Submitted:
09 May 2024
Posted:
09 May 2024
You are already at the latest version
Abstract
Keywords:
Introduction
Methods and Materials
Data Analysis
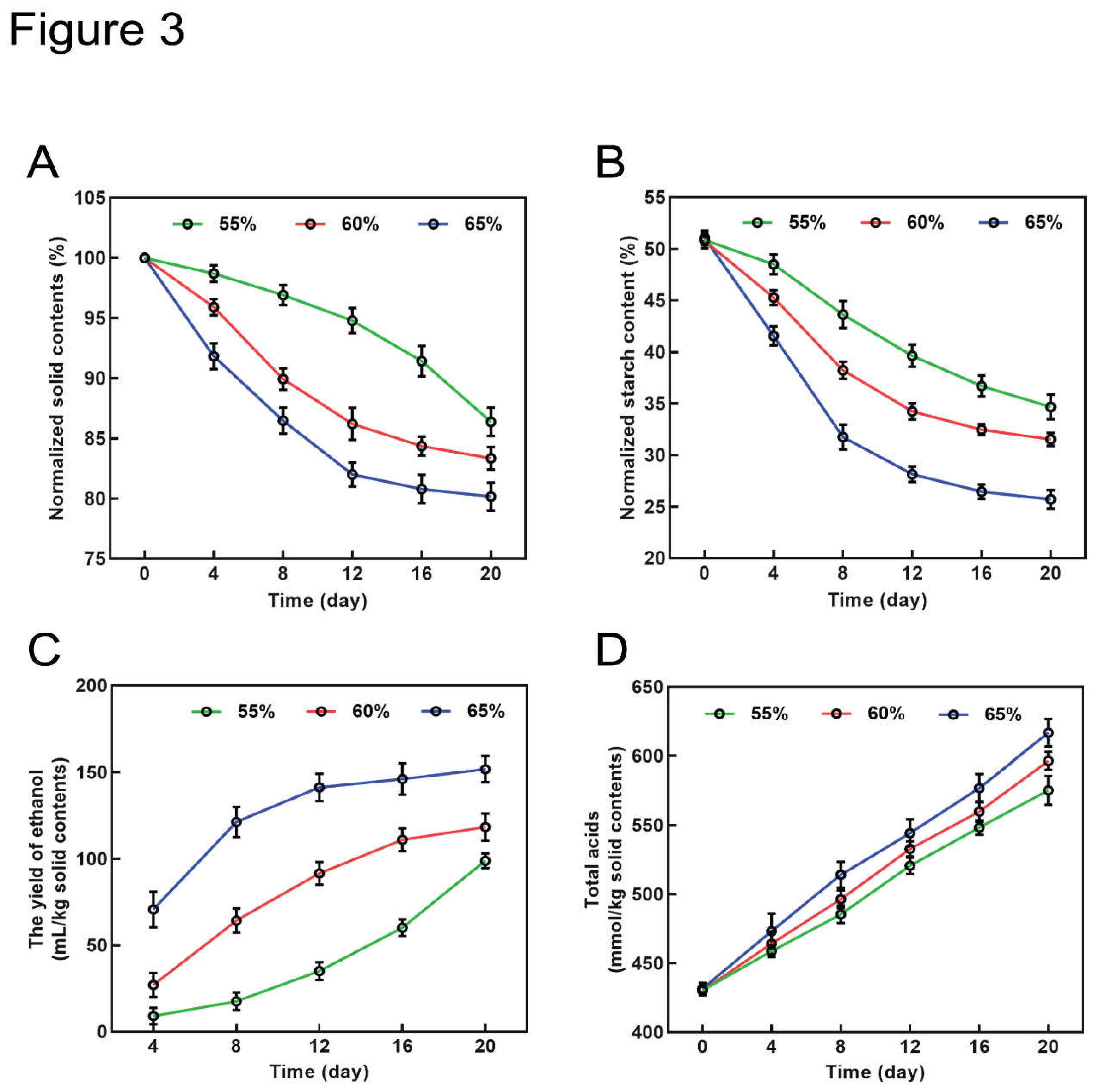
Results and Discussion




Research involving human and animal rights
Acknowledgments
Conflict of interest
Open Access
References
- Ao L, Guo K, Dai XR, Dong W, Sun XT, Sun BG, Sun JY, Liu GY, Li AJ, Li HH, Zheng FP. Quick classification of strong-aroma types of base Baijiu using potentiometric and voltammetric electronic tongue combined with chemometric techniques. Frontiers in Nutrition. 9: 977929 (2022). [CrossRef]
- Chai LJ, Qian W, Zhong XZ, Zhang XJ, Lu ZM, Zhang SY, Wang ST, Shen CH, Shi JS, Xu ZH. Mining the Factors Driving the Evolution of the Pit Mud Microbiome under the Impact of Long-Term Production of Strong-Flavor Baijiu. Applied and Environmental Microbiology. 87: e0088521 (2021). [CrossRef]
- Cheng W, Chen XF, Xue XJ, Lan W, Zeng HW, Li RL, Pan TQ, Li N, Gong ZL, Yang HW. Comparison of the Correlations of Microbial Community and Volatile Compounds between Pit-Mud and Fermented Grains of Compound-Flavor Baijiu. Foods. 13: 203 (2024). [CrossRef]
- Ding XF, Wu CD, Huang J, Zhou RQ. Changes in Volatile Compounds of Chinese Luzhou--Flavor Liquor during the Fermentation and Distillation Process. Journal of Food Science. 80: 73-81 (2015). [CrossRef]
- Ding YL, Bi QR, Huang DD, Liao JM, Yang L, Luo XX, Yang PL, Li Y, Yao CL, Wei WL, Zhang JQ, Li JY, Huang Y, Guo DA. A novel integrated automatic strategy for amino acid composition analysis of seeds from 67 species. Food Chemistry. 426: 136670 (2023). [CrossRef]
- Gao ZZ, Wu ZY, Zhang WX. Effect of Pit Mud on Bacterial Community and Aroma Components in Yellow Water and Their Changes during the Fermentation of Chinese Strong-Flavor Liquor. Foods. 9: 372-385 (2020). [CrossRef]
- Gong Y, Ma N, Tang H. Analysis of microbial community diversity and physicochemical factors in pit mud of different ages based on high-throughput sequencing. Canadian Journal of Microbiology. 68: 674-686 (2022). [CrossRef]
- González-Weller D, Paz-Montelongo S, Bethencourt-Barbuzano E, Niebla-Canelo D, Alejandro-Vega S, Gutiérrez ÁJ., Hardisson A, Carrascosa C, Rubio C. Proteins and Minerals in Whey Protein Supplements. Foods. 12: 2238 (2023). [CrossRef]
- He FQ, Yang HM, Zeng LL, Hu H, Hu C. Production and characterization of bacterial cellulose obtained by Gluconacetobacter xylinus utilizing the by-products from Baijiu production. Bioprocess and Biosystems Engineering. 43: 927-936 (2020). [CrossRef]
