture Ω 0 .
Thus (see Figure 7), the integral coherence scale of partially coherent vortex Bessel—Gaussian beam ρ m vbgb in a uniform medium or a turbulent atmosphere for optical beams with high initial coherence ( q c 1.0 ) differs only slightly from the integral coherence scale of partially coherent non-vortex Gaussian beam ρ m gb in a uniform medium (see Figure 7) or a turbulent atmosphere, and their ratio (see Figure 7a,b,c) weakly depends on the Fresnel number of the transmitting aperture Ω 0 .
For optical beams with the low initial coherence ( q c > 1.0 ) (see Figure 7d), the situation is exactly the opposite: the ratio of the integral coherence scale of partially coherent vortex Bessel—Gaussian beam ρ m vbgb to that of the partially coherent non-vortex Gaussian beam ρ m gb at the optical axes of the beams ( R ˜ = 0 ) depends significantly on the Fresnel number of the transmitting aperture Ω 0 , but only weakly on the level of fluctuations q caused by atmospheric turbulence.
The described behavior of the integral coherence scale of vortex Bessel—Gaussian beam is associated with the fact that every ring of the Bessel beam carries approximately the same energy equal to the energy in the first ring of the Bessel beam, that is, the energy in the cross section of the Bessel beam is distributed more uniformly than in the Gaussian beam.

7. Discussion

The results obtained for statistical coherence characteristics of the partially coherent vortex Bessel—Gaussian beams propagating in a uniform medium or a turbulent atmosphere can be summarized in the form of the following statements.
1) The main factors affecting coherence of partially coherent vortex Bessel—Gaussian beams propagating in turbulent atmosphere are the atmospheric turbulence and the partial coherence of the source of optical radiation. These factors exert not an additive, but a multiplicative distorting effect on optical radiation.
2) The partial coherence of the source of optical radiation has a greater influence in the region of weak intensity fluctuations due to atmospheric turbulence than in the region of strong fluctuations.
3) An optical vortex (helical wavefront of the beam) plays a certain role in the transition region from weak to strong wave intensity fluctuations due to atmospheric turbulence.
4) Geometrical parameters of the Bessel and Gaussian components of partially coherent vortex Bessel—Gaussian beams propagating in a uniform medium or a turbulent atmosphere have a smaller effect on the coherence of these beams than the above factors do.

Author Contributions

Conceptualization, I.L. and V.L.; methodology, I.L. and V.L.; software, I.L.; validation, I.L.; formal analysis, I.L.; investigation, I.L.; resources, I.L.; writing—original draft preparation, I.L.; writing—review and editing, I.L.; visualization, I.L.; supervision, I.L.; project administration, I.L.; funding acquisition, I.L. All authors have read and agreed to the published version of the manuscript.

Funding

This research received no external funding.

Institutional Review Board Statement

Not applicable.

Informed Consent Statement

Not applicable.

Data Availability Statement

Data are contained within the article.

Conflicts of Interest

The authors declare no conflicts of interest.

