Submitted:
25 April 2024
Posted:
30 April 2024
You are already at the latest version
Abstract
Keywords:
Introduction
Methodology
Hydraulic Fracturing Overview
Technical Challenges
Environmental Concerns
Optimization Dilemmas
ML/AI for HF Overview
Production-Prediction Models
Multilayer Perceptron (MLP)
Gradient Boosted Decision Tree
Random Forest
Gradient Boosted Machine (BGM)
Support Vector Machine
Fracturing Parameters Optimization
Gradient-Free Optimization Methods
Evolutionary Optimization Techniques
Surrogate-Based Optimization
ML Challenges
Overfitting
Dimensionality Reduction
Feature Importance Analysis
Hyperparameter Search
Uncertainty Quantification
Production Prediction via ML
Optimization
Conclusion
References
- Agbaji, A.L. (2021) ‘An Empirical Analysis of Artificial Intelligence, Big Data and Analytics Applications in Exploration and Production Operations’, in. International Petroleum.
- Technology Conference, p. D101S043R001. [CrossRef]
- Alarifi, S.A. and Miskimins, J. (2021) ‘A New Approach To Estimating Ultimate Recovery for Multistage Hydraulically Fractured Horizontal Wells by Utilizing Completion Parameters Using Machine Learning’, SPE Production & Operations, 36(03), pp. 468–483. [CrossRef]
- Alimkhanov, R. and Samoylova, I. (2014) ‘Application of Data Mining Tools for Analysis and Prediction of Hydraulic Fracturing Efficiency for the BV8 Reservoir of the Povkh Oil Field’, in. SPE Russian Oil and Gas Exploration & Production Technical Conference and Exhibition, 1332; p. SPE-171332-MS. [Google Scholar] [CrossRef]
- Al-Shamma, B. et al. (2014) ‘Evaluation of Multi-Fractured Horizontal Well Performance: Babbage Field Case Study’, in. SPE Hydraulic Fracturing Technology Conference, p. SPE- 168623-MS. [CrossRef]
- Bahaloo, S. , Mehrizadeh, M. and Najafi-Marghmaleki, A. (2023) ‘Review of application of artificial intelligence techniques in petroleum operations’, Petroleum Research, 8(2), pp.
- 167–182. [CrossRef]
- Bergstra, J. and Bengio, Y. (2012) ‘Random search for hyper-parameter optimization.
- Journal of machine learning research, 13(2).
- bp (2022) bp Statistical Review of World Energy.
- Chen, J. et al. (2021) ‘Automatic fracture optimization for shale gas reservoirs based on gradient descent method and reservoir simulation’, Advances in Geo-Energy Research, 5(2),.
- pp. 191–201.
- Chishti, M.Z. et al. (2023) ‘Exploring the dynamic connectedness among energy transition and its drivers: Understanding the moderating role of global geopolitical risk’. Energy.
- Economics, 119. p. 106570. [CrossRef]
- Cook, T. , Perrin, J. and Wagener, D.V. (2018) ‘Hydraulically fractured horizontal wells account for most new oil and natural gas wells’. Available at: https://www.eia.gov/todayinenergy/detail.php?id=34732 (Accessed: 9 October 2023).
- Deb, K. et al. (2000) ‘A Fast Elitist Non-dominated Sorting Genetic Algorithm for Multi- objective Optimization: NSGA-II’, in M. Schoenauer et al. (eds) Parallel Problem Solving from Nature PPSN VI. Berlin, Heidelberg: Springer Berlin Heidelberg, pp. 849–858.
- Detournay, E. (2016) ‘Mechanics of Hydraulic Fractures’, Annual Review of Fluid Mechanics, 48(1), pp. 311–339. [CrossRef]
- Dong, Z. et al. (2022) ‘Optimization of Fracturing Parameters with Machine-Learning and Evolutionary Algorithm Methods’, Energies, 15(16). [CrossRef]
- Duplyakov, V.M. et al. (2022) ‘Data-driven model for hydraulic fracturing design optimization. Part II: Inverse problem. Journal of Petroleum Science and Engineering, 208.
