Submitted:
24 April 2024
Posted:
24 April 2024
You are already at the latest version
Abstract
Keywords:
1. Introduction
2. Materials and Methods
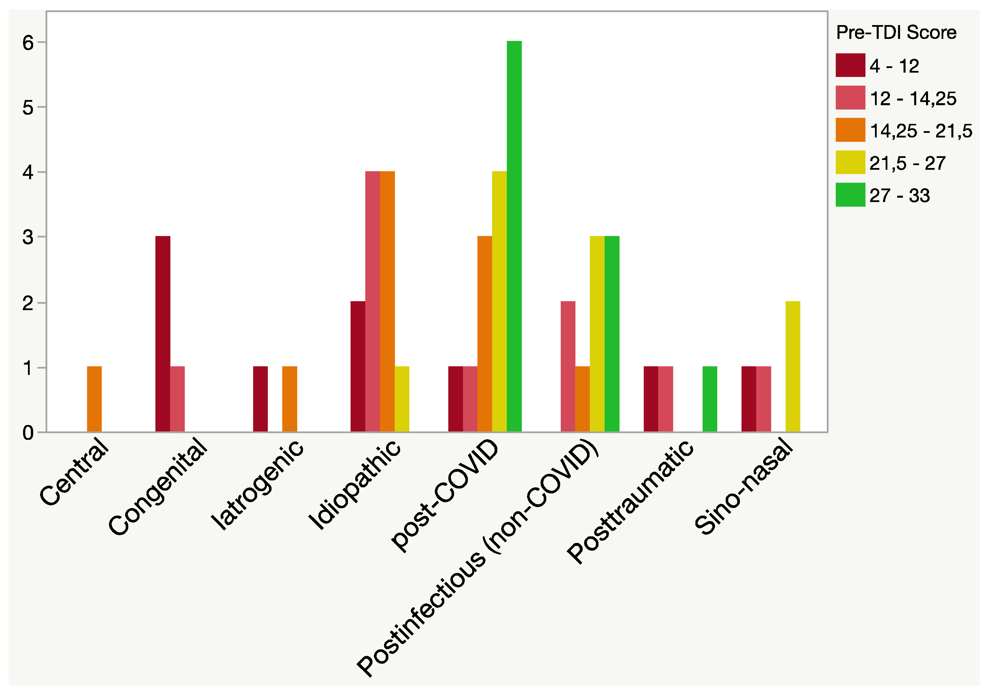
2.1. Participants
2.2. Testing of Olfactory Function and Questionnaires
2.3. Preparation and Modification of Recipes
2.4. Cooking School Contents and Structure
2.5. Statistics
3. Results
3.1. Food-Related QoL
| Before cooking school | End of cooking school | 3 months after of cooking school | Δ | p-value | |
|---|---|---|---|---|---|
| Age (Mean, IQR, range) |
57 (IQR 50-67; range 20-79) |
- | - | ||
| Gender (female n (%)) |
37 (75%) | - | - | ||
| Duration of smell loss (Mean, IQR, range) |
88 months (IQR 22-69; range 9-700) |
||||
| Food-related QoL (n=48) (range 0-100) | 58.2 | 68.7 |
66.6 |
10.5 8.4 |
0.0120 0.0269 |
3.2. Recipes
3.3. Cooking Problems and Habits
3.4. Satisfaction with the Cooking School and Parosmia

4. Discussion
4.1. Flavour Enhancement in Patients with Olfactory Deficits
4.2. Parosmia
4.3. Gustatory Impairment in Patients with Olfactory Dysfunction
4.4. Cooking Schools for Other Groups with Olfactory Deficits
4.5. Limitations
5. Conclusions
Supplementary Materials
Author Contributions
Funding
Data Availability Statement
Acknowledgments
Conflicts of Interest
Appendix A
| Session | Contents |
|---|---|
|
Session 1 (-1 day) |
|
| Session 1 | - Introduction to the cooking school, smell loss and current knowledge on cooking with smell loss (researcher and ENT physician)- Introduction to the concept of the cooking school, including 5T’s, taste kit and texture bank (chef)- ‘Sensory Circus’ with tasting samples and description of all senses involved in the perception of food (chef)- Meal prepared by chefs and social dining- Availability of ENT physician if participants have questions regarding smell loss and treatment- Box with printed cookbook 24, taste kit, and texture bank to take home |
| Session 2-3 |
|
| Session 4 |
|
| Session 5 |
|
|
Session 5 (+0 days) |
|
|
Session 5 (+90 days) |
|
| Pedagogical goals | Applied methods |
|---|---|
|
|
|
|
|
|
|
|
|
|
|
|
Appendix B
| Normosmic reference (n=166) | Start of cooking school (n=48) | End of Cooking school (n=47) | Δ | p-value* | |
|---|---|---|---|---|---|
| Want to get through cooking asap. (FSE14 (neg)) | 2.58 (2.28;2.88) | 3.33 (2.82;3.85) | 3.17 (2.67;3.67) | -0.16 | 0.3305 |
| Cooking is a fulfilling activity (FSE11) | 5.70 (5.42;5.98) | 5.02 (4.48;5.56) | 5.48 (5.06;5.89) | 0.46 | 0.0245 |
| Comfortable preparing food (ISCO1) | 6.21 (5.95;6.47) | 5.58 (5.12;6.05) | 5.69 (5.34;6.04) | 0.11 | 0.5924 |
| Inspired to cook for other people (STR2) | 5.67 (5.39;5.96) | 5.34 (4.84;5.84) | 5.53 (5.11;5.96) | 0.19 | 0.1725 |