References

  1. Allen, L.; Barnett, S.M.; Padgett, M.J. Optical Angular Momentum; Institute of Physics Publishing: Bristol, UK, 2003. [Google Scholar] [CrossRef]
  2. Abramochkin, E.G.; Volostnikov, V.G. Spiral light beams. Adv. Phys. Sci. 2004, 47, 1177–1203. [Google Scholar] [CrossRef]
  3. Andrews, D.L. Structured Light and Its Applications: An Introduction to Phase-Structured Beams and Nanoscale Optical Forces; Academic press: New York, USA, 2008. [Google Scholar] [CrossRef]
  4. Kotlyar, V.V.; Kovalev, A.A. Accelerating and Vortex Laser Beams; Fizmatlit: Moscow, Russian Federation, 2019. (In Russian) [Google Scholar]
  5. Gibson, G.; Courtial, J.; Padgett, M.J.; Vasnetsov, M.; Pas’ko, V.; Barnett, S.M.; Franke-Arnold, S. Free-space information transfer using light beams carrying orbital angular momentum. Opt. Express 2004, 12, 5448–5456. [Google Scholar] [CrossRef]
  6. Allen, L.; Beijersbergen, M.W.; Spreeuw, R.J.C.; Woerdman, J.P. Orbital angular momentum of light and the transformation of Laguerre—Gaussian laser modes. Phys. Rev. A 1992, 45, 8185–8189. [Google Scholar] [CrossRef]
  7. Baranova, N.B.; Zel'dovich, B.Ya. Dislocations of the wave-front surface and zeros of the amplitude. J. Exp. Theor. Physics 1981, 53, 925–929. [Google Scholar]
  8. Baranova, N.B.; Mamaev, A.V.; Pilipetsky, N.F.; Shkunov, V.V.; Zel’dovich, B.Ya. Wave-front dislocations: topological limitations for adaptive systems with phase conjugation. J. Opt. Soc. Am. 1983, 73, 525–528. [Google Scholar] [CrossRef]
  9. Nye, J.F.; Berry, M.V. Dislocations in wave trains. Proc. R. Soc. Lond. A 1974, 336, 165–190. [Google Scholar] [CrossRef]
  10. Berry, M.V.; Nye, J.F.; Wright, F.J. The elliptic umbilic diffraction catastrophe. Phil. Trans. R. Soc. Lond. A 1979, 291, 453–484. [Google Scholar] [CrossRef]
  11. Alekseev, A.N.; Alekseev, K.N.; Borodavka, O.S.; Volyar, A.V.; Fridman, Yu.A. Conversion of Hermite—Gaussian and Laguerre—Gaussian beams in an astigmatic optical system. 1. Experiment. Tech. Phys. Lett. 1998, 24, 694–696. [Google Scholar] [CrossRef]
  12. Volyar, A.V.; Shvedov, V.G.; Fadeeva, T.A. Rotation of the wavefront of an optical vortex in free space. Tech. Phys. Lett. 1999, 25, 203–206. [Google Scholar] [CrossRef]
  13. Berry, M.V.; Jeffrey, M.R.; Mansuripur, M. Orbital and spin angular momentum in conical diffraction. J. Opt. A-Pure Appl. Opt. 2005, 7, 685–690. [Google Scholar] [CrossRef]
  14. Allen, L.; Padgett, M.J. Equivalent geometric transformations for spin and orbital angular momentum of light. J. Mod. Opt. 2007, 54, 487–491. [Google Scholar] [CrossRef]
  15. Volyar, A.V.; Abramochkin, E.G.; Akimova, Ya.E.; Bretsko, M.V. Astigmatic-invariant structured singular beams. Photonics 2022, 9, 842. [Google Scholar] [CrossRef]
  16. Kotlyar, V.V.; Kovalev, A.A. Orbital angular momentum of paraxial propagation-invariant laser beams. J. Opt. Soc. Am. A 2022, 39, 1061–1065. [Google Scholar] [CrossRef]
  17. Volyar, A.V.; Bretsko, M.V.; Khalilov, S.I.; Akimova, Ya.E. Structurally stable astigmatic vortex beams with super-high orbital angular momentum (ABCD matrix approach). Photonics 2023, 10, 1048. [Google Scholar] [CrossRef]
  18. Kotlyar, V.V.; Soifer, V.A. Rotor spatial filter for analysis and synthesis of coherent fields. Opt. Commun. 1992, 89, 159–163. [Google Scholar] [CrossRef]
  19. Soifer, V.A.; Golub, M.A. Laser Beam Mode Selection by Computer-Generated Holograms; CRC Press: Boca Raton, USA, 1994. [Google Scholar]
  20. Pyatnitskii, L.N. Optical discharge in the field of a Bessel laser beam. Adv. Phys. Sci. 2010, 53, 159–177. [Google Scholar] [CrossRef]
