Submitted:
20 April 2024
Posted:
22 April 2024
You are already at the latest version
Abstract
Keywords:
1. Introduction
2. Materials and Methods
2.1. Study Area
2.2 Data Sources
2.3 Methods
2.3.1 Data Preprocessing
2.3.2. LST Remote Sensing Inversion and Generation of Sharpening Products
2.3.3. Extraction of Main Variables/Indicators of Built Environment Affecting LST
2.3.5. Statistical Analysis
3. Results
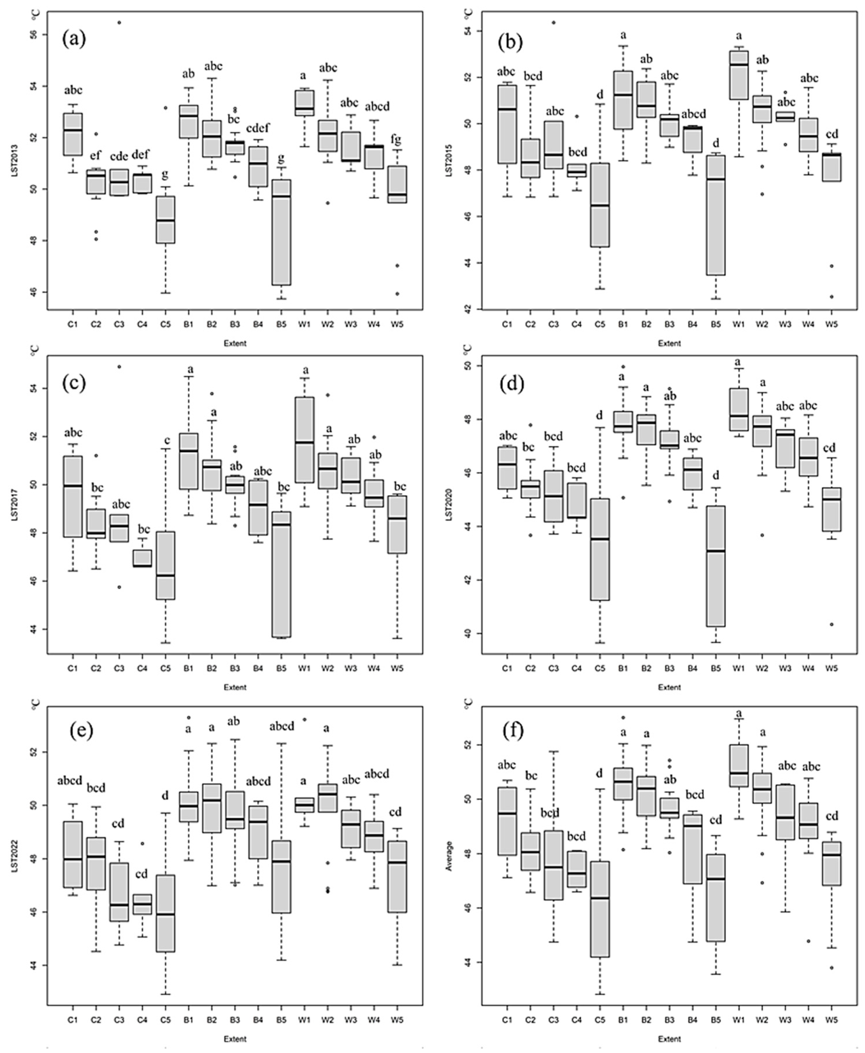
3.1. The Relationship between UGI and LST under Different Spatial Stratification
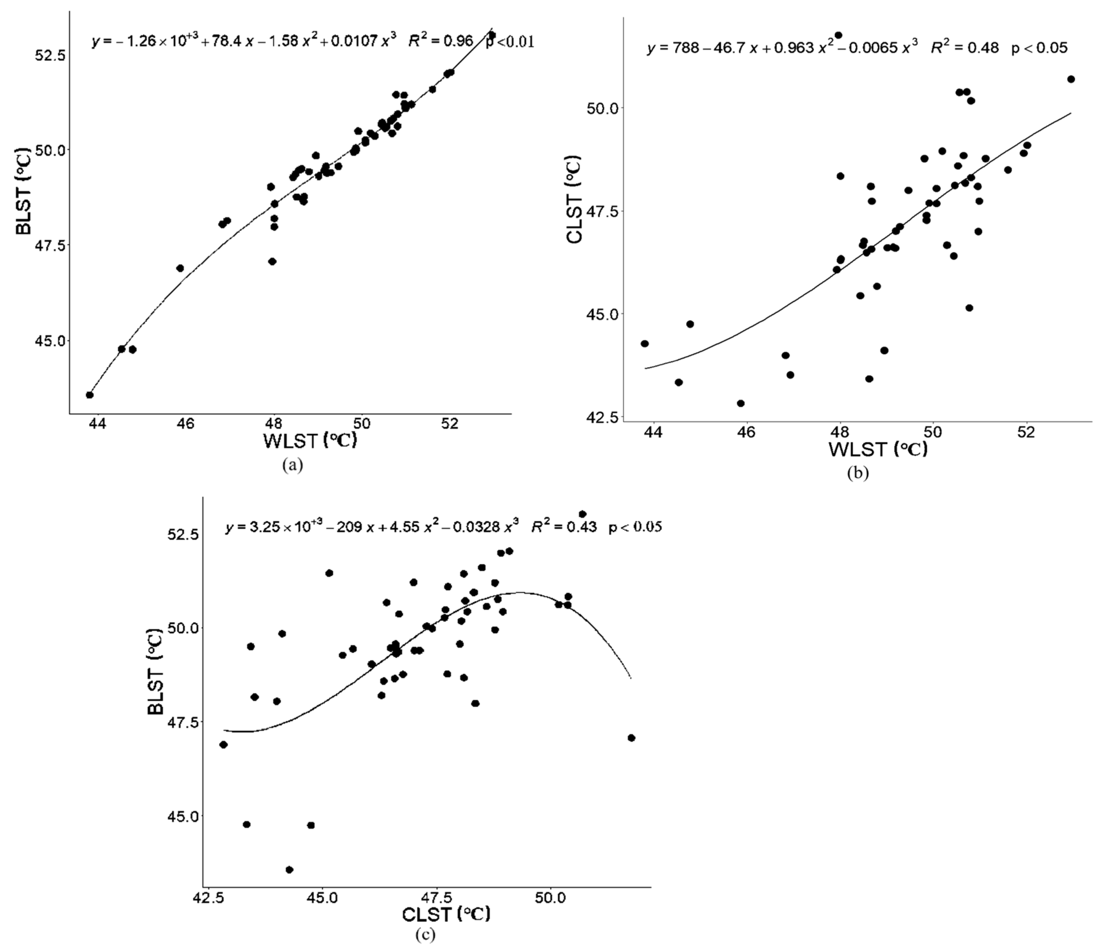
3.2. Response of LST to UGI Pattern in UTHSs Range
3.3. Quantitative Model Analysis of Pattern Response Relationship between LST and UGI
| 2022 | 2020 | ||||||||||||||||
| Coef | SE Coef | T-Value | P-Value | VIF | Coef | SE Coef | T-Value | P-Value | VIF | ||||||||
| Constant | 49.145 | 0.443 | 110.953 | 0.000 | 45.634 | 1.364 | 33.465 | 0.000 | |||||||||
| CA | -5.452 | 0.989 | -5.515 | 0.000 | 3.152 | ||||||||||||
| IS | 0.000 | 0.000 | 12.289 | 0.000 | 1.348 | 0.000 | 0.000 | 9.747 | 0.000 | 8.184 | |||||||
| PD | 0.407 | 0.165 | 2.463 | 0.015 | 1.616 | ||||||||||||
| LPI | -0.642 | 0.217 | -2.961 | 0.004 | 16.625 | ||||||||||||
| Cohesion | 0.000 | 0.000 | 5.176 | 0.000 | 20.986 | ||||||||||||
| Height | -0.903 | 0.114 | -7.949 | 0.000 | 1.300 | -0.647 | 0.102 | -6.356 | 0.000 | 1.583 | |||||||
| SPLIT | 0.000 | 0.000 | 2.067 | 0.040 | 1.042 | ||||||||||||
| S | 1.48198 | 1.20508 | |||||||||||||||
| R-sq | 53.94% | 74.14% | |||||||||||||||
| R-sq(adj) | 53.02% | 73.08% | |||||||||||||||
| R-sq(pred) | 51.53% | 70.40% | |||||||||||||||
| 2017 | 2015 | ||||||||||||||||
| Coef | SE Coef | T-Value | P-Value | VIF | Coef | SE Coef | T-Value | P-Value | VIF | ||||||||
| Constant | 50.947 | 1.232 | 41.353 | 0.000 | 51.06 | 1.57 | 32.61 | 0.000 | |||||||||
| CA | -5.052 | 1.128 | -4.480 | 0.000 | 3.264 | -6.53 | 1.14 | -5.75 | 0.000 | 3.15 | |||||||
| IS | 0.000 | 0.000 | 8.856 | 0.000 | 7.916 | 0.000000 | 0.000000 | 9.39 | 0.000 | 8.18 | |||||||
| PD | 0.387 | 0.190 | 2.04 | 0.043 | 1.62 | ||||||||||||
| LPI | -0.428 | 0.235 | -1.822 | 0.070 | 15.508 | -0.396 | 0.249 | -1.59 | 0.114 | 16.63 | |||||||