| Easy to accomplish desired results during cooking (FSE7) | 5.67 (5.42;5.93) | 4.75 (4.29;5.21) | 4.85 (4.48;5.22) | 0.10 | 0.4784 |
| Cooking is a waste of effort (ISCU4 (neg)) | 1.89 (1.64;2.15) | 2.15 (2.54;3.05) | 1.77 (1.46;2.01) | -0.38 | 0.0626 |
| Will not make a new dish again after unsuccessful first attempt (FSE16 (neg)) | 3.43 (3.16;3.71) | 4.08 (3.58;4.59) | 3.83 (3.25;4.41) | -0.25 | 0.2784 |
| Cooking brings little enjoyment (FSE15 (neg)) | 3.31 (3.02;3.61) | 4.60 (4.14;5.07) | 4.53 (4.10;4.96) | -0.07 | 0.7644 |
| Confidence in ability to deal with unexpected results during cooking (FSE6) | 5.38 (5.11;5.64) | 4.73 (4.18;5.28) | 5.13 (4.73;5.52) | 0.40 | 0.1896 |
| Ability to decide what to eat (FSE3) | 4.99 (4.70;5.28) | 4.85 (4.35;5.36) | 4.63 (4.16;5.09) | -0.22 | 0.5771 |
| Cooking for others is a burden (STR3 (neg)) | 2.57 (2.28;2.85) | 2.71 (2.17;3.24) | 2.52 (2.08;2.96) | -0.19 | 0.2713 |
| Coping with problems during cooking (FSE8) | 5.67 (5.43;5.92) | 5.06 (4.58;5.55) | 5.15 (4.76;5.54) | 0.09 | 0.6248 |
| Prefer to spend time om more important things than food (HO5 (neg)) | 3.20 (2.92;3.47) | 3.60 (3.11;4.09) | 3.15 (2.71;3.58) | -0.55 | 0.0371 |
| Limited by lack of cooking knowledge (FSE2 (neg)) | 2.36 (2.07;2.65) | 2.73 (2.22;3.24) | 3.13 (2.62;3.63) | 0.40 | 0.1714 |
| Involvement in daily meal preparations (ISMP2) | 6.15 (5.88;6.42) | 5.94 (5.45;6.42) | 6.27 (5.90;6.64) | 0.33 | 0.0250 |
| Prefer to cook rather than having food prepared (ISCO3) | 4.31 (4.01;4.61) | 3.49 (2.96;4.02) | 4.23 (3.76;4.70) | 0.74 | 0.0074 |
| Confidence in creating meals from ingredients on hand (ISMP5) | 6.04 (5.81;6.28) | 5.64 (5.18;6.10) | 6.02 (5.75;6.29) | 0.38 | 0.0867 |
| Confidence in choosing between similar products (ISSH4) | 5.93 (5.71;6.16) | 5.50 (5.09;5.91) | 5.96 (5.73;6.18) | 0.46 | 0.0166 |
| Reflection on what to cook and eat (HO4) | 5.14 (4.88;5.41) | 4.60 (4.19;5.00) | 4.96 (4.60;5.32) | 0.36 | 0.0711 |
| Knowledge of usage of ingredients during purchasing (ISMP3) | 6.17 (5.97;6.38) | 5.89 (5.50;6.29) | 5.98 (5.71;6.24) | 0.11 | 0.5062 |
| Difficult finding time to prepare preferred food (STR4 (neg)) | 3.63 (3.35;3.90) | 2.94 (2.39;3.48) | 3.09 (2.56;3.61) | 0.15 | 0.2196 |
| Knowledge on where to find needed ingredients (ISSH5) | 6.34 (6.15;6.53) | 6.10 (5.75;6.46) | 6.23 (5.95;6.51) | 0.13 | 0.2424 |
| No time to prepare meals due to family responsibilities (STR8 (neg)) | 2.62 (2.36;2.88) | 2.40 (1.92;2.87) | 2.33 (1.86;2.75) | -0.07 | 0.8165 |
| No time to prepare meals due to job responsibilities (STR10 (neg)) | 3.31 (3.00;3.62) | 2.35 (1.82;2.89) | 2.23 (1.78;2.68) | -0.12 | 0.5418 |
| Knowledge of kitchen equipment usage (ISCO5) | 6.37 (6.19;6.56) | 6.15 (5.76;6.54) | 6.31 (6.06;6.56) | 0.16 | 0.3375 |