  21. Pyatnitskii, LN. Wave Bessel Beams; Fizmatlit: Moscow, Russian Federation, 2012. (In Russian) [Google Scholar]
  22. Kotlyar, V.V.; Kovalev, A.A.; Abramochkin, E.G.; Porfirev, A.P.; Kozlova, E.S. Stability of topological properties of optical vortices after diffraction on a phase screen. Opt. Commun. 2021, 479, 126471. [Google Scholar] [CrossRef]
  23. Kotlyar, V.V.; Kovalev, A.A.; Kozlova, E.S.; Savelyeva, A.A.; Stafeev, S.S. Geometric progression of optical vortices. Photonics 2022, 9, 407. [Google Scholar] [CrossRef]
  24. Ramee, S.; Simon, R. Effect of holes and vortices on beam quality. J. Opt. Soc. Am. A 2000, 17, 84–94. [Google Scholar] [CrossRef]
  25. Gbur, G.; Visser, T.D. Coherence vortices in partially coherent beams. Opt. Commun. 2003, 222, 117–125. [Google Scholar] [CrossRef]
  26. Maleev, I.D.; Palacios, D.M.; Marathay, A.S.; Swartzlander, G.A. Spatial correlation vortices in partially coherent light: Theory. J. Opt. Soc. Am. B 2004, 21, 1895–1900. [Google Scholar] [CrossRef]
  27. Gbur, G.; Swartzlander, G.A. Complete transverse representation of a correlation singularity of a partially coherent field. J. Opt. Soc. Am. B 2008, 25, 1422–1429. [Google Scholar] [CrossRef]
  28. Ding, Ch.; Pan, L.; Lu, B. Phase singularities and spectral changes of spectrally partially coherent higher-order Bessel—Gauss pulsed beams. J. Opt. Soc. Am. A 2009, 26, 2654–2661. [Google Scholar] [CrossRef]
  29. Lukin, I.P. Ring dislocation of the coherence degree of a vortex Bessel beam in a turbulent atmosphere. Atmos. Ocean. Opt. 2015, 28, 415–425. [Google Scholar] [CrossRef]
  30. Born, M.; Wolf, E. Principles of Optics, 4th ed.; Pergamon Press: New York, USA, 1968. [Google Scholar]
  31. Mandel, L.; Wolf, E. Optical Coherence and Quantum Optics; Cambridge University Press: New York, USA, 1995. [Google Scholar] [CrossRef]
  32. Wolf, E. Introduction to the Theory of Coherence and Polarization of Light; Cambridge University Press: Cambridge, UK, 2007. [Google Scholar]
  33. Gbur, G.; Visser, T.D. The structure of partially coherent fields. In Progress in Optics; Wolf, E., Ed.; Elsevier: Amsterdam, Netherlands, 2010; Volume 55, pp. 285–341. [Google Scholar] [CrossRef]
  34. Lukin, I.P. Mean intensity of vortex Bessel beams propagating in turbulent atmosphere. Appl. Opt. 2014, 53, 3287–3293. [Google Scholar] [CrossRef]
  35. Lukin, I.P. Coherence of a Bessel beam and a conic wave in turbulent atmosphere. J. Appl. Remote Sens. 2018, 12, 042405. [Google Scholar] [CrossRef]
  36. Nelson, W.; Palastro, J.P.; Davis, C.C.; Sprangle, P. Propagation of Bessel and Airy beams through atmospheric turbulence. J. Opt. Soc. Am. A 2014, 31, 603–609. [Google Scholar] [CrossRef]
  37. Liu, X.; Liu, L.; Chen, Y.; Cai, Y. Partially coherent vortex beam: from theory to experiment. In Vortex Dynamics and Optical Vortices; Perez-De-Tejada, H., Ed.; InTech, 2017; pp. 275–296. [Google Scholar] [CrossRef]
  38. Chen, Sh.; Li, Sh.; Zhao, Y.; Liu, J.; Zhu, L.; Wang, A.; Du, J.; Shen, L.; Wang, J. Demonstration of 20-Gbit/s high-speed Bessel beam encoding/decoding link with adaptive turbulence compensation. Opt. Lett. 2016, 41, 4680–4683. [Google Scholar] [CrossRef]
  39. Yang, J.; Zhang, H.; Zhang, X.; Li, H.; Xi, L. Transmission characteristics of adaptive compensation for joint atmospheric turbulence effects on the OAM-based wireless communication system. Appl. Sci. 2019, 9, 901. [Google Scholar] [CrossRef]
  40. Dedo, M.I.; Wang, Z.; Guo, K.; Sun, Y.; Shen, F.; Zhou, H.; Gao, J.; Sun, R. Ding, Zh.; Guo Zh. Retrieving performances of vortex beams with GS algorithm after transmitting in different types of turbulences. Appl. Sci. 2019, 9, 2269. [Google Scholar] [CrossRef]
