Submitted:
13 May 2024
Posted:
13 May 2024
You are already at the latest version
Abstract

Keywords:
1. Introduction
2. Geological Background
2.1. Regional Geology
2.1.1. Gilgit Complex
2.1.2. Chilas Complex
2.1.3. Southern Plutonic Complex
2.2. Local Geology
2.2.1. Petrography Characteristics of the Host Units
3. Sampling and Analytical Methods
4. Results
4.1. Zircon U–Pb Geochronology
4.2. Zircon Geochemistry
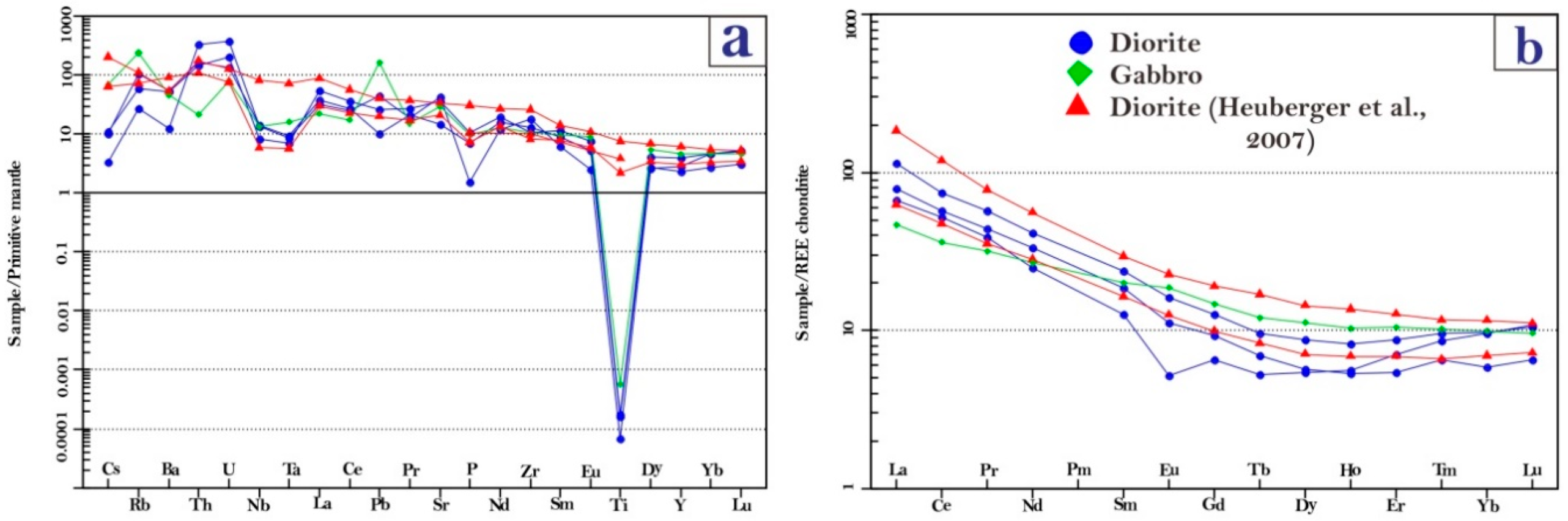
4.3. Major, Trace, and Rare Earth Elements (REE)
4.3.1. Diorite
4.3.2. Gabbro
4.4. Mineralization Style and Sulfide Chemistry
4.5. Alteration Assemblages
4.5.1. Phyllic Alteration
4.5.2. Propylitic Alteration
4.5.3. Carbonatization Alteration
5. Discussion
5.1. Age of Gabbro-Diorite Intrusion from Danyore Valley Area
5.2. Tectonic Setting of Gabbro-Diorite Intrusion
5.3. Petrogenesis of Danyore Valley Intrusion
5.4. Cu-Au Mineralization of Danyore Valley and Implications for Future Exploration
6. Conclusions
Supplementary Materials
Acknowledgments
References
- Ahmad, L., Khan, S.D., Tahir Shah, M., Jehan, N.J.A.J.o.G., 2018. Gold mineralization in bubin area, Gilgit-Baltistan, northern areas, Pakistan. 11, 1-12. [CrossRef]
- Alam, M., Li, S.-R., Santosh, M., Zafar, T., Hussain, Z., Yuan, M.-W., Khan, H.J.J.o.G.E., 2023. Characteristics, provenance, ore genesis and exploration of the Shimshal Valley placer gold deposits in the Karakoram Block, North Pakistan. 245, 107128. [CrossRef]
- Alam, M., Li, S.R., Santosh, M., Yuan, M.W.J.G.J., 2019. Morphology and chemistry of placer gold in the Bagrote and Dainter streams, northern Pakistan: Implications for provenance and exploration. 54, 1672-1687. [CrossRef]
- Anczkiewicz, 2000. Isotopic constraints on the evolution of metamorphic conditions in the Jijal-Patan complex and the Kamila Belt of the Kohistan arc, Pakistan Himalaya. 170, 321-331. [CrossRef]
- Arndt, N., Lesher, C., Czamanske, G., 2005. Mantle-derived magmas and magmatic Ni-Cu-(PGE) deposits. [CrossRef]
- Ashraf, 1999. Structural geology of the western extremity of the kohistan island arc. 71.