- Huo JY, Li M, Wei JW, Wang Y, Hao WJ, Sun WZ, Wu JH, Huang MQ. RNA-seq based elucidation of mechanism underlying the protective effect of Huangshui polysaccharide on intestinal barrier injury in Caco-2 cells. Food Research International. 162: 112175 (2022). [CrossRef]
- Huo JY, Wu JH, Zhao MM, Sun WZ, Sun JY, Li HH, Huang MQ. Immunomodulatory activity of a novel polysaccharide extracted from Huangshui on THP-1 cells through NO production and increased IL-6 and TNF-α expression. Food Chemistry. 330: 127257 (2020). [CrossRef]
- Ji XA, Yu XW, Zhang LY, Wu Q, Chen FJ, Guo FX, Xu Y. Acidity drives volatile metabolites in the spontaneous fermentation of sesame flavor-type baijiu. International Journal of Food Microbiology. 389: 110101 (2023). [CrossRef]
- Jiang SJ, Deng YF, Long ZJ, Liu P, Hong J, Wei TZ, Zhang Y, Sun SS, Zhuo SY, Shang LG. Reduction of pyocyanin synthesis and antibiotic resistance in Pseudomonas aeruginosa by low concentration ethanol. FEMS Microbiology Letters. 370: 1-7 (2023). [CrossRef]
- Kang JM, Sun YT, Huang XN, Ye L, Chen YH, Chen XX, Zheng XW, Han BZ. Unraveling the microbial compositions, metabolic functions, and antibacterial properties of Huangshui, a byproduct of Baijiu fermentation. Food Research International. 157: 111320 (2022). [CrossRef]
- Kassahun H, Van Schepdael A, Ketema G, Adams E. Development and validation of a simple and affordable LC-UV method for identification and assay of selected antimicrobial medicines. Journal of Pharmaceutical and Biomedical Analysis. 244: 116127 (2024). [CrossRef]
- Li H, Huang J, Liu XP, Zhou RQ, Ding XF, Xiang QY, Zhang LQ, Wu CD. Characterization of Interphase Microbial Community in Luzhou-Flavored Liquor Manufacturing Pits of Various Ages by Polyphasic Detection Methods. Journal of Microbiology and Biotechnology. 27: 130-140 (2017). [CrossRef]
- Li HD, Liu SY, Liu YB, Hui M, Pan CM. Functional microorganisms in Baijiu Daqu: Research progress and fortification strategy for application. Frontiers in Microbiology. 14: 1119675 (2023). [CrossRef]
- Liu XG, Ma DN, Yang C, Yin QQ, Liu SP, Shen CH, Mao J. Microbial community succession patterns and drivers of Luxiang-flavor Jiupei during long fermentation. Frontiers in Microbiology. 14: 1109719 (2023). [CrossRef]