| Cohesion | 0.000 | 0.000 | 4.584 | 0.000 | 15.968 | 0.000000 | 0.000000 | 4.15 | 0.000 | 20.99 | |||||||
| Height | -0.855 | 0.113 | -7.575 | 0.000 | 1.545 | -0.920 | 0.117 | -7.87 | 0.000 | 1.58 | |||||||
| SPLIT | 0.000 | 0.000 | 1.774 | 0.078 | 1.175 | ||||||||||||
| S | 1.35071 | 1.38388 | |||||||||||||||
| R-sq | 69.24% | 70.63% | |||||||||||||||
| R-sq(adj) | 67.98% | 69.43% | |||||||||||||||
| R-sq(pred) | 63.08% | 66.30% | |||||||||||||||
| Continued form | |||||||||||||||||
| 2013 | |||||||||||||||||
| Coef | SE Coef | T-Value | P-Value | VIF | |||||||||||||
| Constant | 49.731 | 0.788 | 63.15 | 0.000 | |||||||||||||
| CA | -1.923 | 0.674 | -2.85 | 0.005 | 2.04 | ||||||||||||
| IS | 0.000 | 0.000 | 12.36 | 0.000 | 5.27 | ||||||||||||
| PD | |||||||||||||||||
| LPI | |||||||||||||||||
| Cohesion | 0.000 | 0.000 | 3.53 | 0.001 | 7.04 | ||||||||||||
| Height | -0.4381 | 0.079 | -5.54 | 0.000 | 1.32 | ||||||||||||
| SPLIT | |||||||||||||||||
| S | 1.02291 | ||||||||||||||||
| R-sq | 72.84% | ||||||||||||||||
| R-sq(adj) | 72.11% | ||||||||||||||||
| R-sq(pred) | 70.89% | ||||||||||||||||
| Effect term | LST2022 | LST2020 | LST2017 | LST2015 | LST2013 | ||||||
|---|---|---|---|---|---|---|---|---|---|---|---|
| Coef | Coef-Standardized | Coef | Coef-Standardized | Coef | Coef-Standardized | Coef | Coef-Standardized | Coef | Coef-Standardized | ||
| Constant | 51.77 | 49.61 | 53.71 | 55.09 | 53.42 | ||||||
| Main effect | CA | -1.18 | -0.13 | -1.28 | -0.12 | -1.45 | -0.13 | -1.74 | -0.14 | -0.93 | -0.10 |
| IS | 0.17 | 0.16 | 0.17 | 0.18 | 0.13 | ||||||
| PD | 0.11 | 0.05 | 0.12 | 0.04 | 0.13 | 0.05 | 0.16 | 0.05 | 0.09 | 0.04 | |
| PLAND | -0.54 | -0.10 | -0.66 | -0.11 | -0.69 | -0.11 | -0.85 | -0.12 | -0.54 | -0.10 | |
| LPI | -0.05 | -0.04 | -0.09 | -0.06 | -0.08 | -0.05 | -0.10 | -0.06 | -0.09 | -0.07 | |
| Cohesion | 0.02 | -0.02 | -0.04 | ||||||||
| AI | 0.07 | 0.03 | 0.06 | 0.05 | -0.01 | ||||||
| Height | -0.57 | -0.47 | -0.49 | -0.35 | -0.65 | -0.43 | -0.74 | -0.44 | -0.25 | -0.20 | |
| LSI | -0.07 | -0.25 | -0.07 | -0.20 | -0.08 | -0.23 | -0.09 | -0.24 | -0.04 | -0.14 | |
| SPLIT | 0.04 | 0.04 | 0.04 | 0.05 | 0.04 | ||||||
| Interaction | PD×SPLIT×LSI | 0.04 | 0.05 | 0.04 | 0.05 | 0.05 | |||||