- p. 109303. [CrossRef]
- Forrester, A. , Sobester, A. and Keane, A. (2008) Engineering design via surrogate modelling: a practical guide. John Wiley & Sons.
- Gamal, H. et al. (2021) ‘Rock Strength Prediction in Real-Time While Drilling Employing Random Forest and Functional Network Techniques. Journal of Energy Resources.
- Technology, 143(093004). [CrossRef]
- Han, D. , Jung, J. and Kwon, S. (2020) ‘Comparative Study on Supervised Learning Models for Productivity Forecasting of Shale Reservoirs Based on a Data-Driven Approach’, Applied Sciences, 10(4). [CrossRef]
- Hastie, T. et al. (2009) The elements of statistical learning: data mining, inference, and prediction. Springer.
- Haykin, S. (2009) Neural networks and learning machines, 3/E. Pearson Education India.
- He, Y. et al. (2017) ‘Successful Application of Well Testing and Electrical Resistance Tomography to Determine Production Contribution of Individual Fracture and Water- Breakthrough Locations of Multifractured Horizontal Well in Changqing Oil Field, China’, in. SPE Annual Technical Conference and Exhibition, p. D011S008R004. [CrossRef]
- Hui, G. et al. (2021) ‘Machine learning-based production forecast for shale gas in unconventional reservoirs via integration of geological and operational factors’, Journal of Natural Gas Science and Engineering, 94, p. 104045. [CrossRef]
- Ibrahim, A.F. , Alarifi, S.A. and Elkatatny, S. (2022) ‘Application of Machine Learning to Predict Estimated Ultimate Recovery for Multistage Hydraulically Fractured Wells in Niobrara Shale Formation’, Computational Intelligence and Neuroscience. Edited by Z.M. Yaseen, 2022, p. 7084514. [CrossRef]
- Jackson, R.B. et al. (2013) ‘Increased stray gas abundance in a subset of drinking water wells near Marcellus shale gas extraction’, Proceedings of the National Academy of Sciences, 110(28). 11250–11255. [CrossRef]
- Jolliffe, I. (2005) ‘Principal component analysis: Wiley online library’, Google Scholar.
- [Preprint].
- Jones, D.R. , Schonlau, M. and Welch, W.J. (1998) ‘Efficient Global Optimization of Expensive Black-Box Functions’, Journal of Global Optimization, 13(4), pp. 455–492. [CrossRef]
- LEI, Q. et al. (2022) ‘Progress and prospects of horizontal well fracturing technology for shale oil and gas reservoirs’, Petroleum Exploration and Development, 49(1), pp. 191–199. [CrossRef]
- Lu, C., Jiang, H., Qu, S., et al. ‘Hydraulic fracturing design for shale oils based on sweet spot mapping: A case study of the Jimusar formation in China’. Journal of Petroleum Science and Engineering 2022, 214, 110568. [CrossRef]
- Lu, C., Jiang, H., Yang, J., et al. Shale oil production prediction and fracturing optimization based on machine learning. Journal of Petroleum Science and Engineering 2022, 217, 110900. [CrossRef]
- Lundberg, S.M. , Erion, G.G. and Lee, S.-I. (2018) ‘Consistent individualized feature attribution for tree ensembles’. arXiv preprint arXiv:1802.03888, arXiv:1802.03888 [Preprint].