- Auden, J.J.R.o.G.s.o.I., 1935. Traverses in the Himalaya. 69, 123-167.
- Ayonta Kenne, P., Tanko Njiosseu, E.L., Ganno, S., Ngnotue, T., Fossi, D.H., Hamdja Ngoniri, A., Nga Essomba, P., Nzenti, J.P.J.G.J., 2021. Zircon trace element geochemistry and Ti-in-zircon thermometry of the Linté Pan-African granitoids, Central Cameroon: Constraints on the genesis of host magma and tectonic implications. 56, 4830-4848. [CrossRef]
- Ballard, J.R., Palin, J.M., Campbell, I.H.J.C.t.M., Petrology, 2002. Relative oxidation states of magmas inferred from Ce (IV)/Ce (III) in zircon: application to porphyry copper deposits of northern Chile. 144, 347-364. [CrossRef]
- Bao, Z., Sun, W., Li, C., Zhao, Z.J.O.G.R., 2014. U–Pb dating of hydrothermal zircon from the Dongping gold deposit in North China: constraints on the mineralization processes. 61, 107-119. [CrossRef]
- Barker, S.L., Hickey, K.A., Cline, J.S., Dipple, G.M., Kilburn, M.R., Vaughan, J.R., Longo, A.A.J.E.G., 2009. Uncloaking invisible gold: Use of nanoSIMS to evaluate gold, trace elements, and sulfur isotopes in pyrite from Carlin-type gold deposits. 104, 897-904. [CrossRef]
- Barth, A.P., Wooden, J.L.J.C.G., 2010. Coupled elemental and isotopic analyses of polygenetic zircons from granitic rocks by ion microprobe, with implications for melt evolution and the sources of granitic magmas. 277, 149-159. [CrossRef]
- Bignold, S.M., Treloar, P.J., Petford, N.J.C.G., 2006. Changing sources of magma generation beneath intra-oceanic island arcs: an insight from the juvenile Kohistan island arc, Pakistan Himalaya. 233, 46-74. [CrossRef]
- Bignold, S.T., Journal of the Geological Society, 2003. Northward subduction of the Indian Plate beneath the Kohistan island arc, Pakistan Himalaya: new evidence from isotopic data. 160, 377-384. [CrossRef]
- Boynton, W.V., 1984. Cosmochemistry of the rare earth elements: meteorite studies, Developments in geochemistry. Elsevier, pp. 63-114. [CrossRef]
- Brill, B.A.J.T.C.M., 1989. Trace-element contents and partitioning of elements in ore minerals from the CSA Cu-Pb-Zn deposit, Australia, and implications for ore genesis. 27, 263-274.
- Briqueu, L., Bougault, H., Joron, J.L.J.E., Letters, P.S., 1984. Quantification of Nb, Ta, Ti and V anomalies in magmas associated with subduction zones: petrogenetic implications. 68, 297-308. [CrossRef]
- Brown, G., Thorpe, R., Webb, P.J.J.o.t.G.S., 1984. The geochemical characteristics of granitoids in contrasting arcs and comments on magma sources. 141, 413-426. [CrossRef]
- Bukhari, Syed Hussain, 2010, P.W.G.C., 2010. Country Update Paper on Pakistan.
- Burg, J.P., Jagoutz, O., Dawood, H., Hussain, S.S.J.T., 2006. Precollision tilt of crustal blocks in rifted island arcs: Structural evidence from the Kohistan Arc. 25. [CrossRef]
- Burnham, A.D., Berry, A.J.J.G.e.C.A., 2012. An experimental study of trace element partitioning between zircon and melt as a function of oxygen fugacity. 95, 196-212. [CrossRef]
- Cabri, L.J., Campbell, J.L., Laflamme, J.G., Leigh, R.G., Maxwell, J.A., Scott, J.D.J.T.C.M., 1985. Proton-microprobe analysis of trace elements in sulfides from some massive-sulfide deposits. 23, 133-148.
- Calkins, J.A., Jamiluddin, S., Bhuyan, K., Hussain, A., 1981. Geology and mineral resources of the Chitral-Partsan area, Hindu Kush Range, northern Pakistan. US Govt. Print. Off.; for sale by the Distribution Branch, US Geological ….