| effect | CA×Cohesion×AI×LPI | -0.11 | -0.11 | -0.11 | -0.12 | -0.10 | |||||
| IS×Height | -0.05 | -0.01 | -0.04 | -0.03 | 0.03 | ||||||
| IS×Height×PD×SPLIT×LSI | 0.03 | 0.04 | 0.04 | 0.04 | 0.04 | ||||||
| PLAND×PD×SPLIT×LSI | 0.05 | 0.05 | 0.05 | 0.06 | 0.05 | ||||||
| IS×Height×PLAND | -0.03 | 0.01 | -0.02 | -0.01 | 0.03 | ||||||
| PLAND×CA×Cohesion×AI×LPI | -0.11 | -0.11 | -0.11 | -0.12 | -0.10 | ||||||
| F | 15.77 | 19.33 | 16.67 | 23.81 | 20.72 | ||||||
| R2 | 0.673 | 0.652 | 0.670 | 0.699 | 0.749 | ||||||
| Effect term | LST2022 | LST2020 | LST2017 | LST2015 | LST2013 | ||||||
|---|---|---|---|---|---|---|---|---|---|---|---|
| Coef | Coef-Standardized | Coef | Coef-Standardized | Coef | Coef-Standardized | Coef | Coef-Standardized | Coef | Coef-Standardized | ||
| Constant | 52.01 | 50.88 | 55.05 | 56.52 | 54.84 | ||||||
| CA | -0.93 | -0.10 | -0.72 | -0.07 | -0.49 | -0.04 | -0.95 | -0.07 | -0.12 | -0.01 | |
| Main effect | IS | 0.26 | 0.36 | 0.42 | 0.39 | 0.39 | |||||
| PD | -0.05 | -0.02 | -0.27 | -0.10 | -0.44 | -0.15 | -0.34 | -0.11 | -0.40 | -0.17 | |
| PLAND | -0.70 | -0.13 | -1.09 | -0.18 | -1.26 | -0.19 | -1.39 | -0.19 | -1.05 | -0.19 | |
| LPI | -0.06 | -0.05 | -0.12 | -0.08 | -0.12 | -0.07 | -0.14 | -0.08 | -0.13 | -0.10 | |
| Cohesion | 0.04 | 0.04 | 0.08 | 0.06 | 0.04 | ||||||
| AI | 0.09 | 0.09 | 0.14 | 0.12 | 0.09 | ||||||
| Height | -0.64 | -0.53 | -0.76 | -0.54 | -0.98 | -0.65 | -1.06 | -0.63 | -0.56 | -0.45 | |
| LSI | -0.07 | -0.24 | -0.08 | -0.23 | -0.09 | -0.26 | -0.11 | -0.27 | -0.05 | -0.18 | |
| SPLIT | 0.02 | 0.04 | 0.03 | 0.03 | 0.04 | ||||||
| PD×SPLIT×LSI | 0.02 | 0.04 | 0.04 | 0.04 | 0.05 | ||||||
| Interaction | CA×Cohesion×AI×LPI | -0.09 | -0.08 | -0.06 | -0.08 | -0.05 | |||||
| effect | IS×Height | -0.02 | 0.03 | 0.02 | 0.02 | 0.07 | |||||
| IS×Height×PD×SPLIT×LSI | 0.01 | 0.03 | 0.03 | 0.03 | 0.04 | ||||||
| PLAND×PD×SPLIT×LSI | 0.03 | 0.05 | 0.05 | 0.05 | 0.06 | ||||||
| IS×Height×PLAND | 0.02 | 0.09 | 0.10 | 0.08 | 0.14 | ||||||
| PLAND×CA×Cohesion×AI×LPI | -0.09 | -0.09 | -0.07 | -0.09 | -0.06 | ||||||
| F | 19.69 | 39.29 | 33.05 | 43.47 | 48.57 | ||||||
| R2 | 0.692 | 0.634 | 0.651 | 0.672 | 0.722 | ||||||