| Mental plan of steps before cooking (ISMP7) | 5.82 (5.59;6.05) | 5.71 (5.31;6.11) | 5.92 (5.58;6.25) | 0.21 | 0.3021 |
| No time to prepare meals due to social responsibilities (STR9 (neg)) | 2.43 (2.19;2.66) | 2.17 (1.71;2.63) | 2.11 (1.73;2.48) | -0.06 | 0.8167 |
| Wish for more time to plan meals (ISMP1 (neg)) | 3.98 (3.73;4.24) | 3.48 (2.94;4.01) | 3.48 (2.94;4.01 | 0.00 | 0.9070 |
References
- Gerkin RC, Ohla K, Veldhuizen MG, et al. Recent smell loss is the best predictor of COVID-19 among individuals with recent respiratory symptoms. Chemical Senses. 2020;46. [CrossRef]
- Brämerson A, Johansson L, Ek L, Nordin S, Bende M. Prevalence of olfactory dysfunction: The Skövde population-based study. The Laryngoscope. 2004;114(4):733-737. [CrossRef]
- Vennemann MM, Berger K. The association between smoking and smell and taste impairment in the general population. Journal of Neurology. 2008;255(8):1121-1126. [CrossRef]
- Addison AB, Wong B, Ahmed T, et al. Clinical Olfactory Working Group consensus statement on the treatment of postinfectious olfactory dysfunction. J Allergy Clin Immun. 2021;147(5):1704-1719. [CrossRef]
- Croy I, Nordin S. Olfactory Disorders and Quality of Life--An Updated Review. Chemical Senses. 2014;39(3):185-194. [CrossRef]
- Fjaeldstad AW, Ovesen T, Stankevice D, Ovesen T. Olfactory training in long COVID-19 patients with lasting symptoms including olfactory dysfunction. Dan Méd J. 2023;70(3).
- Philpott CM, Boak D. The Impact of Olfactory Disorders in the United Kingdom. Chemical Senses. 2014;39(8):711-718. [CrossRef]
- Temmel AFP, Quint C, Schickinger-Fischer B, Klimek L, Stoller E, Hummel T. Characteristics of Olfactory Disorders in Relation to Major Causes of Olfactory Loss. Arch OtolaryngolHead Neck Surg. 2002;128(6):635-641. [CrossRef]
- Spence C. Just how much of what we taste derives from the sense of smell? Flavour. 2015;4(1):30. [CrossRef]
- Piqueras-Fiszman B, Fjaeldstad A, Spence C, Hartevelt TJV, Kringelbach ML. Pleasure of food in the brain. In: Multisensory Flavor Perception. ; 2016:211-234. [CrossRef]
- Spence C. Multisensory Flavor Perception. Cell. 2015;161(1):24-35. [CrossRef]
- Migneault-Bouchard C, Hsieh JW, Hugentobler M, Frasnelli J, Landis BN. Chemosensory decrease in different forms of olfactory dysfunction. Journal of Neurology. 2019;267(1):138-143. [CrossRef]
- Fjaeldstad AW, Smith B. The Effects of Olfactory Loss and Parosmia on Food and Cooking Habits, Sensory Awareness, and Quality of Life—A Possible Avenue for Regaining Enjoyment of Food. Foods. 2022;11(12):1686. [CrossRef]
- Fjaeldstad AW, Stankovic J, Onat M, Stankevice D, Ovesen T. Patients and experiences from the first Danish flavour clinic. Danish medical journal. 2020;67(4):1-5.