- Candela, P.A., Piccoli, P.M., 2005. Magmatic processes in the development of porphyry-type ore systems. [CrossRef]
- Carley, T.L., Miller, C.F., Wooden, J.L., Padilla, A.J., Schmitt, A.K., Economos, R.C., Bindeman, I.N., Jordan, B.T.J.E., Letters, P.S., 2014. Iceland is not a magmatic analog for the Hadean: Evidence from the zircon record. 405, 85-97. [CrossRef]
- Cepedal, A., Fuertes-Fuente, M., Martin-Izard, A., Gonzalez-Nistal, S., Rodriguez-Pevida, L.J.M., Petrology, 2006. Tellurides, selenides and Bi-mineral assemblages from the Río Narcea Gold Belt, Asturias, Spain: genetic implications in Cu–Au and Au skarns. 87, 277-304. [CrossRef]
- Chappell, B.W., White, A.J.E., Edinburgh, E.S.T.o.t.R.S.o., 1992. I-and S-type granites in the Lachlan Fold Belt. 83, 1-26. [CrossRef]
- Chiaradia, M.J.N.C., 2020. Gold endowments of porphyry deposits controlled by precipitation efficiency. 11, 248. [CrossRef]
- Ciobanu, C., Cook, N., Damian, F., Damian, G.J.M., Petrology, 2006. Gold scavenged by bismuth melts: An example from Alpine shear-remobilizates in the Highiş Massif, Romania. 87, 351-384. [CrossRef]
- Claiborne, L.L., Miller, C.F., Flanagan, D.M., Clynne, M.A., Wooden, J.L.J.G., 2010. Zircon reveals protracted magma storage and recycling beneath Mount St. Helens. 38, 1011-1014. [CrossRef]
- Cooke, D.R., McPhail, D.J.E.G., 2001. Epithermal Au-Ag-Te mineralization, Acupan, Baguio district, Philippines: numerical simulations of mineral deposition. 96, 109-131. [CrossRef]
- Coward, M., Butler, R., Khan, M.A., Knipe, R.J.J.o.t.G.S., 1987. The tectonic history of Kohistan and its implications for Himalayan structure. 144, 377-391. [CrossRef]
- Danishwar, S., Stern, R., Khan, M.J.J.o.A.E.S., 2001. Field relations and structural constraints for the Teru volcanic formation, northern Kohistan Terrane, Pakistani Himalayas. 19, 683-695. [CrossRef]
- Demir, 2008. Mineralogy, mineral chemistry, and fluid inclusion investigation of Köstere hydrothermal vein-type deposit (Gümüşhane, NE-Turkey). [CrossRef]
- Demir, Y., Uysal, İ., Sadıklar, M.J.O.G.R., 2013. Mineral chemical investigation on sulfide mineralization of the Istala deposit, Gümüşhane, NE-Turkey. 53, 306-317. [CrossRef]
- Dhuime, B., Bosch, D., Bodinier, J.-L., Garrido, C., Bruguier, O., Hussain, S.S., Dawood, H.J.E., Letters, P.S., 2007. Multistage evolution of the Jijal ultramafic–mafic complex (Kohistan, N Pakistan): implications for building the roots of island arcs. 261, 179-200. [CrossRef]
- Faisal, M., Yang, X., Khalifa, I.H., Amuda, A.K., Sun, C.J.P.R., 2020. Geochronology and geochemistry of Neoproterozoic Hamamid metavolcanics hosting largest volcanogenic massive sulfide deposits in Eastern Desert of Egypt: Implications for petrogenesis and tectonic evolution. 344, 105751. [CrossRef]
- Farhan, M., Arif, M., Ye, Y., Li, C.-F., Chen, X., Garbe-Schönberg, D., Wu, T., Ullah, Z., Hussain, Z., Zafar, T.J.G., 2023. Fluid source and physicochemical conditions of the polymetallic mineralization in Gawuch Formation, Kohistan Island Arc, NW Pakistan. 83, 125949. [CrossRef]
- Franklin, J., Gibson, H., Jonasson, I., Galley, A., 2005. Volcanogenic massive sulfide deposits.
- Frost, B.R., Barnes, C.G., Collins, W.J., Arculus, R.J., Ellis, D.J., Frost, C.D.J.J.o.p., 2001. A geochemical classification for granitic rocks. 42, 2033-2048. [CrossRef]
- Frost, D.J., McCammon, C.A.J.A.R.E.P.S., 2008. The redox state of Earth's mantle. 36, 389-420.
- Gaetani, G.A., Grove, T.L.J.C.t.M., Petrology, 1998. The influence of water on melting of mantle peridotite. 131, 323-346. [CrossRef]
- Garwin, S.J.A.E.A., 2019. The geological characteristics, geochemical signature and geophysical expression of porphyry copper-(gold) deposits in the circum-Pacific region. 2019, 1-4. [CrossRef]
- Geng, H., Sun, M., Yuan, C., Zhao, G., Xiao, W.J.J.o.A.E.S., 2011. Geochemical and geochronological study of early Carboniferous volcanic rocks from the West Junggar: petrogenesis and tectonic implications. 42, 854-866. [CrossRef]
- George, L., Cook, N.J., Ciobanu, C.L., 2015. Trace element partitioning between co-existing sphalerite, galena and chalcopyrite, pp. 737-740.