- Liu YB, Li HD, Liu WX, Ren KJ, Li XH, Zhang ZK, Huang RN, Han SN, Hou JG, Pan CM. Bioturbation analysis of microbial communities and flavor metabolism in a high-yielding cellulase Bacillus subtilis biofortified Daqu. Food Chemistry-x. 22: 101382 (2024). [CrossRef]
- Liu YH, Wu ZY, Yang J, Yuan YJ, Zhang WX. Step Enzymatic Hydrolysis of Sodium Hydroxide-Pretreated Chinese Liquor Distillers’ Grains for Ethanol Production. Preparative Biochemistry and Biotechnology. 44: 464-479 (2014). [CrossRef]
- Liu ZL, Pan JH. A practical method for extending the biuret assay to protein determination of corn-based products. Food Chemistry. 224: 289-293 (2017). [CrossRef]
- Ma Y, Leng YJ, Huo DQ, Zhao D, Zheng J, Yang HS, Zhao P, Li FF, Hou CJ. A sensitive enzyme-free electrochemical sensor based on a rod-shaped bimetallic MOF anchored on graphene oxide nanosheets for determination of glucose in huangshui. Analytical Methods. 15: 2417-2426 (2023). [CrossRef]
- Pei WH, Li M, Wu JH, Huang MQ, Sun BG, Liang HY, Wu ZY. Preparation, Structural Analysis, and Intestinal Probiotic Properties of a Novel Oligosaccharide from Enzymatic Degradation of Huangshui Polysaccharide. Journal of Agricultural and Food Chemistry. 72: 313-325 (2023). [CrossRef]
- Qin Y, Shin JA, Lee KT. Determination of acetaldehyde, methanol and fusel oils in distilled liquors and sakès by headspace gas chromatography. Food Science and Biotechnology. 29: 331-337 (2019). [CrossRef]
- Ren ZQ, Xie J, Tang TX, Huang ZG. Short-Chain Carboxylates Facilitate the Counting of Yeasts in Sub-High Temperature Daqu. Polish Journal of Microbiology. (2024). [CrossRef]
- Song ZW, Du H, Zhang MH, Nie Y, Xu Y. Schizosaccharomyces pombe Can Reduce Acetic Acid Produced by Baijiu Spontaneous Fermentation Microbiota. Microorganisms. 7: 606 (2019). [CrossRef]
- Tang TX, Liu Y, Wu ZL. Characterization of a robust anti-Prelog short-chain dehydrogenase/reductase ChKRED20 from Chryseobacterium sp. CA49. Journal of Molecular Catalysis B: Enzymatic. 105: 82-88 (2014). [CrossRef]
- Wang BW, Wu Q, Xu Y, Sun BG. Synergistic Effect of Multiple Saccharifying Enzymes on Alcoholic Fermentation for Chinese Baijiu Production. Applied and Environmental Microbiology. 86: e00013-00020 (2020). [CrossRef]
- Wang ZH, Liu Y, Liang MQ, Chen YH, Dong WJ, Hu Q, Song SM, Shuang SM, Dong C, Gong XJ. Hydrophobic carbon quantum dots with red fluorescence: An optical dual-mode and smartphone imaging sensor for identifying Chinese Baijiu quality. Talanta. 275: 126064 (2024). [CrossRef]
