Submitted:
15 May 2024
Posted:
15 May 2024
You are already at the latest version
Abstract
Keywords:
1. Introduction
2. Multiplicity of Energy Eigenvalues and Density of States
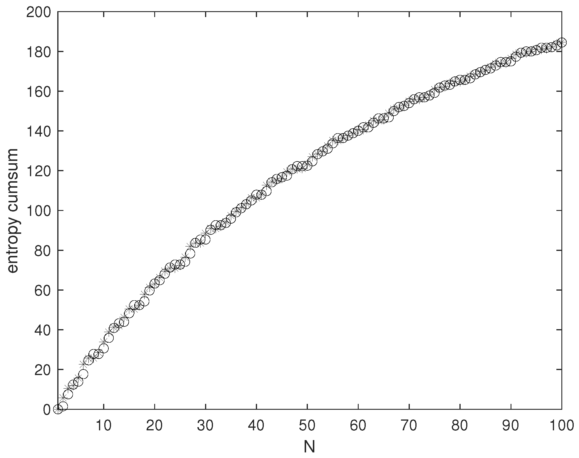
3. Energy Spectral Density and Entropy Spectral Density of the Photonic Thermal State
4. Comparison with Other Derivations
5. Comparison with the Poisson Distribution of the Occupancy Numbers
6. Conclusion
Funding
Data Availability Statement
Acknowledgments
Conflicts of Interest
References
- Planck, Max. "On the law of distribution of energy in the normal spectrum." Annalen der physik 4.553 (1901): 1.
- S. Bose, O. Theimer, and Budh Ram. "The beginning of quantum statistics: A translation of’’Planck’s law and the light quantum hypothesis’’." American Journal of Physics 44.11 (1976): 1056-1057. [CrossRef]
- Einstein, Albert. "Quantentheorie des einatomigen idealen Gases, Sitzungsberichte Kgl." Preuss. Akad. Wiss 261-267 (1924). For english translation see see "The collected papers of Albert Einstein: The Berlin years: writings & correspondence, April 1923-May 1925." Vol. 14, Princeton University Press, 1987, Doc. 283, pp. 276-283.
- Mulhall, Declan, and Matthew J. Moelter. "Calculating and visualizing the density of states for simple quantum mechanical systems." American Journal of Physics 82.7 (2014): 665-673. [CrossRef]
- Pathria, R. K.; Beale, P. D. "Statistical Mechanics, 3rd edition." Elsevier, 2011.
- Kittel, C., and H. Kroemer. "Thermal Physics. WH Freeman." New York (1980).
- Huang, K., "Statistical Mechanincs." Second Edition, Wiley, New York (1987).
- Sekerka, R. F. "Thermal Physics: Thermodynamics and Statistical Mechanics for Scientists and Engineers." Elsevier, 2015.
- Fitzpatrick, R. "Thermodynamics and Statistical Mechanics." World Scientific, 2020.
- Kardar, M. "Statistical physics of particles." Cambridge University Press, 2007.
- Landau, Lev Davidovich, The classical theory of fields. Vol. 2. Elsevier, 2013.
- Feynman, Richard P., Robert B. Leighton, and Matthew Sands. The Feynman lectures on physics, Vol. I: The new millennium edition: mainly mechanics, radiation, and heat. Vol. 1. Basic books, 2011.
- Spalvieri, Arnaldo. "Entropy of the Canonical Occupancy (Macro) State in the Quantum Measurement Theory." Entropy 26.2 (2024): 107. [CrossRef]
- Girondot, Marc, and Jon Barry. "Computation of the Distribution of the Sum of Independent Negative Binomial Random Variables." Mathematical and Computational Applications 28.3 (2023): 63. [CrossRef]
- Schmitt, Julian, et al. "Observation of grand-canonical number statistics in a photon Bose-Einstein condensate." Physical review letters 112.3 (2014): 030401. [CrossRef]
| 1 | Due to an error, the sign of the exponent in the exponential in the second-last equation of [2] is flipped. |
| 2 | The calculus of the integral is standard. Specifically, it is based on
|
| 3 | The first equality is based on the change of variables from Cartesian coordinates to spherical coordinates with radial coordinate :
|
| 4 | The last equality is obtained by changing the integration variables from Cartesian coordinates to spherical coordinates, that is putting
|
| 5 |


Disclaimer/Publisher’s Note: The statements, opinions and data contained in all publications are solely those of the individual author(s) and contributor(s) and not of MDPI and/or the editor(s). MDPI and/or the editor(s) disclaim responsibility for any injury to people or property resulting from any ideas, methods, instructions or products referred to in the content. |
© 2024 by the authors. Licensee MDPI, Basel, Switzerland. This article is an open access article distributed under the terms and conditions of the Creative Commons Attribution (CC BY) license (http://creativecommons.org/licenses/by/4.0/).