| Effect term | LST2022 | LST2020 | LST2017 | LST2015 | LST2013 | ||||||
|---|---|---|---|---|---|---|---|---|---|---|---|
| Coef | Coef-Standardized | Coef | Coef-Standardized | Coef | Coef-Standardized | Coef | Coef-Standardized | Coef | Coef-Standardized | ||
| Constant | 52.54 | 47.90 | 52.56 | 51.97 | 51.66 | ||||||
| Main effect | CA | -0.51 | -0.04 | -1.70 | -0.13 | -1.52 | -0.11 | -2.26 | -0.16 | -0.50 | -0.05 |
| IS | 0.47 | 0.73 | 0.71 | 0.75 | 0.63 | ||||||
| PD | -0.23 | -0.08 | 0.03 | 0.01 | -0.18 | -0.06 | 0.15 | 0.05 | -0.09 | -0.04 | |
| PLAND | -0.77 | -0.14 | -0.73 | -0.12 | -0.82 | -0.14 | -0.72 | -0.11 | -0.62 | -0.13 | |
| LPI | -0.09 | -0.07 | -0.01 | -0.01 | 0.03 | 0.03 | -0.02 | -0.02 | |||
| Cohesion | 0.19 | 0.36 | 0.36 | 0.39 | 0.28 | ||||||
| AI | 0.01 | -0.01 | 0.02 | 0.01 | 0.02 | ||||||
| Height | -0.94 | -0.52 | -0.94 | -0.49 | -1.08 | -0.55 | -1.15 | -0.55 | -0.61 | -0.38 | |
| LSI | -0.03 | -0.08 | -0.03 | -0.07 | -0.05 | -0.11 | -0.05 | -0.11 | -0.02 | -0.05 | |
| SPLIT | 0.10 | 0.11 | 0.13 | 0.11 | 0.06 | ||||||
| Interaction | PD×SPLIT×LSI | 0.03 | 0.02 | 0.01 | 0.01 | ||||||
| effect | CA×Cohesion×AI×LPI | -0.11 | -0.10 | -0.09 | -0.11 | -0.10 | |||||
| IS×Height | -0.03 | -0.03 | -0.04 | -0.05 | 0.03 | ||||||
| IS×Height×PD×SPLIT×LSI | -0.01 | -0.06 | -0.04 | -0.04 | -0.02 | ||||||
| PLAND×PD×SPLIT×LSI | 0.03 | 0.02 | 0.04 | 0.04 | 0.04 | ||||||
| IS×Height×PLAND | 0.13 | 0.30 | 0.26 | 0.30 | 0.30 | ||||||
| PLAND×CA×Cohesion×AI×LPI | -0.09 | -0.05 | -0.04 | -0.06 | -0.06 | ||||||
| F | 25.95 | 54.73 | 42.29 | 46.17 | 53.60 | ||||||
| R2 | 0.576 | 0.753 | 0.727 | 0.718 | 0.751 | ||||||
4. Discussion
4.1. Using UGI Spatial Pattern to Improve Urban Thermal Environment
4.2. Improve Ecological Building Design to Enhance Urban Sustainability
5. Conclusions
Author Contributions
Funding
Conflicts of Interest
References
- Santamouris, M., Recent progress on urban overheating and heat island research. Integrated assessment of the energy, environmental, vulnerability and health impact. Synergies with the global climate change. Energy and Buildings 2020, 207. [CrossRef]
- Voogt, J. A., Urban heat island. 2000.
- Oke, T. R., Boundary layer climates. 2002.