  41. Li, J.; Xie, Ch.; Qiu, Yu.; Xiao, N.; Hu, M. The aberration correction of high-order Bessel—Gaussian beams. Optik 2020, 221, 163968. [Google Scholar] [CrossRef]
  42. Lukin, V.P.; Lukin, I.P. Overview of modern technologies for measuring, predicting and correcting turbulent distortions in optical waves. Computer Optics 2024, 48, 68–80. (In Russian) [Google Scholar] [CrossRef]
  43. Andrews, L.C.; Phillips, R.L. Laser Beam Propagation through Random Media, 2nd ed.; SPIE Press: Bellingham, Washington, USA, 2005. [Google Scholar] [CrossRef]
  44. Beran, M.J.; Parrent, G.B. Theory of Partial Coherence; Prentice-Hall: Englewood Cliffs, New Jersey, USA, 1964. [Google Scholar] [CrossRef]
  45. Schell, A.C. A technique for the determination of the radiation pattern of a partially coherent aperture. IEEE Trans. Antennas Propag. 1967, 15, 187–188. [Google Scholar] [CrossRef]
  46. Kon, A.I.; Tatarskii, V.I. On the theory of the propagation of partially coherent light beams in a turbulent atmosphere. Radiophys. Quantum Electron. 1972, 15, 1187–1192. [Google Scholar] [CrossRef]
  47. Arutyunyan, A.G.; Akhmanov, S.A.; Golyaev, Yu.D.; Tunkin, V.G.; Chirkin, A.S. Spatial field and intensity correlation functions of laser radiation. J. Exp. Theor. Physics 1973, 37, 764–771. [Google Scholar]
  48. Ricklin, J.C.; Davidson, F.M. Atmospheric turbulence effects on a partially coherent Gaussian beam: implications for free-space laser communication. J. Opt. Soc. Am. A 2002, 19, 1794–1802. [Google Scholar] [CrossRef]
  49. Ricklin, J.C.; Davidson, F.M. Atmospheric optical communication with a Gaussian Schell beam. J. Opt. Soc. Am. A 2003, 20, 856–866. [Google Scholar] [CrossRef]
  50. Belen’kii, M.S.; Lukin, V.P.; Mironov, V.L.; Pokasov, V.V. Coherence of Laser Radiation in the Atmosphere; Nauka: Novosibirsk, Russian Federation, 1985. (In Russian) [Google Scholar]
  51. Lukin, I.P. Coherence of a Bessel beam in a turbulent atmosphere. Atmos. Ocean. Opt. 2012, 25, 328–337. [Google Scholar] [CrossRef]
  52. Gradshteyn, I.S.; Ryzhik, I.M. Table of Integrals, Series, and Products, 7th ed.; Academic Press: New York, USA, 2007. [Google Scholar]
  53. Lukin, I.P. Coherence of vortex pseudo-Bessel beams in turbulent atmosphere. Computer Optics 2019, 43, 926–935. (In Russian) [Google Scholar] [CrossRef]
  54. Lukin, I.P. Coherence of vortex Bessel-like beams in a turbulent atmosphere. Appl. Opt. 2020, 50, 3833–3841. [Google Scholar] [CrossRef]
Figure 1. Coherence degree μ vbb ( x , ρ ) of partially coherent vortex Bessel beams propagating in a uniform medium at β ˜ = 1.0 for different values of the topological charge of the vortex beam m : (a) m = 1 ; (b) m = 2 .
Figure 1. Coherence degree μ vbb ( x , ρ ) of partially coherent vortex Bessel beams propagating in a uniform medium at β ˜ = 1.0 for different values of the topological charge of the vortex beam m : (a) m = 1 ; (b) m = 2 .
Preprints 106949 g001
Figure 2. Coherence degree μ vbb ( x , ρ ) of coherent vortex Bessel beams propagating in a turbulent atmosphere at β ˜ = 1.0 for different values of the topological charge of the vortex beam m : (a) m = 1 ; (b) m = 2 .
Figure 2. Coherence degree μ vbb ( x , ρ ) of coherent vortex Bessel beams propagating in a turbulent atmosphere at β ˜ = 1.0 for different values of the topological charge of the vortex beam m : (a) m = 1 ; (b) m = 2 .
Preprints 106949 g002
Figure 3. Coherence degree μ vbb ( x , ρ ) of partially coherent vortex Bessel beams propagating in a turbulent atmosphere at β ˜ = 1.0 and m = 1 for different values of the dimensionless parameter q c : (a) q c = 0.01 ; (b) q c = 0.1 ; (c) q c = 1.0 ; (d) q c = 10.0 .