- George, L.L., Cook, N.J., Ciobanu, C.L.J.M., 2017. Minor and trace elements in natural tetrahedrite-tennantite: Effects on element partitioning among base metal sulphides. 7, 17. [CrossRef]
- George, L.L., Cook, N.J., Ciobanu, C.L.J.O.G.R., 2016. Partitioning of trace elements in co-crystallized sphalerite–galena–chalcopyrite hydrothermal ores. 77, 97-116. [CrossRef]
- George, L.L., Cook, N.J., Crowe, B.B., Ciobanu, C.L.J.M.M., 2018. Trace elements in hydrothermal chalcopyrite. 82, 59-88. [CrossRef]
- Gill, J.B., Gill, J.B.J.O.A., Tectonics, P., 1981. Andesite Magmas, Ejecta, Eruptions, and Volcanoes. 64-96. [CrossRef]
- Goldfarb, R.J., Baker, T., Dubé, B., Groves, D.I., Hart, C.J., Gosselin, P., 2005. Distribution, character, and genesis of gold deposits in metamorphic terran. [CrossRef]
- Griesbach, C.J.R.G.S.I., 1893. Notes on the Central Himalaya. 26, 19-25.
- Grimes, C.B., John, B.E., Cheadle, M.J., Mazdab, F.K., Wooden, J.L., Swapp, S., Schwartz, J.J.J.C.t.M., Petrology, 2009. On the occurrence, trace element geochemistry, and crystallization history of zircon from in situ ocean lithosphere. 158, 757-783. [CrossRef]
- Grimes, C.B., John, B.E., Kelemen, P., Mazdab, F., Wooden, J., Cheadle, M.J., Hanghøj, K., Schwartz, J.J.G., 2007. Trace element chemistry of zircons from oceanic crust: A method for distinguishing detrital zircon provenance. 35, 643-646. [CrossRef]
- Hamidullah, S., Jan, M.Q.J.G.B.U.o.P., 1986. Preliminary petrochemical study of the Chilas complex, Kohistan island arc, northern Pakistan. 19, 157-182.
- Harris, N., Inger, S.J.C.t.M., Petrology, 1992. Trace element modelling of pelite-derived granites. 110, 46-56. [CrossRef]
- Helmy, H., Ballhaus, C., Fonseca, R., Nagel, T.J.C.t.M., Petrology, 2013. Fractionation of platinum, palladium, nickel, and copper in sulfide–arsenide systems at magmatic temperature. 166, 1725-1737.
- Heuberger, S., Schaltegger, U., Burg, J.-P., Villa, I.M., Frank, M., Dawood, H., Hussain, S., Zanchi, A.J.S.J.o.G., 2007. Age and isotopic constraints on magmatism along the Karakoram-Kohistan Suture Zone, NW Pakistan: Evidence for subduction and continued convergence after India-Asia collision. 100, 85-107. [CrossRef]
- Hoskin, P.W., Schaltegger, U.J.R.i.m., geochemistry, 2003. The composition of zircon and igneous and metamorphic petrogenesis. 53, 27-62. [CrossRef]
- Hoskin, P.W.J.G.e.c.a., 2005. Trace-element composition of hydrothermal zircon and the alteration of Hadean zircon from the Jack Hills, Australia. 69, 637-648. [CrossRef]
- Hou, Z., Cook, N.J.J.O.G.R., 2009. Metallogenesis of the Tibetan collisional orogen: A review and introduction to the special issue. 36, 2-24. [CrossRef]
- Hu, M.-S., Chen, H.-L., Shen, C.-H., Hong, L.-S., Huang, B.-R., Chen, K.-H., Chen, L.-C.J.N.m., 2006. Photosensitive gold-nanoparticle-embedded dielectric nanowires. 5, 102-106. [CrossRef]
- Hussain, A., Zhao, K.-D., Arif, M., Palmer, M.R., Chen, W., Zhang, Q., Li, Q., Jiang, S.-Y., Girei, M.B.J.O.G.R., 2020. Geochronology, mineral chemistry and genesis of REE mineralization in alkaline rocks from the Kohistan Island Arc, Pakistan. 126, 103749. [CrossRef]
- Hussain, Z., Tao, C., Li, C.-F., Liao, S., Alam, M., Farhan, M., Zhang, H., Hussain, A.J.M., 2021. Mineralogy, Fluid Inclusions, and Isotopic Study of the Kargah Cu-Pb Polymetallic Vein-Type Deposit, Kohistan Island Arc, Northern Pakistan: Implication for Ore Genesis. 11, 1266. [CrossRef]
- Hussain, Z., Zhang, C.-L., Sargazi, M., Song, Z.-H., Farhan, M., Alam, M., Hussain, S.A., Ullah, Z., Hussain, A., Sadiq, I.J.O.G.R., 2023. Fluid provenance and genetic type of the Bubin Cu-Pb polymetallic deposit, Kohistan-Ladakh island arc, north Pakistan: Evidence from mineralogy, fluid inclusion and ohs-pb isotopes. 105776. [CrossRef]
- Huston, D.L., Pehrsson, S., Eglington, B.M., Zaw, K.J.E.G., 2010. The geology and metallogeny of volcanic-hosted massive sulfide deposits: Variations through geologic time and with tectonic setting. 105, 571-591. [CrossRef]
- Ingham, E.S., Cook, N.J., Cliff, J., Ciobanu, C.L., Huddleston, A.J.G.e.C.A., 2014. A combined chemical, isotopic and microstructural study of pyrite from roll-front uranium deposits, Lake Eyre Basin, South Australia. 125, 440-465. [CrossRef]
- Irvine, T.N., Baragar, W.J.C.j.o.e.s., 1971. A guide to the chemical classification of the common volcanic rocks. 8, 523-548. [CrossRef]
- Jagoutz, O.E., Burg, J.-P., Hussain, S., Dawood, H., Pettke, T., Iizuka, T., Maruyama, S.J.C.t.M., Petrology, 2009. Construction of the granitoid crust of an island arc part I: geochronological and geochemical constraints from the plutonic Kohistan (NW Pakistan). 158, 739-755. [CrossRef]
- Jan, M.Q., Howie, R.J.J.o.P., 1981. The mineralogy and geochemistry of the metamorphosed basic and ultrabasic rocks of the Jijal complex, Kohistan, NW Pakistan. 22, 85-126. [CrossRef]
- Jan, M.Q., Tahirkheli, R.J.G.B.P.U., 1979. Petrography of the amphibolites of Swat and Kohistan. 11, 51-64.