- Arnfield, A. J., Two decades of urban climate research: a review of turbulence, exchanges of energy and water, and the urban heat island. International Journal of Climatology 2003, 23, (1), 1-26. [CrossRef]
- Zhao, Z.-Q.; He, B.-J.; Li, L.-G.; Wang, H.-B.; Darko, A., Profile and concentric zonal analysis of relationships between land use/land cover and land surface temperature: Case study of Shenyang, China. Energy and Buildings 2017, 155, 282-295. [CrossRef]
- UN-Habitat, World Cities Report 2022: Envisaging the Future of Cities. World City Report 2022.
- Singh, N., Singh, S., & Mall, R. K, Urban ecology and human health: implications of urban heat island, air pollution and climate change nexus. Urban ecology.Elsevier 2020, 317-334.
- Patz, J. A.; Campbell-Lendrum, D.; Holloway, T.; Foley, J. A., Impact of regional climate change on human health. Nature 2005, 438, (7066), 310-7. [CrossRef]
- Gasparrini, A.; Guo, Y.; Sera, F.; Vicedo-Cabrera, A. M.; Huber, V.; Tong, S.; de Sousa Zanotti Stagliorio Coelho, M.; Nascimento Saldiva, P. H.; Lavigne, E.; Matus Correa, P.; Valdes Ortega, N.; Kan, H.; Osorio, S.; Kysely, J.; Urban, A.; Jaakkola, J. J. K.; Ryti, N. R. I.; Pascal, M.; Goodman, P. G.; Zeka, A.; Michelozzi, P.; Scortichini, M.; Hashizume, M.; Honda, Y.; Hurtado-Diaz, M.; Cesar Cruz, J.; Seposo, X.; Kim, H.; Tobias, A.; Iniguez, C.; Forsberg, B.; Astrom, D. O.; Ragettli, M. S.; Guo, Y. L.; Wu, C. F.; Zanobetti, A.; Schwartz, J.; Bell, M. L.; Dang, T. N.; Van, D. D.; Heaviside, C.; Vardoulakis, S.; Hajat, S.; Haines, A.; Armstrong, B., Projections of temperature-related excess mortality under climate change scenarios. Lancet Planet Health 2017, 1, (9), e360-e367. [CrossRef]
- Balling, R. C.; Gober, P.; Jones, N., Sensitivity of residential water consumption to variations in climate: An intraurban analysis of Phoenix, Arizona. Water Resources Research 2008, 44, (10). [CrossRef]
- Zhao, L.; Lee, X.; Smith, R. B.; Oleson, K., Strong contributions of local background climate to urban heat islands. Nature 2014, 511, (7508), 216-9. [CrossRef]
- Leal Filho, W.; Echevarria Icaza, L.; Neht, A.; Klavins, M.; Morgan, E. A., Coping with the impacts of urban heat islands. A literature based study on understanding urban heat vulnerability and the need for resilience in cities in a global climate change context. Journal of Cleaner Production 2018, 171, 1140-1149.
- Buchin, O.; Hoelscher, M.-T.; Meier, F.; Nehls, T.; Ziegler, F., Evaluation of the health-risk reduction potential of countermeasures to urban heat islands. Energy and Buildings 2016, 114, 27-37. [CrossRef]
- Tan, J.; Zheng, Y.; Tang, X.; Guo, C.; Li, L.; Song, G.; Zhen, X.; Yuan, D.; Kalkstein, A. J.; Li, F., The urban heat island and its impact on heat waves and human health in Shanghai. Int J Biometeorol 2010, 54, (1), 75-84. [CrossRef]
- Memon, R. A.; Leung, D. Y.; Chunho, L., A review on the generation, determination and mitigation of urban heat island. J Environ Sci (China) 2008, 20, (1), 120-8.
- Xu, C.; Chen, G.; Huang, Q.; Su, M.; Rong, Q.; Yue, W.; Haase, D., Can improving the spatial equity of urban green space mitigate the effect of urban heat islands? An empirical study. Sci Total Environ 2022, 841, 156687. [CrossRef]
- Wang, Y.; Bakker, F.; de Groot, R.; Wörtche, H., Effect of ecosystem services provided by urban green infrastructure on indoor environment: A literature review. Building and Environment 2014, 77, 88-100. [CrossRef]
- Sun, R.; Xie, W.; Chen, L., A landscape connectivity model to quantify contributions of heat sources and sinks in urban regions. Landscape and Urban Planning 2018, 178, 43-50. [CrossRef]
- Young, R.; Zanders, J.; Lieberknecht, K.; Fassman-Beck, E., A comprehensive typology for mainstreaming urban green infrastructure. Journal of Hydrology 2014, 519, 2571-2583. [CrossRef]
- Cameron, R. W. F.; Blanuša, T.; Taylor, J. E.; Salisbury, A.; Halstead, A. J.; Henricot, B.; Thompson, K., The domestic garden – Its contribution to urban green infrastructure. Urban Forestry & Urban Greening 2012, 11, (2), 129-137. [CrossRef]
- Liu, O. Y.; Russo, A., Assessing the contribution of urban green spaces in green infrastructure strategy planning for urban ecosystem conditions and services. Sustainable Cities and Society 2021, 68. [CrossRef]
- Milard, D., Urban energy and environmental policy: the case of Shanghai since the 2000’s. 2017.
- Gielen, D. a. C., C., The CO2 emission reduction benefits of Chinese energy policies and environmental policies:A case study for Shanghai, period 1995–2020. Ecological Economics 2001, 39(2),257-270.
