Submitted:
07 August 2024
Posted:
08 August 2024
You are already at the latest version
Abstract
Keywords:
1. Introduction
2. Materials and Methods
2.1. Fermentation of Xiaoqu Baijiu
2.2. Production of Wickerhamomyces fuqu (WF)
2.3. Preparation for Intensive Fermentation
2.4. Detection of Physicochemical Indicators of Fermented Grains
2.5. Detection of Flavor Substances in Xiaoqu Baijiu
2.6. Calculation of Odor Activity Value (OAV)
2.7. DNA Extraction and High-Throughput Sequencing
2.8. Statistical analysis
3. Results
3.1. Aroma Activity Values of Xiaoqu Baijiu Esters
3.2. The Correlation between Fungal Community and Esters in Xiaoqu Baijiu
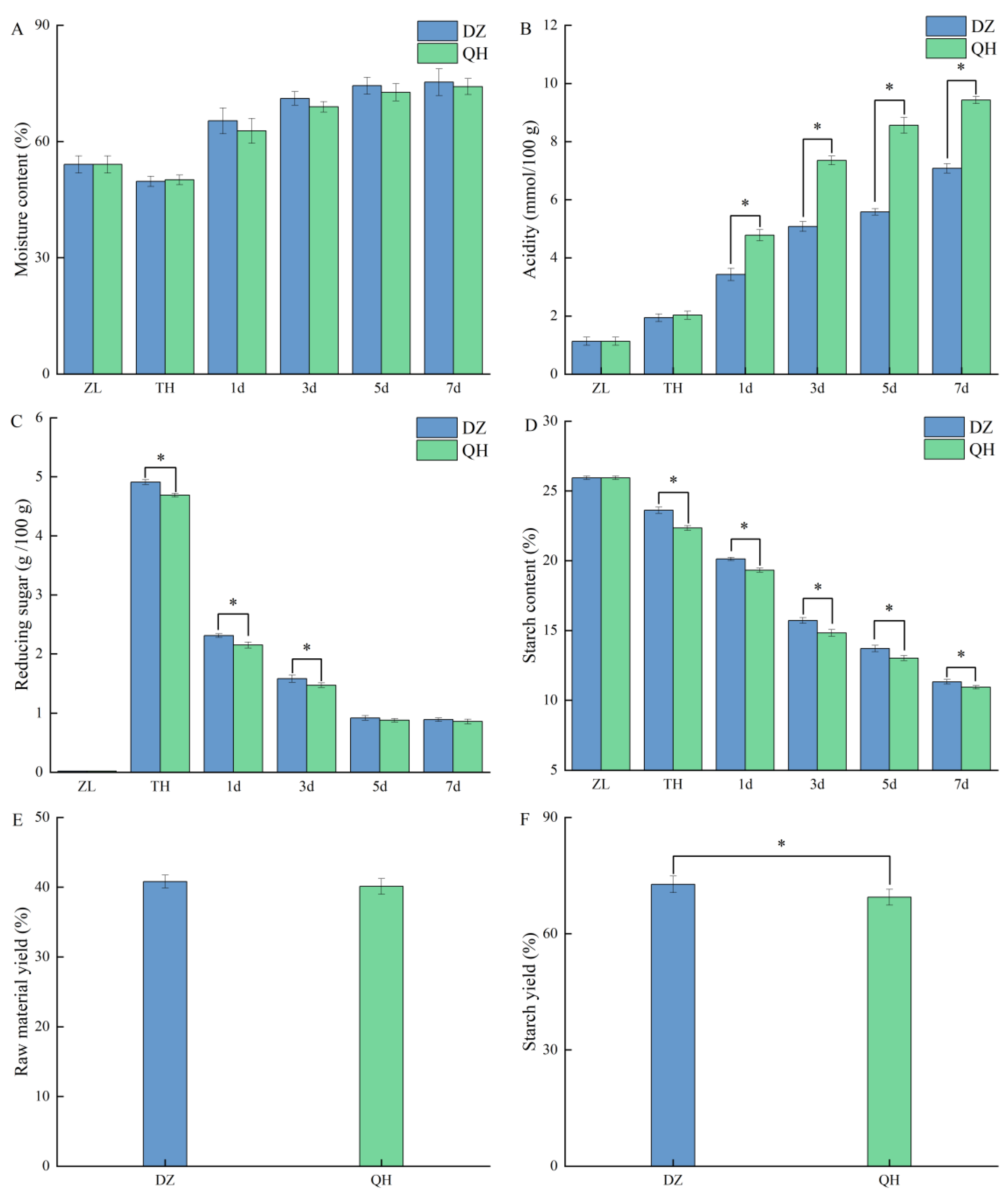
3.3. Effects of WF Intensive Fermentation on Physicochemical Indicators and Baijiu Yield
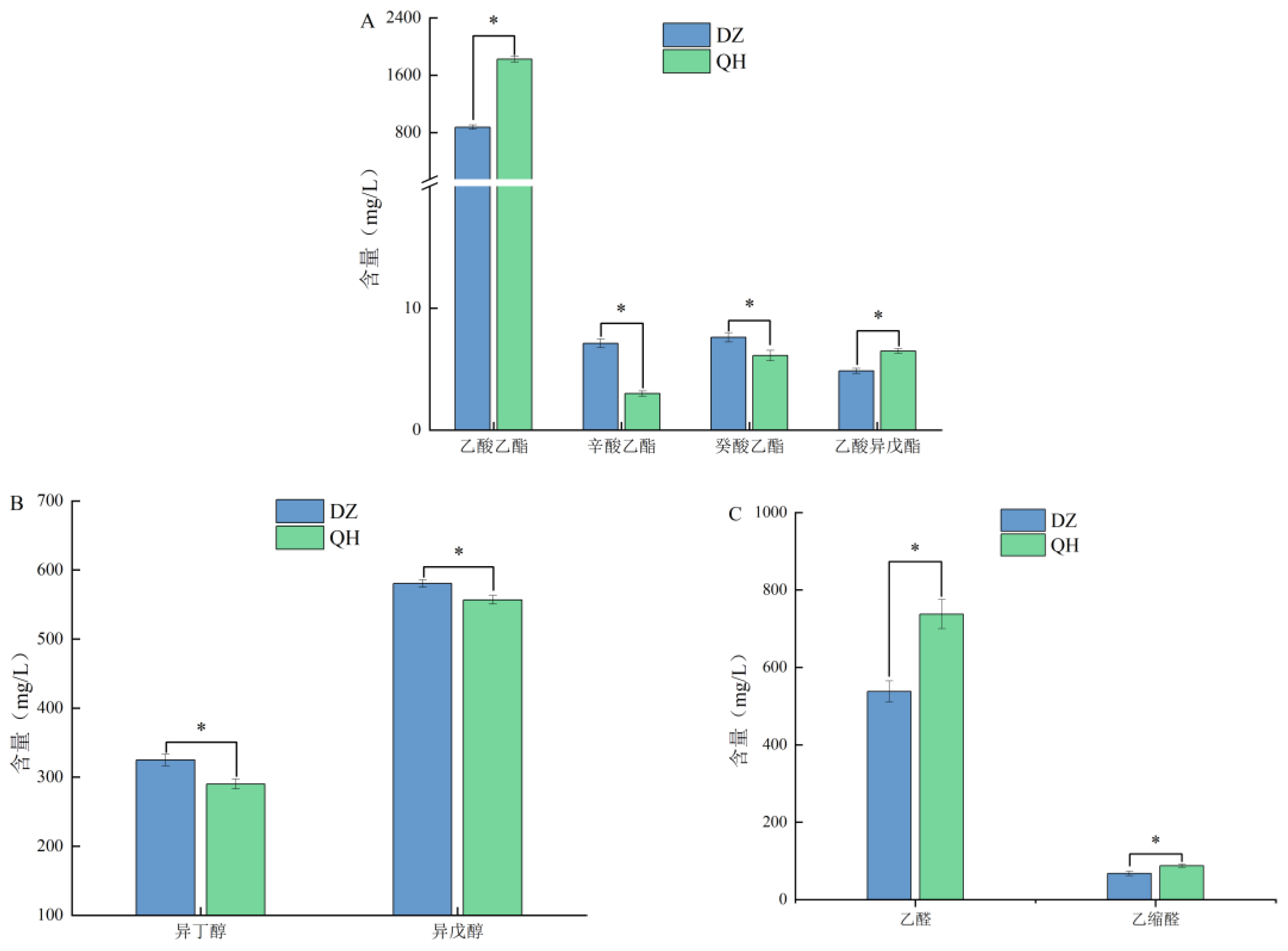
3.4. Effect of WF Intensive Fermentation on Flavor Substances of Xiaoqu Baijiu
3.5. Differences in Volatile Flavor Compounds
3.6. Alterations in the Composition of Fungal Communities in Fermented Grains during the Fermentation Process
3.7. Metabolic Analysis of the Different Flavor Compounds
4. Discussion
5. Conclusion
Acknowledgments
Conflicts of Interest
References
- Bai, B.,Liu C.,Zhang C.,He X.,Wang H.,Peng W., & Zheng C. (2023). Trichoderma species from plant and soil: An excellent resource for biosynthesis of terpenoids with versatile bioactivities. Journal of Advanced Research, 49, 81-102. [CrossRef]
- Chen, H., & Fink G. R. (2006). Feedback control of morphogenesis in fungi by aromatic alcohols. Genes & Development, 20, 1150-1161. [CrossRef]
- Chen, L.,Li D.,Ren L.,Song S.,Ma X., & Rong Y. (2021). Effects of simultaneous and sequential cofermentation of Wickerhamomyces anomalus and Saccharomyces cerevisiae on physicochemical and flavor properties of rice wine. Food Science & Nutrition, 9, 71-86. [CrossRef]
- Chen, S.,Tang J.,Fan S.,Zhang J.,Chen S.,Liu Y.,Yang Q., & Xu Y. (2021). Comparison of Potent Odorants in Traditional and Modern Types of Chinese Xiaoqu Liquor (Baijiu) Based on Odor Activity Values and Multivariate Analyses. Foods, 10. [CrossRef]