- Makhotin, I. , Koroteev, D. and Burnaev, E. Gradient boosting to boost the efficiency of hydraulic fracturing. Journal of Petroleum Exploration and Production Technology, 2019; 9. [Google Scholar]
- pp. 1919–1925. [CrossRef]
- Morozov, A.D. et al. (2020) ‘Data-driven model for hydraulic fracturing design optimization: focus on building digital database and production forecast’, Journal of Petroleum Science and Engineering, 194. p. 107504. [CrossRef]
- Muther, T. et al. Socio-Inspired Multi-Cohort Intelligence and Teaching-Learning- Based Optimization for Hydraulic Fracturing Parameters Design in Tight Formations. 2021. [Google Scholar]
- Journal of Energy Resources Technology, 144(073201). [CrossRef]
- Niu, W. , Lu, J. and Sun, Y. (2022) ‘Development of shale gas production prediction models based on machine learning using early data’, Energy Reports, 8, pp. 1229–1237. [CrossRef]
- Osborn, S.G. et al. Methane contamination of drinking water accompanying gas-well drilling and hydraulic fracturing. Proceedings of the National Academy of Sciences, 2011; 108. [Google Scholar]
- pp. 8172–8176. [CrossRef]
- Razzaq, A. et al. (2023) ‘Dynamic and threshold effects of energy transition and environmental governance on green growth in COP26 framework’. Renewable and Sustainable Energy Reviews 2023, 179, 113296. [Google Scholar] [CrossRef]
- Schuetter, J. et al. (2018) ‘A Data-Analytics Tutorial: Building Predictive Models for Oil Production in an Unconventional Shale Reservoir’, SPE Journal, 23(04), pp. 1075–1089. [CrossRef]
- Spellman, F.R. (2012) Environmental impacts of hydraulic fracturing. CRC Press.
- Sprunger, C. et al. (2022) ‘State of the art progress in hydraulic fracture modeling using AI/ML techniques’, Modeling Earth Systems and Environment, 8(1), pp. 1–13. [CrossRef]
- Sun, Z. et al. (2020) ‘A Data-Driven Approach for Lithology Identification Based on Parameter-Optimized Ensemble Learning’, Energies, 13(15). [CrossRef]
- Syed, F.I. et al. (2022) ‘Smart shale gas production performance analysis using machine learning applications’, Petroleum Research, 7(1), pp. 21–31. [CrossRef]
- Temizel, C. . et al. (2015) ‘Efficient Use of Data Analytics in Optimization of Hydraulic Fracturing in Unconventional Reservoirs’, in. Abu Dhabi International Petroleum Exhibition and Conference, p. D021S023R006. [CrossRef]
- Vishkai, M. and Gates, I. (2019) On multistage hydraulic fracturing in tight gas reservoirs: Montney Formation, Alberta, Canada. Journal of Petroleum Science and Engineering, 174.
- pp. 1127–1141. [CrossRef]
- Wang, S. et al. ‘A framework for predicting the production performance of unconventional resources using deep learning’. Applied Energy 2021, 295, 117016. [Google Scholar] [CrossRef]
- Wang, S. and Chen, S. Insights to fracture stimulation design in unconventional reservoirs based on machine learning modeling. Journal of Petroleum Science and, 2019. [Google Scholar]
- Engineering, 174, 682–695. [CrossRef]
- Xiao, C. et al. (2022) ‘Surrogate-assisted hydraulic fracture optimization workflow with applications for shale gas reservoir development: a comparative study of machine learning models’, Natural Gas Industry B, 9(3), pp. 219–231. [CrossRef]
- Xue, L. et al. (2021) ‘A data-driven shale gas production forecasting method based on the multi-objective random forest regression’, Journal of Petroleum Science and Engineering, 196, p. 107801. [CrossRef]
- Yao, J. et al. (2021) ‘Optimization of Fracturing Parameters by Modified Variable-Length Particle-Swarm Optimization in Shale-Gas Reservoir’, SPE Journal, 26(02), pp. 1032–1049. [CrossRef]
- Zhang, H. and Sheng, J. (2020) Optimization of horizontal well fracturing in shale gas reservoir based on stimulated reservoir volume. Journal of Petroleum Science and.
- Engineering, 190, p. 107059. [CrossRef]
- Zhao, Y. et al. (2019) ‘Three-dimensional representation of discrete fracture matrix model for fractured reservoirs’, Journal of Petroleum Science and Engineering, 180, pp. 886–900.