- Harlan, S. L.; Ruddell, D. M., Climate change and health in cities: impacts of heat and air pollution and potential co-benefits from mitigation and adaptation. Current Opinion in Environmental Sustainability 2011, 3, (3), 126-134. [CrossRef]
- Shi, C.; Guo, N.; Gao, X.; Wu, F., How carbon emission reduction is going to affect urban resilience. Journal of Cleaner Production 2022, 372. [CrossRef]
- Gómez-Baggethun, E.; Barton, D. N., Classifying and valuing ecosystem services for urban planning. Ecological Economics 2013, 86, 235-245. [CrossRef]
- Han, J.; Zhao, X.; Zhang, H.; Liu, Y., Analyzing the Spatial Heterogeneity of the Built Environment and Its Impact on the Urban Thermal Environment—Case Study of Downtown Shanghai. Sustainability 2021, 13, (20). [CrossRef]
- Du, N.; Ottens, H.; Sliuzas, R., Spatial impact of urban expansion on surface water bodies—A case study of Wuhan, China. Landscape and Urban Planning 2010, 94, (3-4), 175-185. [CrossRef]
- Zhao, M.; Cai, H.; Qiao, Z.; Xu, X., Influence of urban expansion on the urban heat island effect in Shanghai. International Journal of Geographical Information Science 2016, 30, (12), 2421-2441. [CrossRef]
- Li, J.-j.; Wang, X.-r.; Wang, X.-j.; Ma, W.-c.; Zhang, H., Remote sensing evaluation of urban heat island and its spatial pattern of the Shanghai metropolitan area, China. Ecological Complexity 2009, 6, (4), 413-420. [CrossRef]
- Li, J.; Song, C.; Cao, L.; Zhu, F.; Meng, X.; Wu, J., Impacts of landscape structure on surface urban heat islands: A case study of Shanghai, China. Remote Sensing of Environment 2011, 115, (12), 3249-3263. [CrossRef]
- Design, S. I. o. P. a., Shanghai Greening System Plan. In 2020.
- Zhang, H.; Li, T. t.; Liu, Y.; Han, J. j.; Guo, Y. j., Understanding the contributions of land parcel features to intra-surface urban heat island intensity and magnitude: A study of downtown Shanghai, China. Land Degradation & Development 2020, 32, (3), 1353-1367. [CrossRef]
- Feng, L.; Zhao, M.; Zhou, Y.; Zhu, L.; Tian, H., The seasonal and annual impacts of landscape patterns on the urban thermal comfort using Landsat. Ecological Indicators 2020, 110. [CrossRef]
- Yue, W.; Qiu, S.; Xu, H.; Xu, L.; Zhang, L., Polycentric urban development and urban thermal environment: A case of Hangzhou, China. Landscape and Urban Planning 2019, 189, 58-70. [CrossRef]
- Santamouris, M., Afroditi Synnefa, and Theoni Karlessi, Using advanced cool materials in the urban built environment to mitigate heat islands and improve thermal comfort conditions. Solar energy 2011, 85(12):3085-102. [CrossRef]
- Næss, P., Built environment, causality and urban planning. Planning Theory & Practice 2016, 17(1), 52-71.
- McGarigal, K., Cushman, S.A., Ene, E., FRAGSTATS v4: Spatial Pattern Analysis Pro gram for Categorical and Continuous Maps. Computer Software Program Produced.
- by the Authors at the University of Massachusetts Amherst. 2012, accessed 26 July 2018.
- Wehrens, R., and B-H. Mevik, The pls package: principal component and partial least squares regression in R. 2007.
- Wu, C.; Li, J.; Wang, C.; Song, C.; Haase, D.; Breuste, J.; Finka, M., Estimating the Cooling Effect of Pocket Green Space in High Density Urban Areas in Shanghai, China. Frontiers in Environmental Science 2021, 9. [CrossRef]
- Liu, J.; Zhang, L.; Zhang, Q.; Zhang, G.; Teng, J., Predicting the surface urban heat island intensity of future urban green space development using a multi-scenario simulation. Sustainable Cities and Society 2021, 66. [CrossRef]
- Jones, L.; Anderson, S.; Læssøe, J.; Banzhaf, E.; Jensen, A.; Bird, D. N.; Miller, J.; Hutchins, M. G.; Yang, J.; Garrett, J.; Taylor, T.; Wheeler, B. W.; Lovell, R.; Fletcher, D.; Qu, Y.; Vieno, M.; Zandersen, M., A typology for urban Green Infrastructure to guide multifunctional planning of nature-based solutions. Nature-Based Solutions 2022, 2. [CrossRef]
- Adegun, O. B.; Ikudayisi, A. E.; Morakinyo, T. E.; Olusoga, O. O., Urban green infrastructure in Nigeria: A review. Scientific African 2021, 14. [CrossRef]
- Sodoudi, S.; Zhang, H.; Chi, X.; Müller, F.; Li, H., The influence of spatial configuration of green areas on microclimate and thermal comfort. Urban Forestry & Urban Greening 2018, 34, 85-96. [CrossRef]
- Lai, D.; Liu, Y.; Liao, M.; Yu, B., Effects of different tree layouts on outdoor thermal comfort of green space in summer Shanghai. Urban Climate 2023, 47. [CrossRef]
- Yu, K.; Chen, Y.; Wang, D.; Chen, Z.; Gong, A.; Li, J., Study of the Seasonal Effect of Building Shadows on Urban Land Surface Temperatures Based on Remote Sensing Data. Remote Sensing 2019, 11, (5). [CrossRef]