- Jan, M.Q., Windly, BRIAN F %J Journal of Petrology, 1990. Chromian spinel-silicate chemistry in ultramafic rocks of the Jijal complex, Northwest Pakistan. 31, 667-715. [CrossRef]
- Kazmi, A.H., Jan, M.Q.J., 1997. Geology and tectonics of Pakistan.
- Kerrich, R., Goldfarb, R., Groves, D., Garwin, S., Jia, Y.J.S.i.C.S.D.E.S., 2000. The characteristics, origins, and geodynamic settings of supergiant gold metallogenic provinces. 43, 1-68. [CrossRef]
- Kerrich, R., Goldfarb, R.J., Richards, J.P., 2005. Metallogenic provinces in an evolving geodynamic framework. [CrossRef]
- Kesler, S.E., Chryssoulis, S.L., Simon, G.J.O.G.R., 2002. Gold in porphyry copper deposits: its abundance and fate. 21, 103-124. [CrossRef]
- Khan, M.A., Bhattarai, A., Kuznia, J., Olson, D.J.A.P.L., 1993. High electron mobility transistor based on a GaN-Al x Ga1− x N heterojunction. 63, 1214-1215. [CrossRef]
- Khan, M.A., Treloar, P.J., Khan, M.A., Khan, T., Qazi, M.S., Jan, M.Q.J.J.o.A.E.S., 1998. Geology of the Chalt–Babusar transect, Kohistan terrane, N. Pakistan: implications for the constitution and thickening of island-arc crust. 16, 253-268. [CrossRef]
- Khan, S.D., Walker, D.J., Hall, S.A., Burke, K.C., Shah, M.T., Stockli, L.J.G.S.o.A.B., 2009. Did the Kohistan-Ladakh island arc collide first with India? 121, 366-384. [CrossRef]
- Khan Tehseenullah, A.K., M, Qasim Jan, M., Naseem, M.J.G.A., 1996. Back-arc basin assemblages in Kohistan, Northern Pakistan. 9, 30-40. [CrossRef]
- Kirkland, C., Smithies, R., Taylor, R., Evans, N., McDonald, B.J.L., 2015. Zircon Th/U ratios in magmatic environs. 212, 397-414. [CrossRef]
- Li, J.-X., Qin, K.-Z., Li, G.-M., Richards, J.P., Zhao, J.-X., Cao, M.-J.J.L., 2014. Geochronology, geochemistry, and zircon Hf isotopic compositions of Mesozoic intermediate–felsic intrusions in central Tibet: Petrogenetic and tectonic implications. 198, 77-91. [CrossRef]
- Li, Y., Kawashima, N., Li, J., Chandra, A., Gerson, A.R.J.A.i.c., science, i., 2013. A review of the structure, and fundamental mechanisms and kinetics of the leaching of chalcopyrite. 197, 1-32. [CrossRef]
- Ludwig, 2008. User's manual for IsoPlot 3.0. 71.
- Ma, L., Li, N., Guo, Y., Wang, X., Yang, S., Huang, M., Zhang, H.J.I.T.o.C., 2021. Learning to optimize: reference vector reinforcement learning adaption to constrained many-objective optimization of industrial copper burdening system. [CrossRef]
- Malkani, M.S., Buzdar, M.A., Khosa, M.H., Kakar, A.S., Saeed, F., Alyani, M.I., 2019. Closure of Tethys Sea and Paleo Vitakri River systems, and the birth of Paleo Indus River systems in Pakistan; Geodynamic and Geobiological Evolution of Indo-Pak subcontinent (South Asia).
- McCulloch, M.T., Gamble, J.J.E., Letters, P.S., 1991. Geochemical and geodynamical constraints on subduction zone magmatism. 102, 358-374. [CrossRef]
- McDonough, W.F., Sun, S.-S.J.C.g., 1995. The composition of the Earth. 120, 223-253. [CrossRef]
- McMahon, C.J.R.G.S.o.I., 1884. Microscopic structures of some Himalayan granites and gneissose granites. 17, 53-73.