- Choi, K. T.,Lee S. H.,Kim Y. J.,Choi J. S., & Lee S. B. (2024). Improvement of volatile aromatic compound levels and sensory quality of distilled soju derived from Saccharomyces cerevisiae and Wickerhamomyces anomalus co-fermentation. Food Chemistry: X, 22, 101368. [CrossRef]
- Ciani, M., & Ferraro L. (1998). Combined use of immobilized Candida stellata cells and Saccharomyces cerevisiae to improve the quality of wines. Journal of Applied Microbiology, 85, 247–254. [CrossRef]
- Cordente, A. G.,Schmidt S.,Beltran G.,Torija M. J., & Curtin C. D. (2019). Harnessing yeast metabolism of aromatic amino acids for fermented beverage bioflavouring and bioproduction. Applied Microbiology and Biotechnology, 103, 4325-4336. [CrossRef]
- Fan, G.,Teng C.,Xu D.,Fu Z.,Minhazul K.,Wu Q.,Liu P.,Yang R., & Li X. (2019). Enhanced production of ethyl acetate using co-culture of Wickerhamomyces anomalus and Saccharomyces cerevisiae. Journal of Bioscience and Bioengineering, 128, 564-570. [CrossRef]
- Holt, S.,Trindade de Carvalho B.,Foulquie-Moreno M. R., & Thevelein J. M. (2018). Polygenic Analysis in Absence of Major Effector ATF1 Unveils Novel Components in Yeast Flavor Ester Biosynthesis. Mbio, 9. [CrossRef]
- Huang, Q.,Liu Y.,He Z.,Mao Y.,Wu H.,Tian L.,Xiang S.,Long L.,Li Y., & Guan T. (2024). Environmental temperature variations drive the changes of microbial communities to affect Baijiu flavor quality: Case study of Qingxiangxing Baijiu. Food Bioscience, 59. [CrossRef]
- Jiang, X.,Lu Y., & Liu S. Q. (2020). Effects of Different Yeasts on Physicochemical and Oenological Properties of Red Dragon Fruit Wine Fermented with Saccharomyces cerevisiae, Torulaspora delbrueckii and Lachancea thermotolerans. Microorganisms, 8. [CrossRef]
- Li, Y.,Long H.,Jiang G.,Yu Z.,Huang M.,Zou S.,Guan T.,Zhao Y., & Liu X. (2022). Protective effects of thiamine on Wickerhamomyces anomalus against ethanol stress. Front Microbiol, 13, 1057284. [CrossRef]
