Submitted:
10 May 2024
Posted:
10 May 2024
You are already at the latest version
Abstract
Keywords:
1. Introduction
2. Materials and Methods
3. Results and Discussion
3.1. Optical Microscopy and Raman Spectra
3.2. XPS Spectra
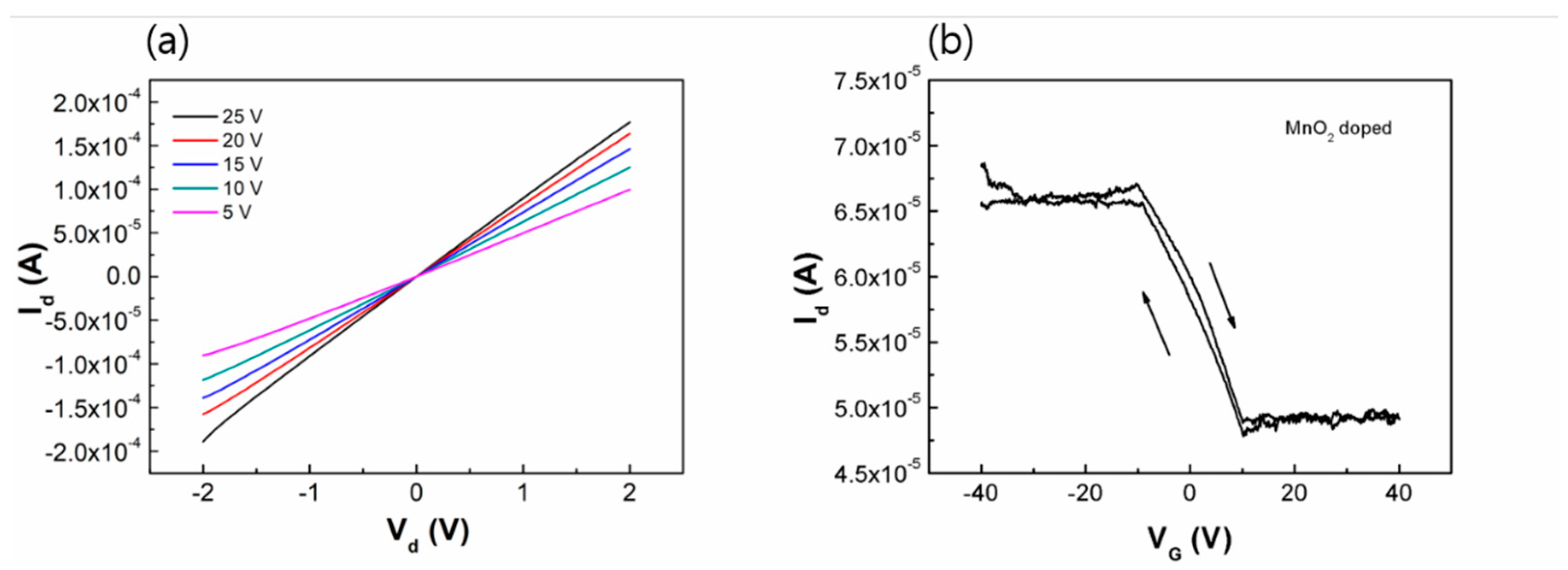
3.3. Device Characteristics
3.4. Transport
4. Conclusions
Author Contributions
Funding
Data Availability Statement
Conflicts of Interest
References
- Novoselov, K. S.; Geim, A. K.; Morozov, S. V.; Jiang, D.; Katsnelson, M. I.; Grigorieva, I. V.; Dubonos, S. V.; Firsov, A. A. Two-dimensional gas of massless Dirac fermions in graphene, Nature 2005, 438, 197. [CrossRef]
- Han, M. Y.; Ozyilmaz, B.; Zhang, Y; Kim, P. Energy band-gap engineering of graphene nanoribbons, Phys. Rev. Lett. 2007, 98, 206805. [CrossRef]
- Dong, X.; Shi, Y.; Zhao, Y.; Chen, D.; Ye, J.; Yao, Y.; Gao, F.; Ni, Z.; Yu, T.; Shen, Z.; Huang, Y.; Chen, P.; Li, L. -J. Symmetry breaking of graphene monolayers by molecular decoration, Phys. Rev. Lett. 2009, 102, 135501. [CrossRef]
- Ohta, T.; Bostwick, A.; Seyller, T.; Horn, K.; Rotenberg, E. Controlling the electronic structure of bilayer graphene, Science 2006, 313, 951. [CrossRef]
- Tang, Y. -B.; Yin, L. -C.; Yang, Y.; Bo, X. -H.; Cao, Y. -L.; Wang, H. -E.; Zhang, W. -J.; Bello, I.; Lee, S. -T.; Cheng, H. -M.; Lee, C. -S. Tunable band gaps and p-type transport properties of Boron-doped graphenes by controllable ion doping using reactive microwave plasma, ACS Nano 2012, 6, 1970. [CrossRef]
- Rudberg, E.; Salek, P.; Luo, Y. Nonlocal exchange interaction removes half-metallicity in graphene nanoribbons, Nano Lett. 2007, 7, 2211. [CrossRef]
- Son, Y.-W.; Cohen, M. L.; Louie, S. G. Half-metallic graphene nanoribbons, Nature 2006, 444, 347. [CrossRef]
- Zhang, Y.; Tang, T. -T.; Girit, C.; Hao, Z.; Martin, M. C.; Zettl, A.; Crommie, M. F.; Shen, R.; Wang, F. Direct observation of a widely tunable bandgap in bilayer graphene, Nature 2009, 459, 820. [CrossRef]
- Ferrari, A. C.; Meyer, J. C.; Scardaci, V.; Casiraghi, C.; Lazzeri, M.; Mauri, F.; Piscanec, S.; Jiang, D.; Novoselov, K. S.; Roth, S.; Geim, A. K. Raman spectrum of graphene and graphene Layers, Phys. Rev. Lett. 2006, 97, 187401. [CrossRef]