- . [CrossRef]
- Zheng, Y. et al. (2020) ‘A new fracturing technology of intensive stage + high-intensity proppant injection for shale gas reservoirs’, Natural Gas Industry B, 7(3), pp. 292–297. [CrossRef]
- et al. Zhiwei Wang et al. (2023) ‘Research on the development trend of shale fracturing technology and its impact on the environment’, in. Proc.SPIE, p. 1255237. [CrossRef]
- Zhou, J. et al. (2023) ‘Hierarchical Surrogate-Assisted Evolutionary Algorithm for Integrated Multi-Objective Optimization of Well Placement and Hydraulic Fracture Parameters in Unconventional Shale Gas Reservoir’, Energies, 16(1). [CrossRef]














| Parameter | Unit | Range |
|---|---|---|
| Ratio of type 1, type II or type III GSS | - | 0 – 1 |
| Ratio of type I, type II, or type III ESS | - | 0 – 1 |
| Horizontal well length | m | 1000 – 3500 |
| Stage number | - | 9 – 45 |
| Cluster number per stage | - | 1 - 9 |
| Fluid volume | m3 | 10,000 – 70,000 |
| Proppant volume | m3 | 700 – 5,000 |
| Pump rate | m3/min | 4 – 15 |
| Production time | Data set | Evaluation matrices | ||
|---|---|---|---|---|
| Average MAE | Average MSE | Average R2 | ||
| 1 year | Training set | 0.26 | 0.14 | 0.90 |
| Validation set | 0.35 | 0.21 | 0.85 | |
| Testing set | 0.83 | 0.65 | 0.80 | |
| 5 years | Training set | 0.48 | 0.33 | 0.92 |
| Validation set | 0.63 | 0.41 | 0.87 | |
| Testing set | 0.74 | 0.45 | 0.84 |
| Evaluation model | Data set | Evaluation matrices | ||
|---|---|---|---|---|
| Average MAE | Average MSE | Average R2 | ||
| DNN | Training set | 0.48 | 0.33 | 0.90 |
| Validation set | 0.63 | 0.41 | 0.85 | |
| Testing set | 0.74 | 0.45 | 0.80 | |
| RF | Training set | 0.68 | 0.54 | 0.87 |
| Validation set | 0.94 | 0.82 | 0.83 | |
| Testing set | 1.17 | 1.95 | 0.75 | |
| SVM | Training set | 0.69 | 0.57 | 0.85 |
| Validation set | 0.87 | 0.81 | 0.80 | |
| Testing set | 1.68 | 2.31 | 0.72 |
| Parameter | Optimum option | |
| Qi model | EUR model | |
| ANN model | ||
| No of hidden layers | Single hidden layer | Single hidden layer |
| Number of neurons in each layer | 8 | 8 |
| Training/testing split ratio | 70%/30% | 70%/30% |
| Training algorithms | Trainbr | Trainbr |
| Transfer function | Logsig | Logsig |
| Learning rate | 0.05 | 0.05 |
| RF | ||
| Maximum features | Sqrt | Auto |
| Maximum depth | 20 | 30 |
| Number of estimators | 150 | 100 |
| Feature | Importance | Feature | Importance | Feature | Importance |
|---|---|---|---|---|---|
| FBR30 | 0.104806 | FBR60 | 0.096971 | FBR90 | 0.092448 |
| FBR180 | 0.096902 | CGP30 | 0.108577 | CGP60 | 0.100072 |
| CGP90 | 0.095441 | CGP180 | 0.093610 | CGP365 | 0.102260 |
| TP | 0.108912 |