- Lin, B.,Tang J.,Yang Q.,Su Z.,Zhu L.,Li Q.,Jiang W.,Zhang L.,Liu Y., & Chen S. (2022). Microbial succession and its effect on key aroma components during light-aroma-type Xiaoqu Baijiu brewing process. World Journal of Microbiology and Biotechnology, 38, 166. [CrossRef]
- Liu, G.,Huang L., & Lian J. (2023). Alcohol acyltransferases for the biosynthesis of esters. Biotechnology for Biofuels and Bioproducts, 16, 93. [CrossRef]
- Liu, H.,Tan G.,Chen Q.,Dong W.,Chen P.,Cai K.,Hu Y.,Zhang W.,Peng N.,Liang Y., & Zhao S. (2021). Detection of viable and total fungal community in zaopei of Chinese strong-flavor baijiu using PMA combined with qPCR and HTS based on ITS2 region. BMC Microbiol, 21, 274. [CrossRef]
- Liu, J.,Chen Y.,Fu G.,Chen Y.,Wan Y.,Deng M.,Cai W., & Li M. (2022). Improvement of the flavor of major ethyl ester compounds during Chinese Te-flavor Baijiu brewing by Wickerhamomyces anomalus. Food Bioscience, 50. [CrossRef]
- Meersman, E.,Steensels J.,Struyf N.,Paulus T.,Saels V.,Mathawan M.,Allegaert L.,Vrancken G., & Verstrepen K. J. (2016). Tuning Chocolate Flavor through Development of Thermotolerant Saccharomyces cerevisiae Starter Cultures with Increased Acetate Ester Production. Applied and Environmental Microbiology, 82, 732-746. [CrossRef]
- Puyo, M.,Scalabrino L.,Romanet R.,Simonin S.,Klein G.,Alexandre H., & Tourdot-Marechal R. (2024). Competition for Nitrogen Resources: An Explanation of the Effects of a Bioprotective Strain Metschnikowia pulcherrima on the Growth of Hanseniaspora Genus in Oenology. Foods, 13. [CrossRef]
- Qian, W.,Lu Z. M.,Chai L. J.,Zhang X. J.,Li Q.,Wang S. T.,Shen C. H.,Shi J. S., & Xu Z. H. (2021). Cooperation within the microbial consortia of fermented grains and pit mud drives organic acid synthesis in strong-flavor Baijiu production. Food Research International, 147, 110449. [CrossRef]
- Ren, Z.,Chen Q.,Tang T., & Huang Z. (2024). Unraveling the Water Source and Formation Process of Huangshui in Solid-State Fermentation. [CrossRef]
- Ren, Z.,Xie J.,Tang T., & Huang Z. (2024). Short-Chain Carboxylates Facilitate the Counting of Yeasts in Sub-High Temperature Daqu. Pol J Microbiol, 73, 167-176. [CrossRef]