- Miandad, S., Shah, M.T., Khan, S.D., Ahmad, L.J.J.o.H.E.S., 2014. Investigation for gold and base metals mineralization and petrochemical characteristics of the rocks of upper parts of Bagrot valley, Gilgit-Baltistan, Pakistan. 47, 29.
- Mikhlin, Y., Tomashevich, Y., Tauson, V., Vyalikh, D., Molodtsov, S., Szargan, R.J.J.o.E.S., Phenomena, R., 2005. A comparative X-ray absorption near-edge structure study of bornite, Cu5FeS4, and chalcopyrite, CuFeS2. 142, 83-88. [CrossRef]
- Moggi, Cecchi, V., Cipriani, C., Rossi, P., Ceccato, D., Rudello, V., Somacal, H.J.P.d.M., 2002. Trace element contents and distribution maps of chalcopyrite: a micro-PIXE study. 71, 101-109.
- Molnar, P., Atwater, T., Mammerickx, J., Smith, S.M.J.G.J.I., 1975. Magnetic anomalies, bathymetry and the tectonic evolution of the South Pacific since the Late Cretaceous. 40, 383-420. [CrossRef]
- Novoselov, K., Belogub, E., Kotlyarov, V., Mikhailov, A.J.E.J.o.M., 2015. Ore mineralogy and formation conditions of the Pirunkoukku gold occurrence (Finland). 27, 639-649. [CrossRef]
- Pearce, J.A., Harris, N.B., Tindle, A.G.J.J.o.p., 1984. Trace element discrimination diagrams for the tectonic interpretation of granitic rocks. 25, 956-983. [CrossRef]
- Pearce, N.J., Perkins, W.T., Westgate, J.A., Gorton, M.P., Jackson, S.E., Neal, C.R., Chenery, S.P.J.G.n., 1997. A compilation of new and published major and trace element data for NIST SRM 610 and NIST SRM 612 glass reference materials. 21, 115-144. [CrossRef]
- Petterson, M., Windley, B.J.E., Letters, P.S., 1991. Changing source regions of magmas and crustal growth in the Trans-Himalayas: evidence from the Chalt volcanics and Kohistan batholith, Kohistan, northern Pakistan. 102, 326-341. [CrossRef]
- Petterson, M.G., Windley, B.F.J.E., Letters, P.S., 1985. RbSr dating of the Kohistan arc-batholith in the Trans-Himalaya of north Pakistan, and tectonic implications. 74, 45-57. [CrossRef]
- Petterson, M.G.J.G.S., London, Special Publications, 2010. A review of the geology and tectonics of the Kohistan island arc, north Pakistan. 338, 287-327. [CrossRef]
- Pettke, T., Audétat, A., Schaltegger, U., Heinrich, C.A.J.C.G., 2005. Magmatic-to-hydrothermal crystallization in the W–Sn mineralized Mole Granite (NSW, Australia): Part II: Evolving zircon and thorite trace element chemistry. 220, 191-213. [CrossRef]
- Plotinskaya, O.Y., Kovalenker, V., Seltmann, R., Stanley, C.J.M., Petrology, 2006. Te and Se mineralogy of the high-sulfidation Kochbulak and Kairagach epithermal gold telluride deposits (Kurama Ridge, Middle Tien Shan, Uzbekistan). 87, 187-207. [CrossRef]
- Pudsey, C.J.J.G.M., 1986. The Northern Suture, Pakistan: margin of a Cretaceous island arc. 123, 405-423. [CrossRef]
- Raza, M.Q., Absar, N., Pandalai, H., Patel, S.J.O.G.R., 2021. Chlorite thermometry and fluid inclusion studies on vein-type Tintini copper deposit, Eastern Dharwar Craton, India: Ore genetic implications. 131, 104058. [CrossRef]
- Reich, M., Román, N., Barra, F., Morata, D.J.M., 2020. Silver-rich chalcopyrite from the active Cerro Pabellón geothermal system, northern Chile. 10, 113. [CrossRef]
- Revan, M.K., Genç, Y., Maslennikov, V.V., Maslennikova, S.P., Large, R.R., Danyushevsky, L.V.J.O.G.R., 2014. Mineralogy and trace-element geochemistry of sulfide minerals in hydrothermal chimneys from the Upper-Cretaceous VMS deposits of the eastern Pontide orogenic belt (NE Turkey). 63, 129-149. [CrossRef]
- Robertson, A.H., Collins, A.S.J.J.o.A.E.S., 2002. Shyok Suture Zone, N Pakistan: late Mesozoic–Tertiary evolution of a critical suture separating the oceanic Ladakh Arc from the Asian continental margin. 20, 309-351. [CrossRef]