- Han, Y.; Taylor, J. E.; Pisello, A. L., Toward mitigating urban heat island effects: Investigating the thermal-energy impact of bio-inspired retro-reflective building envelopes in dense urban settings. Energy and Buildings 2015, 102, 380-389. [CrossRef]
- He, B.-J.; Zhao, Z.-Q.; Shen, L.-D.; Wang, H.-B.; Li, L.-G., An approach to examining performances of cool/hot sources in mitigating/enhancing land surface temperature under different temperature backgrounds based on landsat 8 image. Sustainable Cities and Society 2019, 44, 416-427. [CrossRef]
- He, B.-J., Towards the next generation of green building for urban heat island mitigation: Zero UHI impact building. Sustainable Cities and Society 2019, 50. [CrossRef]
- Cui, Y.-q.; Zheng, H.-C., Impact of Three-Dimensional Greening of Buildings in Cold Regions in China on Urban Cooling Effect. Procedia Engineering 2016, 169, 297-302. [CrossRef]
- Shi, D.; Song, J.; Huang, J.; Zhuang, C.; Guo, R.; Gao, Y., Synergistic cooling effects (SCEs) of urban green-blue spaces on local thermal environment: A case study in Chongqing, China. Sustainable Cities and Society 2020, 55. [CrossRef]
- Völker, S.; Baumeister, H.; Claßen, T.; Hornberg, C.; Kistemann, T., Evidence for the temperature-mitigating capacity of urban blue space – a health geographic perspective. Erdkunde 2013, 67, (04), 355-371. [CrossRef]
- Georgescu, M.; Morefield, P. E.; Bierwagen, B. G.; Weaver, C. P., Urban adaptation can roll back warming of emerging megapolitan regions. Proc Natl Acad Sci U S A 2014, 111, (8), 2909-14. [CrossRef]
- Tian, Y., Zhou, W., The effect of urban 2D and 3D morphology on air temperature in residential neighborhoods. Landscape Ecology. 34 2019, 1161-1178. [CrossRef]
- Javadi, R.; Nasrollahi, N., Urban green space and health: The role of thermal comfort on the health benefits from the urban green space; a review study. Building and Environment 2021, 202. [CrossRef]
- Oliveira, S.; Andrade, H.; Vaz, T., The cooling effect of green spaces as a contribution to the mitigation of urban heat: A case study in Lisbon. Building and Environment 2011, 46, (11), 2186-2194.
- Theeuwes, N. E.; Steeneveld, G. J.; Ronda, R. J.; Heusinkveld, B. G.; van Hove, L. W. A.; Holtslag, A. A. M., Seasonal dependence of the urban heat island on the street canyon aspect ratio. Quarterly Journal of the Royal Meteorological Society 2014, 140, (684), 2197-2210. [CrossRef]
- Park, Y.; Guldmann, J.-M.; Liu, D., Impacts of tree and building shades on the urban heat island: Combining remote sensing, 3D digital city and spatial regression approaches. Computers, Environment and Urban Systems 2021, 88. [CrossRef]
- Cao, Q.; Liu, Y.; Georgescu, M.; Wu, J., Impacts of landscape changes on local and regional climate: a systematic review. Landscape Ecology 2020, 35, (6), 1269-1290. [CrossRef]
- Yang, J.; Yang, Y.; Sun, D.; Jin, C.; Xiao, X., Influence of urban morphological characteristics on thermal environment. Sustainable Cities and Society 2021, 72. [CrossRef]
- Shashua-Bar, L.; Tzamir, Y.; Hoffman, M. E., Thermal effects of building geometry and spacing on the urban canopy layer microclimate in a hot-humid climate in summer. International Journal of Climatology 2004, 24, (13), 1729-1742. [CrossRef]





| Data | Description |
|---|---|
| Landsat-8/9 OLI/TIRS images | By the U.S. Geological Survey (United States Geological Survey, the USGS, http://earthexplorer.usgs.gov/) provided by the Earth Explorer data download sites. Among the available high-quality cloud-free images collected in the summer of 2013-2022, considering the time span and interval of the whole study period, five phases of images were selected in this study: August 29, 2013, August 3, 2015, August 24, 2017, August 16, 2020, and August 14, 2010. |
| Sentinel-1/2 images | Sentinel is a series of Earth observation satellites launched by the Copernicus Program of the European Space Agency (ESA). The image was downloaded from the Open port provided by the European Space Agency(https://dataspace.copernicus.eu/browser/?zoom=3&lat=26&lng=0&visualizationUrl=https%3A%2F%2Fsh.dataspace.copernicus.eu%2Fogc%2Fwms%2Fa91f72b5-f393-4320-bc0f-990129bd9e63&datasetId=S2_L2A_CDAS&demSource3D=%22MAPZEN%22&cloudCoverage=30) |
| Land use map | This map of land use cover in 2013 was originally generated using an object-oriented classification method based on orthophose-corrected high-resolution Quickbird satellite imagery. Based on the field investigation data, the classified products were further manually corrected and verified, and re-sampled to TIF grid (1m resolution), with an overall correction accuracy of 91.1%[33]. |