- Shimizu, Y.,Konno Y., & Tomita Y. (2020). Wickerhamomyces psychrolipolyticus f.a., sp. nov., a novel yeast species producing two kinds of lipases with activity at different temperatures. International Journal of Systematic And Evolutionary Microbiology, 70, 1158-1165. [CrossRef]
- Tong, W.,Wang S.,Yang Y.,Huang Z.,Li Y.,Huang D.,Luo H., & Zhao L. (2023). Insights into the Dynamic Succession of Microbial Community and Related Factors of Vanillin Content Change Based by High-Throughput Sequencing and Daqu Quality Drivers. Foods, 12. [CrossRef]
- Wang, L.,Zhu L.,Zheng F.,Zhang F.,Shen C.,Gao X.,Sun B.,Huang M.,Li H., & Chen F. (2021). Determination and comparison of flavor (retronasal) threshold values of 19 flavor compounds in Baijiu. Journal of Food Science, 86, 2061-2074. [CrossRef]
- Wang, P.,Wu Q.,Jiang X.,Wang Z.,Tang J., & Xu Y. (2017). Bacillus licheniformis affects the microbial community and metabolic profile in the spontaneous fermentation of Daqu starter for Chinese liquor making. International Journal of Food Microbiology, 250, 59-67. [CrossRef]
- Wang, W.,Fan G.,Li X.,Fu Z.,Liang X., & Sun B. (2020). Application of Wickerhamomyces anomalus in Simulated Solid-State Fermentation for Baijiu Production: Changes of Microbial Community Structure and Flavor Metabolism. Front Microbiol, 11, 598758. [CrossRef]
- Wang, Z.,Wei J.,Wang Y.,Zhu T.,Huang M.,Wu J.,Xu Y.,Zhang J., & Wang B. (2021). A new method to predict the content changes of aroma compounds during the aging process of Niulanshan Baijiu using the GM (1,1) gray model. Flavour and Fragrance Journal, 37, 5-19. [CrossRef]
- Wang, Z.,Xizhen Sun 2,and Y. L., & Hong Yang 1. (2020). Characterization of Key Aroma Compounds in Xiaoqu Liquor and Their Contributions to the Sensory Flavor. Beverages, 6. [CrossRef]
- Xue, T.,Zhang J.,Wang T.,Bai B.,Hou Z.,Cheng J.,Bo T., & Fan S. (2023). Reveal the microbial communities and functional prediction during the fermentation of Fen-flavor Baijiu via metagenome combining amplicon sequencing. Annals of Microbiology, 73. [CrossRef]