- Rolland, Y., Mahéo, G., Pecher, A., Villa, I.M.J.J.o.A.E.S., 2009. Syn-kinematic emplacement of the Pangong metamorphic and magmatic complex along the Karakorum Fault (N Ladakh). 34, 10-25. [CrossRef]
- Rubatto, Daniela, mineralogy, J.R.i., geochemistry, 2017. Zircon: the metamorphic mineral. 83, 261-295. [CrossRef]
- Sadati, S.N., Yazdi, M., Mao, J., Behzadi, M., Adabi, M.H., Lingang, X., Zhenyu, C., Mokhtari, M.A.A.J.O.G.R., 2016. Sulfide mineral chemistry investigation of sediment-hosted stratiform copper deposits, Nahand-Ivand area, NW Iran. 72, 760-776. [CrossRef]
- Schaltegger, U., Brack, P., Ovtcharova, M., Peytcheva, I., Schoene, B., Stracke, A., Marocchi, M., Bargossi, G.M.J.E., Letters, P.S., 2009. Zircon and titanite recording 1.5 million years of magma accretion, crystallization and initial cooling in a composite pluton (southern Adamello batholith, northern Italy). 286, 208-218. [CrossRef]
- Schaltegger, U., Zeilinger, G., Frank, M., Burg, J.P.J.T.n., 2002. Multiple mantle sources during island arc magmatism: U–Pb and Hf isotopic evidence from the Kohistan arc complex, Pakistan. 14, 461-468. [CrossRef]
- Scherbarth, N.L., Spry, P.G.J.E.G., 2006. Mineralogical, petrological, stable isotope, and fluid inclusion characteristics of the Tuvatu gold-silver telluride deposit, Fiji: Comparisons with the Emperor deposit. 101, 135-158. [CrossRef]
- Searle, M., Khan, M.A., Fraser, J., Gough, S., Jan, M.Q.J.T., 1999. The tectonic evolution of the Kohistan-Karakoram collision belt along the Karakoram Highway transect, north Pakistan. 18, 929-949. [CrossRef]
- Searle, M., Windley, B., Coward, M., Cooper, D., Rex, A., Rex, D., Tingdong, L., Xuchang, X., Jan, M., Thakur, V.J.G.S.o.A.B., 1987. The closing of Tethys and the tectonics of the Himalaya. 98, 678-701. [CrossRef]
- Seltmann, R., Faragher, A., Kämpf, H., Moeller, P., 1994. Collisional orogens and their related metallogeny-a preface, Metallogeny of Collisional Orogens.
- Seward, H.H., 1973. Measuring user satisfaction to evaluate information systems. Harvard University.
- Shah, M., Khan, S., Tahirkheli, T., Ahmad, L., Miandad, S., Rehman, A., Ali, L., 2012. Prospects of gold mineralization in the Gilgit-Baltistan Province of Pakistan, pp. NS23A-1650.
- Shah, M.T., Shervais, J.W.J.J.o.A.E.S., 1999. The Dir-Utror metavolcanic sequence, Kohistan arc terrane, northern Pakistan. 17, 459-475. [CrossRef]
- Shand, S.J.J.B.o.t.G.S.o.A., 1942. Phase petrology in the Cortlandt complex, New York. 53, 409-428. [CrossRef]
- Sibuet, J.C., Srivastava, S.P., Spakman, W.J.J.o.G.R.S.E., 2004. Pyrenean orogeny and plate kinematics. 109. [CrossRef]
- Sillitoe, R.H.J.E.g., 2010. Porphyry copper systems. 105, 3-41. [CrossRef]
- Sláma, J., Košler, J., Condon, D.J., Crowley, J.L., Gerdes, A., Hanchar, J.M., Horstwood, M.S., Morris, G.A., Nasdala, L., Norberg, N.J.C.G., 2008. Plešovice zircon—a new natural reference material for U–Pb and Hf isotopic microanalysis. 249, 1-35. [CrossRef]
- Sullivan, M.A., 1992. The geology of the roof-zone of the Kohistan batholith, northwestern Pakistan. University of Leicester (United Kingdom).
- Sylvester, P.J.J.l., 1998. Post-collisional strongly peraluminous granites. 45, 29-44. [CrossRef]
- Tahirkheli, R.A.J.G.B.U.P., 1979. Geology of kohistan, karakoram, himalaya, northern. 11, 1-30.
- Tahirkheli, R.K., Jan, Q., 1984. The geographical and geological domains on the Karakoram, pp. 57-70.
- Tahirkheli, T., Shah, M.T., Khan, M.A., Bilqees, R.J.J.o.H.E.S., 2012. Mineralogy and geochemistry of diorites and associated hydrothermal sulfide mineralization of Gawuch Formation in Drosh area, Chitral, northern Pakistan. 45.