- Walliczek U, Negoias S, Hähner A, Hummel T. Assessment of Chemosensory Function Using “Sniffin’ Sticks”, Taste Strips, Taste Sprays, and Retronasal Olfactory Tests. Curr Pharm Design. 2016;22(15):2245-2252. [CrossRef]
- Fjaeldstad A, Niklassen AS, Fernandes HM. Re-Test Reliability of Gustatory Testing and Introduction of the Sensitive Taste-Drop-Test. Chemical Senses. 2018;43(5):341-346. [CrossRef]
- Satoh-Kuriwada S, Blachier F, Kawai M, et al. Development of an Umami Taste Sensitivity Test and Its Clinical Use. PLoS ONE. 2014;9(4):e95177-8. [CrossRef]
- Hummel T, Sekinger B, Wolf SR, Pauli E, Kobal G. ‘Sniffin’ Sticks’: Olfactory performance assessed by the combined testing of odor identification, odor discrimination and olfactory threshold. Chemical Senses. 1997;22(1):39-52. [CrossRef]
- Fjaeldstad A, Kjærgaard T, Hartevelt TJV, Moeller A, Kringelbach ML, Ovesen T. Olfactory screening: validation of Sniffin’ Sticks in Denmark. Clin Otolaryngol. 2015;40(6):545-550. [CrossRef]
- Niklassen AS, Ovesen T, Fernandes H, Fjaeldstad AW. Danish validation of sniffin’ sticks olfactory test for threshold, discrimination, and identification. The Laryngoscope. 2018;128(8):1759-1766. [CrossRef]
- Lahne J, Wolfson JA, Trubek A. Development of the Cooking and Food Provisioning Action Scale (CAFPAS): A new measurement tool for individual cooking practice. Food Quality and Preference. Published online 2017:1-38. [CrossRef]
- DR.dk. Michelin-kok laver middag til Rune, der næsten ikke kan smage. Published online September 8, 2018. https://www.dr.dk/nyheder/viden/kroppen/video-michelin-kok-laver-middag-til-rune-der-naesten-ikke-kan-smage.
- Bredahl R, Buchardt N. Neurogastronomi. FADL; 2016. www.neurogastronomi.com.
- Fjaeldstad A, Bredahl R, Bøjlund C. Cooking With a Smell Loss. Apple Books; 2023. http://books.apple.com/us/book/id6450322002.
- Parma V, Ohla K, Veldhuizen MG, et al. More than smell - COVID-19 is associated with severe impairment of smell, taste, and chemesthesis. Chemical Senses. 2020;45(7):609-622. [CrossRef]
- Stankevice D, Fjaeldstad AW, Agergaard J, Ovesen T. Long-Term COVID-19 Smell and Taste Disorders Differ Significantly from Other Post-Infectious Cases. Laryngoscope. 2023;133(1):169-174. [CrossRef]
- Schwab J, Fjaeldstad AW. Recovery rates and parosmia in olfactory loss during the COVID-19 era. Dan Med J. 2022;9(69).
- Haldrup M, Johansen MI, Fjaeldstad AW. [Anosmia and ageusia as primary symptoms of COVI D-19]. Ugeskr Laeger. 2020;182:1-3.