| Building profile data | The building outline is a high-resolution Quickbird satellite image using orthographic correction, and outside the range is manually drawn using the 91-image assistant. |
| Digital city thematic products | Commercial thematic layers contain specific land use covers, such as buildings, warehouses, industrial parks, transportation lines, vegetated areas, and bodies of water. (Beijing Digital Space Technology Co., LTD.) |
| Baidu map | Baidu Maps Baidu web products, including high-resolution satellite images (still/no historical review), thematic features (such as buildings, roads, traffic lines, etc.), and street views with retrospective photos. |
| 91Weitu Map | The online high resolution satellite image and city digital thematic service layer products operated by Beijing Qianfan World View Company.((https://www.91weitu.com)) |
| Tianditu map | operated by the National Platform for Common Geospatial Information Services (https://vgimap.tianditu.gov.cn/) |
| Ground truth data | Collected in 8 annual field surveys conducted between 2013 and 2020, with intervals of 3-6 months, focusing on the land use type and development pattern of each typical sample area, building height was measured on-site using the Edkors™ model AS1000H handheld height finder. |
| Dimension | Indicator name | Formula | Meaning |
|---|---|---|---|
| Building index | Proportion of impervious surface area | The proportion of surfaces in a given area that are artificially constructed or artificially enclosed by buildings, roads, sidewalks, etc. | |
| Building height(BH) | / | The vertical height of a building, usually indicates the distance from the outdoor floor to the roof of the building | |
| UGI index | Class area(CA) | It can directly reflect the size of different landscape element types | |
| percentage of landscape(PLAND) | The relative percentage of a certain patch type in the total landscape area can be used to judge the landscape dominance | ||
| largest patch index(LPI) | The maximum continuous patch area as a percentage of the entire landscape area | ||
| patch density(PD) | It reflects the degree of fragmentation and spatial heterogeneity of landscape segmentation | ||
| CLUMPY |
|
It reflects the aggregation and dispersion of patches in the landscape, and the value is between -1 and 1 | |
| COHESION | Represents the distance and arrangement pattern of patches in the landscape, reflecting continuity | ||
| Aggregation Index (Al) | AI∈ (0,100). AI examined the connectivity between patches of each landscape type. | ||
| Splitting Index(SPLIT) | SPLIT is the sum of the square of the total landscape area divided by the square of the patch area | ||
| Landscape Shape Index (LSI) | Reflects the complexity of landscape structure, that is, the larger the value, the more complex the shape |
| Type | Whole area=Core area+Buffer zone | Core area | Buffer area | ||||||
| Proportion of impervious surface area (%) | Proportion of building area (%) | Proportion of UGI area (%) | Proportion of impervious surface area (%) | Proportion of building area (%) | Proportion of UGI area (%) | Proportion of impervious surface area (%) | Proportion of building area (%) | Proportion of UGI area (%) | |
| C1 | 98.95 ±0.91 |
34.62 ±10.97 |
1.05 ±0.91 |
98.28 ±1.18 |
21.2 ±5.39 |
1.72 ±1.18 |
98.98 ±0.89 |
35.05 ±11.03 |
1.02±0.89 |
| C2 | 93.20 ±4.58 |
24.86 ±9.60 |
6.80 ±4.58 |
72.03 ±13.52 |
12.8 ±8.38 |
25.82 ±15.16 |
94.62 ±4.91 |
27.72 ±7.43 |
5.38±4.91 |
| C3 | 89.83 ±8.29 |
23.22 ±8.22 |
10.17 ±8.29 |
85.73 ±7.58 |
16.1 ±4.78 |
14.27 ±7.58 |
89.63 ±10.48 |
23.38 ±9.15 |
10.37±10.48 |
| C4 | 93.75 ±3.29 |
21.30 ±3.23 |
6.25 ±3.29 |
91.84 ±3.59 |
16.6 ±4.55 |
8.16 ±3.59 |
93.98 ±3.26 |
21.73 ±3.18 |
6.02±3.26 |
| C5 | 83.78 ±15.02 |
19.27 ±8.15 |
15.54 ±14.93 |
53.88 ±14.60 |
6.22 ±6.48 |
52.27 ±13.85 |
88.27 ±15.01 |
21.28 ±7.75 |
11.20±14.93 |
| Entire-ty | 89.14 ±11.73 |
22.61 ±9.20 |
10.56 ±11.54 |
69.51 ±20.05 |
11.3 ±8.20 |
32.64 ±8.20 |
91.51 ±11.30 |
24.36 ±8.56 |
8.26±11.19 |
Disclaimer/Publisher’s Note: The statements, opinions and data contained in all publications are solely those of the individual author(s) and contributor(s) and not of MDPI and/or the editor(s). MDPI and/or the editor(s) disclaim responsibility for any injury to people or property resulting from any ideas, methods, instructions or products referred to in the content. |
© 2024 by the authors. Licensee MDPI, Basel, Switzerland. This article is an open access article distributed under the terms and conditions of the Creative Commons Attribution (CC BY) license (http://creativecommons.org/licenses/by/4.0/).