- Wu MX, Fan Y, Zhang JB, Chen HY, Wang ST, Shen CH, Fu HY, She YB. A novel organic acids-targeted colorimetric sensor array for the rapid discrimination of origins of Baijiu with three main aroma types. Food Chemistry. 447: 138968 (2024). [CrossRef]
- Wu ZY, Liao QJ, Chen PP, Zhao D, Huo JY, An MZ, Li YH, Wu JH, Xu ZM, Sun BG, Huang MQ. Synthesis, characterization, and methylene blue adsorption of multiple-responsive hydrogels loaded with Huangshui polysaccharides, polyvinyl alcohol, and sodium carboxyl methyl cellulose. International Journal of Biological Macromolecules. 216: 157-171 (2022). [CrossRef]
- Xie JY, Cheng K, Zhao D, Yang GR, Qiao ZW, Qiu SQ, Yu XJ, Liu HQ, Li T, Feng HJ, Yao S, Zhai L. Bacillus aquiflavi sp. nov., isolated from yellow water of strongly flavored Chinese baijiu. International Journal of Systematic and Evolutionary Microbiology. 70: 3406-3412 (2020). [CrossRef]
- Xu SS, Zhang MZ, Xu BY, Liu LH, Sun W, Mu DD, Wu XF, Li XJ. Microbial communities and flavor formation in the fermentation of Chinese strong-flavor Baijiu produced from old and new Zaopei. Food Research International. 156: 111162 (2022). [CrossRef]
- Xu Y, Shu X, Qiao X, Yang C, He L, Wan WJ, Xu ZJ, Tang Y. Airborne microbes in five important regions of Chinese traditional distilled liquor (Baijiu) brewing regional and seasonal variations. Frontiers in Microbiology. 14: 1324722 (2024). [CrossRef]
- Zheng J, Wu CD, Huang J, Zhou RQ, Liao XP. Spatial Distribution of Bacterial Communities and Related Biochemical Properties in Luzhou--Flavor Liquor--Fermented Grains. Journal of Food Science. 79: M2491-2498 (2014). [CrossRef]
- Zou W, Zhao CQ, Luo HB. Diversity and Function of Microbial Community in Chinese Strong-Flavor Baijiu Ecosystem: A Review. Frontiers in Microbiology. 9: 671 (2018). [CrossRef]
Disclaimer/Publisher’s Note: The statements, opinions and data contained in all publications are solely those of the individual author(s) and contributor(s) and not of MDPI and/or the editor(s). MDPI and/or the editor(s) disclaim responsibility for any injury to people or property resulting from any ideas, methods, instructions or products referred to in the content. |
© 2024 by the authors. Licensee MDPI, Basel, Switzerland. This article is an open access article distributed under the terms and conditions of the Creative Commons Attribution (CC BY) license (http://creativecommons.org/licenses/by/4.0/).