- Pellegrino R, Fjaeldstad AW. The Effect of Olfactory Disorder (and Other Chemosensory Disorders) on Perception, Acceptance, and Consumption of Food. In: Stafford LD, ed. Smell, Taste, Eat: The Role of the Chemical Senses in Eating Behaviour. Vol 1. Palgrave Macmillan Cham; 2024:119-137. [CrossRef]
- Chaaban N, Høier ATZB, Andersen BV. A Detailed Characterisation of Appetite, Sensory Perceptional, and Eating-Behavioural Effects of COVID-19: Self-Reports from the Acute and Post-Acute Phase of Disease. Foods. 2021;10(4):892. [CrossRef]
- Høier ATZB, Chaaban N, Andersen BV. Possibilities for Maintaining Appetite in Recovering COVID-19 Patients. Foods. 2021;10(2):464. [CrossRef]
- Aschenbrenner K, Hummel C, Teszmer K, et al. The influence of olfactory loss on dietary behaviors. The Laryngoscope. 2008;118(1):135-144. [CrossRef]
- Seo HS, Pramudya RC, Singh A, Hummel T. Recent evidence for the impacts of olfactory disorders on food enjoyment and ingestive behavior. Curr Opin Food Sci. 2021;42:187-194. [CrossRef]
- Keller A, Malaspina D. Hidden consequences of olfactory dysfunction: a patient report series. BMC Ear, Nose and Throat Disorders. 2013;13(1):1-1. [CrossRef]
- Parker JK, Kelly CE, Gane SB. Molecular Mechanism of Parosmia. Medrxiv. Published online 2021:2021.02.05.21251085. [CrossRef]
- Parker JK, Methven L, Pellegrino R, Smith BC, Gane S, Kelly CE. Emerging Pattern of Post-COVID-19 Parosmia and Its Effect on Food Perception. Foods. 2022;11(7):967. [CrossRef]
- Parker J, Methven L, Pellegrino R, Smith B, Gane S, Kelly C. Emerging Pattern of Post-COVID-19 Parosmia and Its Effect on Food Perception. Foods. Published online March 27, 2022. [CrossRef]
- Nørgaard HJ, Fjaeldstad AW. Differences in Correlation between Subjective and Measured Olfactory and Gustatory Dysfunctions after Initial Ear, Nose and Throat Evaluation. International Archives of Otorhinolaryngology. 2021;(EFirst). [CrossRef]
- Rozin P. “Taste-smell confusions” and the duality of the olfactory sense. Perception & psychophysics. 1982;31(4):397-401. [CrossRef]
- Landis BN, Scheibe M, Weber C, et al. Chemosensory interaction: acquired olfactory impairment is associated with decreased taste function. J Neurol. 2010;257(8):1303-1308. [CrossRef]
- Otsubo Y, Miyagi M, Sekiya H, Kano O, Ebihara S. Improving taste sensitivity in healthy adults using taste recall training: a randomized controlled trial. Sci Rep. 2022;12(1):13849. [CrossRef]
- Vries YC de, Winkels RM, Berg MMGA van den, et al. Altered food preferences and chemosensory perception during chemotherapy in breast cancer patients_ A longitudinal comparison with healthy controls. Food Quality and Preference. 2017;63:135-143. [CrossRef]
- Nolden AA, Hwang LD, Boltong A, Reed DR. Chemosensory Changes from Cancer Treatment and Their Effects on Patients’ Food Behavior: A Scoping Review. Nutrients. 2019;11(10):2285. [CrossRef]
- Johnston CA, Keane TJ, Prudo SM. Weight loss in patients receiving radical radiation therapy for head and neck cancer: a prospective study. JPEN Journal of parenteral and enteral nutrition. 1982;6(5):399-402. [CrossRef]
- Spotten LE, Corish CA, Lorton CM, et al. Subjective and objective taste and smell changes in cancer. Annals of Oncology. 2017;28(5):969-984. [CrossRef]
- Zaghloul H, Pallayova M, Al-Nuaimi O, Hovis KR, Taheri S. Association between diabetes mellitus and olfactory dysfunction: current perspectives and future directions. Diabetic Medicine. 2017;35(1):41-52. [CrossRef]
- Papamichou D, Panagiotakos DB, Itsiopoulos C. Dietary patterns and management of type 2 diabetes: A systematic review of randomised clinical trials. Nutrition Metabolism Cardiovasc Dis. 2019;29(6):531-543. [CrossRef]
- Falkowski B, Duda-Sobczak A, Araszkiewicz A, et al. Insulin Resistance is Associated with Impaired Olfactory Function in Adult Patients with Type 1 Diabetes - a Cross-sectional Study. Diabetes/Metabolism Research and Reviews. Published online 2020:dmrr.3307-8. [CrossRef]
- Kim J, Hur MH. The Effects of Dietary Education Interventions on Individuals with Type 2 Diabetes: A Systematic Review and Meta-Analysis. Int J Environ Res Pu. 2021;18(16):8439. [CrossRef]
- Kim TH, Kim YH, Bae NY, Kang SS, Lee JB, Kim SB. Salty taste thresholds and preference in patients with chronic kidney disease according to disease stage: A cross-sectional study. Nutrition & Dietetics. 2017;75(1):59-64. [CrossRef]
- McMahon EJ, Campbell KL, Bauer JD. Taste perception in kidney disease and relationship to dietary sodium intake. Appetite. 2014;83(C):236-241. [CrossRef]
- Madsen A, Danielsen LMA, Niklassen AS, et al. Chemosensory function and food preferences among haemodialysis patients. Dan Med J. 2022;69(11).