| Data set/criterion | RF | KNN | SVM | GBDT |
|---|---|---|---|---|
| Training set, R2 | 0.7756 | 0.7983 | 0.8124 | 0.7865 |
| Test set, MAPE | 17.08% | 15.61% | 13.41% | 19.14% |
| S/ N | Data Source | Input | Target | ML algorithm |
Hyperparameters | Split Train/ CV/ Test | Test R2 Or MAPE | Notes | Citation | |||||||||||||
|---|---|---|---|---|---|---|---|---|---|---|---|---|---|---|---|---|---|---|---|---|---|---|
| 1 | 20 oilfields (~6000 wells) in Western Siberia, Russia | 92 input variables, including reservoir geometry, fracturing parameters, and production data. | EUR | CatBoost | Depth = 7 L2 leaf reg = 0.6 LR = 0.02 Od type = ‘iter’ Od wait = 5 |
70/0/30 | 0.815 | OVAT analysis was performed to determine the ranking and correlation between features. Recursive feature elimination was used to reduce the initial 50 parameters to 35. |
(Morozov et al., 2020) |
|||||||||||||
| 2 | 841 numerical simulation data for training 97 field data oilfields in Jimusar sag and Xinjiang, China for Testing. |
Well data, Formation data, Completion data, Reservoir sweet spot mapping. |
EUR after 1 year EUR after 5 years |
DNN RF SVM |
LR = 0.003 Sigma = ReLu Hidden layers = 3 Neuron in each layer = 150 |
80/0/20 |
One year EUR 0.8 (DNN) 0.75 (RF) 0.72 (SVM) 5 years EUR 0.84 (DNN) |
The computational framework proposed by this study has better computational cost compared with traditional simulation. | (Lu, Jiang, Yang, et al., 2022) | |||||||||||||
| 3 | 200 well production data and completion | Stage count, Horizontal length, TVD, | Qi (BOE/mont h) | ANN RF |
See Table 4 | 70/0/30 |
RF 0.95 (Qi) 0.93 (EUR) |
Incorporating Qi as input for EUR estimation significantly | (Ibrahim, Alarifi and Elkatatny, 2022) | |||||||||||||
| design from Niobrara shale formation, North America. | Max treatment pressure, Total proppant volume, Total fluid volume |
EUR (BOE) |
ANN 0.96 (Qi) 0.99 (EUR) |
improved performance. For example, for RF, R2 was 0.79 without Qi vs. 0.93 with Qi. |
||||||||||||||||||
| 4 | 161 fractured wells data collected from Chang-Nig and Wei-Tuan blocks in China shale gas development zones | Geological and engineering parameters Flowback rate (FBR) Cumulative Gas Production (CGP) |
EUR (m3) | RF KNN SVM GBDT |
Not available (N/A) | 70/0/30 |
MAPE 17.08% (RF) 15.61% (KNN) 13.41% (SVM) 19.14% (GBDT) |
The gini index was used to find the 10 most important input factors. As a linear classifier, SMV performs best because of the linear relationship between early production data and EUR. | (Niu, Lu and Sun, 2022) | |||||||||||||