Figure 3. Coherence degree μ vbb ( x , ρ ) of partially coherent vortex Bessel beams propagating in a turbulent atmosphere at β ˜ = 1.0 and m = 1 for different values of the dimensionless parameter q c : (a) q c = 0.01 ; (b) q c = 0.1 ; (c) q c = 1.0 ; (d) q c = 10.0 .
Preprints 106949 g003aPreprints 106949 g003b
Figure 4. Integral coherence scale ρ m vbb of partially coherent vortex Bessel beams propagating in a turbulent atmosphere at different source coherence levels q c for four values of the topological charge of the vortex beam m : (a) m = 1 ; (b) m = 2 ; (c) m = 3 ; (d) m = 4 .
Figure 4. Integral coherence scale ρ m vbb of partially coherent vortex Bessel beams propagating in a turbulent atmosphere at different source coherence levels q c for four values of the topological charge of the vortex beam m : (a) m = 1 ; (b) m = 2 ; (c) m = 3 ; (d) m = 4 .
Preprints 106949 g004
Figure 5. Integral coherence scale ρ m vbb of partially coherent vortex Bessel beams propagating in a turbulent atmosphere at different turbulence level q in the propagation medium for four values of the topological charge of vortex beam m : (a) m = 1 ; (b) m = 2 ; (c) m = 3 ; (d) m = 4 .
Figure 5. Integral coherence scale ρ m vbb of partially coherent vortex Bessel beams propagating in a turbulent atmosphere at different turbulence level q in the propagation medium for four values of the topological charge of vortex beam m : (a) m = 1 ; (b) m = 2 ; (c) m = 3 ; (d) m = 4 .
Preprints 106949 g005
Figure 6. Integral coherence scale ρ m vbb of partially coherent vortex Bessel beams ( m = 1 ) propagating in a turbulent atmosphere at the different source coherence q c for four values of the Bessel beam parameter β ˜ : (a) β ˜ = 0.5 ; (b) β ˜ = 1.0 ; (c) β ˜ = 2.0 ; (d) β ˜ = 4.0 .
Figure 6. Integral coherence scale ρ m vbb of partially coherent vortex Bessel beams ( m = 1 ) propagating in a turbulent atmosphere at the different source coherence q c for four values of the Bessel beam parameter β ˜ : (a) β ˜ = 0.5 ; (b) β ˜ = 1.0 ; (c) β ˜ = 2.0 ; (d) β ˜ = 4.0 .
Preprints 106949 g006
Figure 7. Ratio of the integral coherence scales of partially coherent vortex Bessel—Gaussian ρ m vbgb and Gaussian ρ m gb beams with β ˜ = 1.0 and m = 1 at different values of the Fresnel number of the transmitting aperture Ω 0 for three source coherence levels q c : (a) q c = 0 ; (b) q c = 0.1 ; (c) q c = 1.0 ; (d) q c = 10.0 .
Figure 7. Ratio of the integral coherence scales of partially coherent vortex Bessel—Gaussian ρ m vbgb and Gaussian ρ m gb beams with β ˜ = 1.0 and m = 1 at different values of the Fresnel number of the transmitting aperture Ω 0 for three source coherence levels q c : (a) q c = 0 ; (b) q c = 0.1 ; (c) q c = 1.0 ; (d) q c = 10.0 .
Preprints 106949 g007
Disclaimer/Publisher’s Note: The statements, opinions and data contained in all publications are solely those of the individual author(s) and contributor(s) and not of MDPI and/or the editor(s). MDPI and/or the editor(s) disclaim responsibility for any injury to people or property resulting from any ideas, methods, instructions or products referred to in the content.
Copyright: This open access article is published under a Creative Commons CC BY 4.0 license, which permit the free download, distribution, and reuse, provided that the author and preprint are cited in any reuse.
Prerpints.org logo

Preprints.org is a free preprint server supported by MDPI in Basel, Switzerland.

Subscribe

Disclaimer

Terms of Use

Privacy Policy

Privacy Settings

© 2026 MDPI (Basel, Switzerland) unless otherwise stated