- Li, X.; Cai, W.; An, J.; Kim, S.; Nah, J.; Yang, D.; Piner, R.; Velamakanni, A.; Jung, I.; Tutuc, E.; Banerjee, S.; Colombo, L.; Ruoff, R. S. Large-area synthesis of high-quality and uniform graphene films on copper foils, Science 2009, 324, 1312. [CrossRef]
- Ni, Z. H.; Wang, H. M.; Kasim, J.; Fan, H. M.; Yu, T.; Wu, Y. H.; Feng, Y. P.; Shen, Z. H. Graphene thickness determination using reflection and contrast spectroscopy, Nano Lett. 2007, 7, 2758. [CrossRef]
- Malard, L. M.; Pimenta, M. A.; Dresselhaus, G.; Dresselhaus, M. S. Raman spectroscopy in graphene, Phys. Rep. 2009, 473, 51. [CrossRef]
- Maldonado, S.; Morin, S.; Stevenson, K. J. Structure, composition, and chemical reactivity of carbon nanotubes by selective nitrogen doping, Carbon 2006, 44, 1429. [CrossRef]
- Miyazaki, H.; Tsukagoshi, K.; Kanda, A.; Otani, M.; Okada, S. Influence of disorder on conductance in bilayer graphene under perpendicular electric field, Nano Lett. 2010, 10, 3888. [CrossRef]
- Park, C. -S.; Zhao, Y.; Shon, Y.; Yoon, I. T.; Lee, C. J.; Song, J. D.; Lee, H.; Kim, E. K. Properties of room-temperature ferromagnetic semiconductor in manganese-doped bilayer graphene by chemical vapor deposition, J. Mater. Chem. C 2015, 3, 4235. [CrossRef]
- Cretu, O.; Krasheninnikov, A. V.; Rodriguez-Manzo, J. A.; Sun, L.; Nieminen, R. M.; Banhart, F. Migration and localization of metal atoms on strained graphene, Phys. Rev. Lett. 2010, 105, 196102. [CrossRef]
- Park, C. -S. Disorder induced transition of electrical properties of graphene by thermal annealing, Results in Physics. 2018, 9, 1534. [CrossRef]




Disclaimer/Publisher’s Note: The statements, opinions and data contained in all publications are solely those of the individual author(s) and contributor(s) and not of MDPI and/or the editor(s). MDPI and/or the editor(s) disclaim responsibility for any injury to people or property resulting from any ideas, methods, instructions or products referred to in the content. |
© 2024 by the authors. Licensee MDPI, Basel, Switzerland. This article is an open access article distributed under the terms and conditions of the Creative Commons Attribution (CC BY) license (http://creativecommons.org/licenses/by/4.0/).