| 5 | 573 horizontal wells from Duvernay Formation of Fox Creek, Alberta | 13 geological (E.g., Duvernay thickness, porosity, gas saturation) and operational (total injection, total proppant, stage number, well TVD) factors. | 12-month shale gas production | Linear regression (LR) Neural Network (NN) GBDT Extra Trees (ET) |
N/A | 80/0/20 | 0.729 (NN) 0.809 (ET) 0.794 (GBDT) 0.653 (LR) |
ET gives the best prediction with just 9 features, which is the lowest number of features of all algorithms studied. | (Hui et al., 2021) | |||||||||||||
| 6 | 2000 samples were generated via numerical simulation. |
Geological (formation thickness, matrix permeability, initial pressure, matrix porosity) and engineering (SRV porosity, SRV permeability, HFs conductivity, HFs half-length, stage number of HFs) factors |
Shale gas production | Multi- objective random forest (MORF) Multi- objective regression chain (MORC) |
MORF (without initial production) No of trees = 190 No of features = 9 Max depth = 18 MORF (with initial production) No of trees = 190 No of features = 10 Max depth = 18 MORC (with initial production) No of trees = 110 No of features = 10 Max depth = 13 |
70/0/30 | 0.9229 (MORF w/o initial prod)) 0.9467 (MORF with initial prod) 0.9356 (MORC with initial prod) |
Given initial production data, MORF is superior to MORC because, at the intermediate production stage, the transition from highly declining to stable production is non- linear. This indicates that MORC may be less suited for dealing with non- linear changes. | (Xue et al., 2021) | |||||||||||||
| 7 | 815 viable simulation cases. Numerical model built from geological and fluid parameters from Bakken Shale Oil, North America. |
Thickness, matrix permeability, natural fracture permeability, BHP, horizontal well length, number of hydraulic fractures, stage spacing, fracture half-length, fracture aperture, | Daily production (DP) for 10 years. Cumulative production (CP) for the first 10 years |
Deep belief network (DBN) Back propagation NN Support vector regression (SVR) |
DBN Sigma = ReLu Group out = 0 Hidden layers = 2 Hidden neurons = 155 (for DP); 185 (for CP) DBN LR = 0.02 RBM LR = 0.02 (for DP); 0.08 (for CP) Iteration = 260 (for DP); 350 (for CP) Batch size = 7 |
80/0/20 |
DBN 0.9062 (DP) 0.9379 (CP) BP 0.8287 (DP) 0.9049 (CP) SVR 0.8490 (DP) 0.8561 (CP) |
DBN is superior to BP and SVR. When the hyperparameters are well-tuned, DBN is great for scenarios where the production trend is anomalous to a typical shale well. | (Wang et al., 2021) | |||||||||||||
| fracture conductivity, fracturing fluid injection, Soaking time | Epoch of RBM = 16 (for DP); 28 (for CP) | |||||||||||||||||||||
| 8 | 2919 wells, including 2780 multi-stage hydraulic fractured horizontal wells and 139 vertical wells in the Bakken Formation |