- Spence C, Youssef J. Aging and the (Chemical) Senses: Implications for Food Behaviour Amongst Elderly Consumers. Foods. 2021;10(1):168-16. [CrossRef]
- Sulmont-Rossé C, Maitre I, Amand M, et al. Evidence for Different Patterns of Chemosensory Alterations in the Elderly Population: Impact of Age Versus Dependency. Chemical Senses. 2015;40(3):153-164. [CrossRef]
- Sergi G, Bano G, Pizzato S, Veronese N, Manzato E. Taste loss in the elderly: Possible implications for dietary habits. Critical Reviews in Food Science and Nutrition. 2017;57(17):3684-3689. [CrossRef]
- Manesse C, Ferdenzi C, Mantel M, et al. The prevalence of olfactory deficits and their effects on eating behavior from childhood to old age: A large-scale study in the French population. Food Qual Prefer. 2021;93:104273. [CrossRef]
- Keast R, preference PBF quality and, 2003. An overview of binary taste–taste interactions. Elsevier. 2003;14(2):111-124. [CrossRef]
- Fjaeldstad AW, Fernandes HM. Chemosensory Sensitivity after Coffee Consumption Is Not Static: Short-Term Effects on Gustatory and Olfactory Sensitivity. Foods. 2020;9(4):493-499. [CrossRef]
- Kolb DA. Experiential Learning: Experience as the Source of Learning and Development. Vol 8. FT press; 2014. [CrossRef]

| Recipe | Difficulty (High (0) - Low (100)) | Taste Kit usage (Low (0) - high (100)) |
Make at home (Low (0) - high (100)) |
Overall learning (Low (0) - high (100)) |
Group consensus | Recipe action |
|---|---|---|---|---|---|---|
| Fried duck with Asian sauce (n=9) | 41 | 32 | 52 | 62 | Too spicy and overwhelming umami. | Discard |
| Beetroot Carpaccio (n=10) | 81 | 78 | 83 | 91 | Off flavour for some with raw beetroot, slight parosmic trigger. Texture not appreciated | Change beetroot to mushroom and re-evaluate |
| Baked pumpkin (n=9) | 82 | 75 | 66 | 71 | Too soft texture inside if golden crispy crust - replace with another ingredient | Change pumpkin to cauliflower |
| Thai Beef Salad (n=10) | 72 | 26 | 34 | 59 | Overwhelming umami, few participants would make this at home. | Discard |
| Meatballs in Curry (n=10) | 84 | 82 | 86 | 93 | Well liked, can be optimized with taste and texture | Modify and reuse in different versions at next class. |
| Fried Rice with Eggs (n=10) | 70 | 48 | 55 | 61 | Okay, but parosmic trigger in three participants (all rarely experience parosmia) | Discard |
| Normosmic reference (n=166) | Before cooking school (n=48) | End of cooking school (n=48) | Δ | p-value | |
|---|---|---|---|---|---|
| Prefer to cook rather than having food prepared | 4.31 | 3.49 | 4.23 | 0.74 | 0.0074 |
| Cooking is a fulfilling activity | 5.70 | 5.02 | 5.48 | 0.46 | 0.0245 |
| Confidence in choosing between similar products | 5.93 | 5.50 | 5.96 | 0.46 | 0.0166 |
| Confidence in ability to deal with unexpected results during cooking | 5.38 | 4.73 | 5.13 | 0.40 | 0.1896 |
| Involvement in daily meal preparations | 6.15 | 5.94 | 6.27 | 0.33 | 0.0250 |
Disclaimer/Publisher’s Note: The statements, opinions and data contained in all publications are solely those of the individual author(s) and contributor(s) and not of MDPI and/or the editor(s). MDPI and/or the editor(s) disclaim responsibility for any injury to people or property resulting from any ideas, methods, instructions or products referred to in the content. |
© 2024 by the authors. Licensee MDPI, Basel, Switzerland. This article is an open access article distributed under the terms and conditions of the Creative Commons Attribution (CC BY) license (http://creativecommons.org/licenses/by/4.0/).