- Xue, Y.,Tang F.,Cai W.,Zhao X.,Song W.,Zhong J.,Liu Z.,Guo Z., & Shan C. (2021). Bacterial Diversity, Organic Acid, and Flavor Analysis of Dacha and Ercha Fermented Grains of Fen Flavor Baijiu. Front Microbiol, 12, 769290. [CrossRef]
- Yan, Q.,Zhang K.,Zou W., & Hou Y. (2021). Three main flavour types of Chinese Baijiu: characteristics, research, and perspectives. Journal of the Institute of Brewing, 127, 317-326. [CrossRef]
- Yang, L.,Zeng S.,Zhou M.,Li Y.,Jiang Z.,Cheng P., & Zhang C. (2023). Comprehensive genomic and metabolomic analysis revealed the physiological characteristics and pickle like odor compounds metabolic pathways of Bacillus amyloliquefaciens ZZ7 isolated from fermented grains of Maotai-flavor baijiu. Front Microbiol, 14, 1295393. [CrossRef]
- Ye, H.,Wang J.,Shi J.,Du J.,Zhou Y.,Huang M., & Sun B. (2021). Automatic and Intelligent Technologies of Solid-State Fermentation Process of Baijiu Production: Applications, Challenges, and Prospects. Foods, 10. [CrossRef]
- Yi, Z.,Jin Y.,Xiao Y.,Chen L.,Tan L.,Du A.,He K.,Liu D.,Luo H.,Fang Y., & Zhao H. (2019). Unraveling the Contribution of High Temperature Stage to Jiang-Flavor Daqu, a Liquor Starter for Production of Chinese Jiang-Flavor Baijiu, With Special Reference to Metatranscriptomics. Front Microbiol, 10, 472. [CrossRef]
- Yoshimoto, H., & Bogaki T. (2023). Mechanisms of production and control of acetate esters in yeasts. Journal of Bioscience and Bioengineering, 136, 261-269. [CrossRef]
- Zha, M.,Sun B.,Wu Y.,Yin S., & Wang C. (2018). Improving flavor metabolism of Saccharomyces cerevisiae by mixed culture with Wickerhamomyces anomalus for Chinese Baijiu making. Journal of Bioscience and Bioengineering, 126, 189-195. [CrossRef]
- Zhang, S.,Guo F.,Yan W.,Dong W.,Zhou J.,Zhang W.,Xin F., & Jiang M. (2020). Perspectives for the microbial production of ethyl acetate. Applied Microbiology and Biotechnology, 104, 7239-7245. [CrossRef]