18 parameters consisting of well, formation fractures, fracturing fluid, and proppant data. | 6-month oil production 18-month oil production |
DNN | Dropout layer = no Activation function = ReLu Network model config = uniform model LR = 0.005 Layer no = 3 Neurons for each hidden layer = 200 |
81/9/10 | 0.71 (6- month) 0.72 (18- month) |
Given the wide discrepancy between train and test R2 (0.87 vs. 0.71 and 0.94 vs. 0.72) for 6- and 18-month post- production prediction, it suggests the model might be overfitted. |
(Wang and Chen, 2019) | |||||||||||||
| 9 | 989 multistage hydraulically fractured horizontal wells from four formations - Niobrara, Barnett, Eagle Ford, and Bakken | Completion parameters Normalised completion parameters Production parameters ( 3 months and 2 years of production data) |
EUR | ANN | N/A | 70/0/30 | The result is formatted as: Formation (2 years R2 / 3 months R2) Niobrara (0.996/0.904) Barnett (0.972/0.769) Eagle Ford |
With just 3 months of production data, EUR estimation has an R2 between 0.72 and 0.9 for all formations. This increases to > 0.97 after 2 years data is available. Since decline curve analysis (DCA) only provides an |
(Alarifi and Miskimins, 2021) | |||||||||||||
| (0.978/0.819) Bakken (0.984/0.716) |
accurate estimate after 3 years of production data, ANN can better estimate EUR in the early life of a production well. | |||||||||||||||||||||
| 10 | 129 horizontal wells in the gas Eagle Ford Shale. | 18 geological and fracturing parameters. Some include proppant volume, tubing head pressure, gas gravity, measured depth, TVD, gas oil ratio, etc |
Cumulative gas production (36 months) | RF Gradient Boosting Machine (GBM) SVM |
RF Mtry = 5 Ntree = 300 GBM Mtry = 5 Ntree = 20 SVM Penalty function = 600 Kernel parameter (RBF) = 20 |
80/0/20 | 0.69 - RF (VIM %IncMSE) 0.73 - RF (VIM IncNodePurity) 0.69 - GBM (VIM IncNodePurity) 0.63 - SVM (Kernel function) |
After clustering analysis on the dataset, there was an improvement in prediction. RF R2 was 0.4 for all datasets, and after clustering, that increased to 0.74 for cluster 1 and 0.88 for cluster 2. |
(Han, Jung and Kwon, 2020) | |||||||||||||
| Parameter | Minimum value | Maximum value | Distribution type | Symbol |
|---|---|---|---|---|
| X grid, ft | 75 | 125 | Uniform | DI |
| Y grid, ft | 30 | 80 | Uniform | DJ |
| Z grid, ft | 1 | 5 | Uniform | DK |
| Matrix permeability, mD | 0.0001 | 1 | lognormal | PERM |
| Porosity | 0.05 | 0.15 | Uniform | POR |
| Horizontal well length, ft | 1800 | 6000 | Triangle | WellLength |
| Bubble-point pressure, psi | 400 | 6000 | Uniform | PB |