- Todd, E., Sherman, D., Purton, J.J.G.e.C.A., 2003. Surface oxidation of chalcopyrite (CuFeS2) under ambient atmospheric and aqueous (pH 2-10) conditions: Cu, Fe L-and O K-edge X-ray spectroscopy. 67, 2137-2146. [CrossRef]
- Trail, D., Watson, E.B., Tailby, N.D.J.G.e.C.A., 2012. Ce and Eu anomalies in zircon as proxies for the oxidation state of magmas. 97, 70-87. [CrossRef]
- Trail, D., Watson, E.B., Tailby, N.D.J.N., 2011. The oxidation state of Hadean magmas and implications for early Earth’s atmosphere. 480, 79-82. [CrossRef]
- Treloar, J, P., Rex, D., Guise, P., Coward, M., Searle, M., Windley, B., Petterson, M., Jan, M., Luff, I.J.T., 1989. K-Ar and Ar-Ar geochronology of the Himalayan collision in NW Pakistan: Constraints on the timing of suturing, deformation, metamorphism and uplift. 8, 881-909. [CrossRef]
- Treloar, P.J., Petterson, M.G., Jan, M.Q., Sullivan, M.J.J.o.t.G.S., 1996. A re-evaluation of the stratigraphy and evolution of the Kohistan arc sequence, Pakistan Himalaya: implications for magmatic and tectonic arc-building processes. 153, 681-693. [CrossRef]
- Vikentyev, I.J.M., Petrology, 2006. Precious metal and telluride mineralogy of large volcanic-hosted massive sulfide deposits in the Urals. 87, 305-326. [CrossRef]
- Virdi, N., Tectonophysics, 1987. Northern margin of the Indian Plate—some litho-tectonic constraints. 134, 29-38. [CrossRef]
- Voudouris, P.J.I.L.S.i.a.t.G.-N.D.D., 2010. Gold deposits in Greece. mineralogy and genetic considerations. 10.
- Wadia, D.N.J.M.G.S.I., 1928. The geology of Poonch State (Kashmir) and adjacent portions of the Punjab. 51, 185-370.
- Wang, J., Tao, L., Zhao, H., Hu, M., Zheng, X., Peng, H., Gan, X., Xiao, W., Cao, P., Qin, W.J.M.E., 2016. Cooperative effect of chalcopyrite and bornite interactions during bioleaching by mixed moderately thermophilic culture. 95, 116-123. [CrossRef]
- Wiedenbeck, M., Alle, P., Corfu, F., Griffin, W.L., Meier, M., Oberli, F.v., Quadt, A.v., Roddick, J., Spiegel, W.J.G.n., 1995. Three natural zircon standards for U-Th-Pb, Lu-Hf, trace element and REE analyses. 19, 1-23. [CrossRef]
- Wilson, M., 1989. Igneous petrogenesis. Springer.
- Xia, X., Sun, M., Geng, H., Sun, Y., Wang, Y., Zhao, G.J.J.o.A.A.S., 2011. Quasi-simultaneous determination of U-Pb and Hf isotope compositions of zircon by excimer laser-ablation multiple-collector ICPMS. 26, 1868-1871. [CrossRef]
- Yamamoto, H., Nakamura, E.J.G.S., London, Special Publications, 2000. Timing of magmatic and metamorphic events in the Jijal complex of the Kohistan arc deduced from Sm-Nd dating of mafic granulites. 170, 313-319. [CrossRef]
- Yin, A., Harrison, T.M.J.A.r.o.e., sciences, p., 2000. Geologic evolution of the Himalayan-Tibetan orogen. 28, 211-280. [CrossRef]
- Zanchi, Andrea, Gaetani, M.J.I.j.o.G., 2011. The geology of the Karakoram range, Pakistan: the new 1: 100,000 geological map of Central-Western Karakoram. 130, 161-262.
- Zaw, K., Peters, S.G., Cromie, P., Burrett, C., Hou, Z.J.O.G.R., 2007. Nature, diversity of deposit types and metallogenic relations of South China. 31, 3-47. [CrossRef]
- Zeitler, P.K., Chamberlain, C.P.J.T., 1991. Petrogenetic and tectonic significance of young leucogranites from the northwestern Himalaya, Pakistan. 10, 729-741. [CrossRef]
- Zhang, F.-F., Wang, Y.-H., Xue, C.-J., Liu, J.-j., Zhang, W.J.O.G.R., 2019. Fluid inclusion and isotope evidence for magmatic-hydrothermal fluid evolution in the Tuwu porphyry copper deposit, Xinjiang, NW China. 113, 103078. [CrossRef]
- Zhang, K.-J.J.T., 1997. North and South China collision along the eastern and southern North China margins. 270, 145-156. [CrossRef]
- Zhao, X.-Y., Zhong, H., Hu, R.-Z., Mao, W., Bai, Z.-J., Lan, T.-G., Xue, K.J.E.G., 2021. Evolution of Multistage Hydrothermal Fluids in the Luoboling Porphyry Cu-Mo Deposit, Zijinshan Ore Field, Fujian Province, China: Insights from LA-ICP-MS Analyses of Fluid Inclusions. 116, 581-606. [CrossRef]

















Disclaimer/Publisher’s Note: The statements, opinions and data contained in all publications are solely those of the individual author(s) and contributor(s) and not of MDPI and/or the editor(s). MDPI and/or the editor(s) disclaim responsibility for any injury to people or property resulting from any ideas, methods, instructions or products referred to in the content. |
© 2024 by the authors. Licensee MDPI, Basel, Switzerland. This article is an open access article distributed under the terms and conditions of the Creative Commons Attribution (CC BY) license (http://creativecommons.org/licenses/by/4.0/).