- Zhao, J., & Gao Z. (2024). Dynamic changes in microbial communities and flavor during different fermentation stages of proso millet Baijiu, a new product from Shanxi light-flavored Baijiu. Front Microbiol, 15, 1333466. [CrossRef]
- Zheng, Y.,Liang F.,Wu Y.,Ban S.,Huang H.,Xu Y.,Wang X., & Wu Q. (2023). Unraveling multifunction of low-temperature Daqu in simultaneous saccharification and fermentation of Chinese light aroma type liquor. International Journal of Food Microbiology, 397, 110202. [CrossRef]






| Flavor | Threshold $$$(μg/L) | OAV | ||
| XQ1 | XQ2 | XQ3 | ||
| ethyl acetate | 32551.6 | 41.86 | 26.86 | 31.42 |
| ethyl isovalerate | 6.89 | 8.42 | 13.50 | 12.92 |
| ethyl caproate | 55.33 | 31.30 | 30.49 | 31.74 |
| ethyl lactate | 128083.8 | 0.01 | 0.01 | 0.03 |
| butyl caproate | 678 | 0.18 | - | 0.00 |
| ethyl octanoate | 12.87 | 6.08 | 7.91 | 9.35 |
| ethyl nonanoate | 3150.61 | 0.23 | 0.18 | 0.00 |
| hexyl caproate | 1890 | 0.00 | 0.48 | 0.27 |
| ethyl decanoate | 1122.3 | 7.33 | 6.77 | 9.56 |
| hexyl acetate | 550 | 0.02 | 0.03 | 0.01 |
| ethyl butyrate | 81.5 | 0.80 | 0.63 | 0.24 |
| diethyl succinate | 353193.25 | 0.02 | - | 0.01 |
| ethyl benzoate | 1433.6 | 0.02 | - | 0.02 |
| ethyl phenylacetate | 406.83 | - | 0.87 | 0.00 |
| isoamyl acetate | 93.93 | 67.28 | 51.71 | 50.25 |
| ethyl dodecanoate | 25619.99 | 0.07 | 0.06 | 0.09 |
| ethyl linoleate | 0.45 | - | 0.27 | 0.00 |
| ethyl hexadecanoate | 39299.35 | 1.59 | 0.91 | 0.83 |
Disclaimer/Publisher’s Note: The statements, opinions and data contained in all publications are solely those of the individual author(s) and contributor(s) and not of MDPI and/or the editor(s). MDPI and/or the editor(s) disclaim responsibility for any injury to people or property resulting from any ideas, methods, instructions or products referred to in the content. |
© 2024 by the authors. Licensee MDPI, Basel, Switzerland. This article is an open access article distributed under the terms and conditions of the Creative Commons Attribution (CC BY) license (http://creativecommons.org/licenses/by/4.0/).