| Initial pressure, psi | 2000 | 6000 | Uniform | INIT_PRES |
| Monitored oil rate, bbl/day | 1.5 | 2.5 | Triangle | MONITOR_STO |
| Operating BHP, psi | 200 | 3000 | Uniform | OPERATE_BHP |
| Average fracture length/ reservoir width | 0.4 | 1 | Uniform | FL/W |
| Fracture spacing, ft | 75 | 500 | Uniform | FS |
| Effective fracture permeability, mD | 1 | 100 | Uniform | FS |
| Average fracture height/ reservoir height | 0.4 | 1 | normal | FH/H |
| Evolutionary Algorithm | Hyperparameters |
|---|---|
| GA | size_pop = 26; max_iter = 50; prob_mut = 0.001 |
| DE | size_pop = 26; max_iter = 50 |
| SA | max_stay_counter = 150 |
| PSO | size_pop = 26; max_iter = 50; w = 0.8, c1 = 0.5, c2 = 0.5 |
| Hybrid Model | MLP-GA | MLP-DE | MLP-SA | MLP-PSO |
|---|---|---|---|---|
| Fracture length/reservoir width | 0.98 | 0.98 | 0.97 | 0.99 |
| Fracture spacing, ft | 290 | 296 | 281 | 275 |
| Fracture permeability, mD | 88 | 75 | 94 | 89 |
| Fracture height/ reservoir height | 0.87 | 0.78 | 0.89 | 0.94 |
| No of iterations to stability | 11 | 38 | 48 | 9 |
| Maximum NPV, millions USD | 36.73 | 37.22 | 37.20 | 37.26 |
| Parameter | Initial value | Optimal value |
|---|---|---|
| Horizontal well length, m | 147 | - |
| Ratio of GSS | 0.42, 0.22, 0.36 | - |
| Ratio of ESS | 0.34, 0.53, 0.13 | - |
| Number of stages | 26 | 28 |
| Number of clusters | 88 | 112 |
| Fluid volume, m3 | 47,376 | 55,388 |
| Proppant volume, m3 | 2422 | 2978 |
| Cumulative oil production, m3 | 29,694 | 32,663 |
| NPV, 104 USD | 145 | 213 |
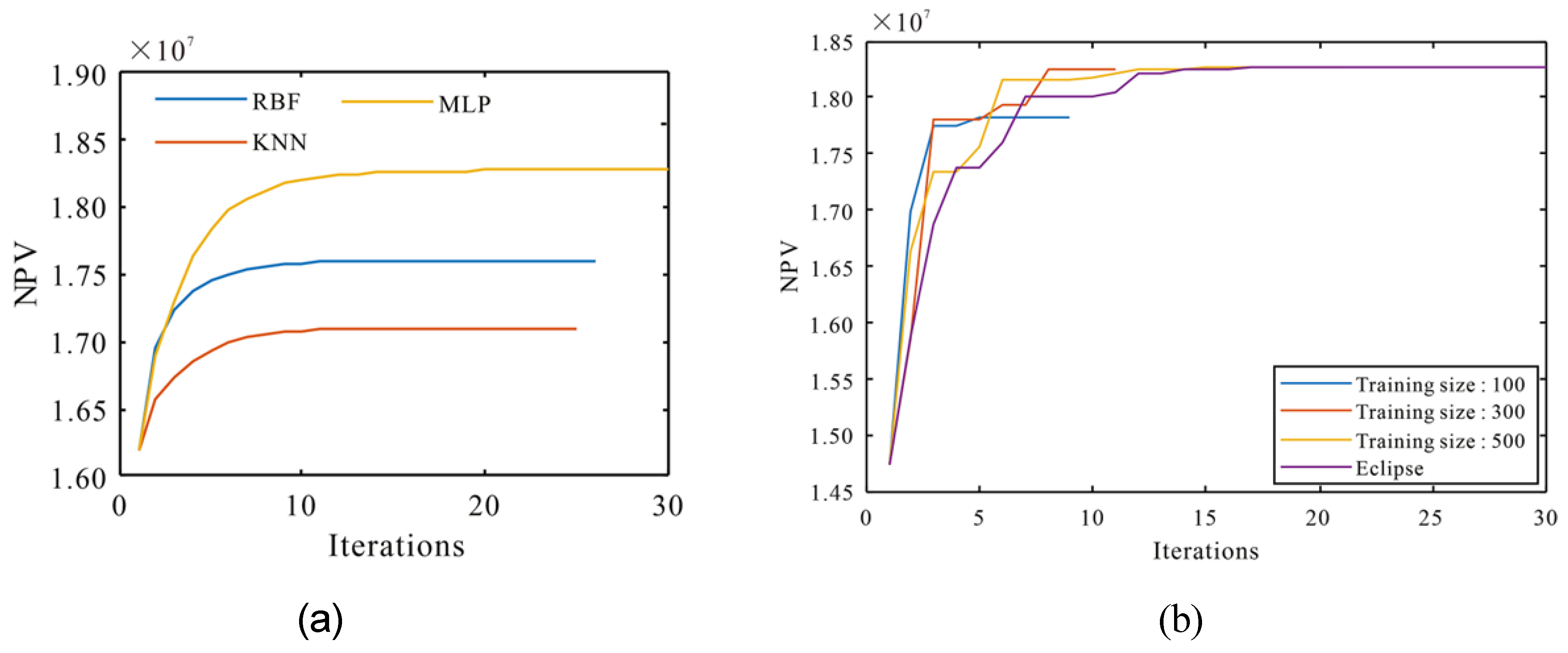
| Model | Training size | NPV, yuan, 107 |
Simulation number | Fracture conductivity D-cm | Fracture halflength | Fracture spacing, m | Fracture number |
|---|---|---|---|---|---|---|---|
| Eclipse | - | 1.832 | 1500 | 42.28 | 46.8 | 17.9 | 46 |
| RBF | 500 | 1.761 | 500 | 38.42 | 41.2 | 19.6 | 42 |
| KNN | 500 | 1.710 | 500 | 45.24 | 42.3 | 18.7 | 44 |
| MLP | 100 | 1.762 | 100 | 31.41 | 41.5 | 19.2 | 43 |
| 300 | 1.821 | 300 | 40.25 | 46.1 | 17.9 | 46 | |
| 500 | 1.829 | 500 | 41.32 | 46.5 | 17.9 | 46 |
Disclaimer/Publisher’s Note: The statements, opinions and data contained in all publications are solely those of the individual author(s) and contributor(s) and not of MDPI and/or the editor(s). MDPI and/or the editor(s) disclaim responsibility for any injury to people or property resulting from any ideas, methods, instructions or products referred to in the content. |
© 2024 by the authors. Licensee MDPI, Basel, Switzerland. This article is an open access article distributed under the terms and conditions of the Creative Commons Attribution (CC BY) license (http://creativecommons.org/licenses/by/4.0/).