Submitted:
18 April 2024
Posted:
19 April 2024
You are already at the latest version
Abstract
Keywords:
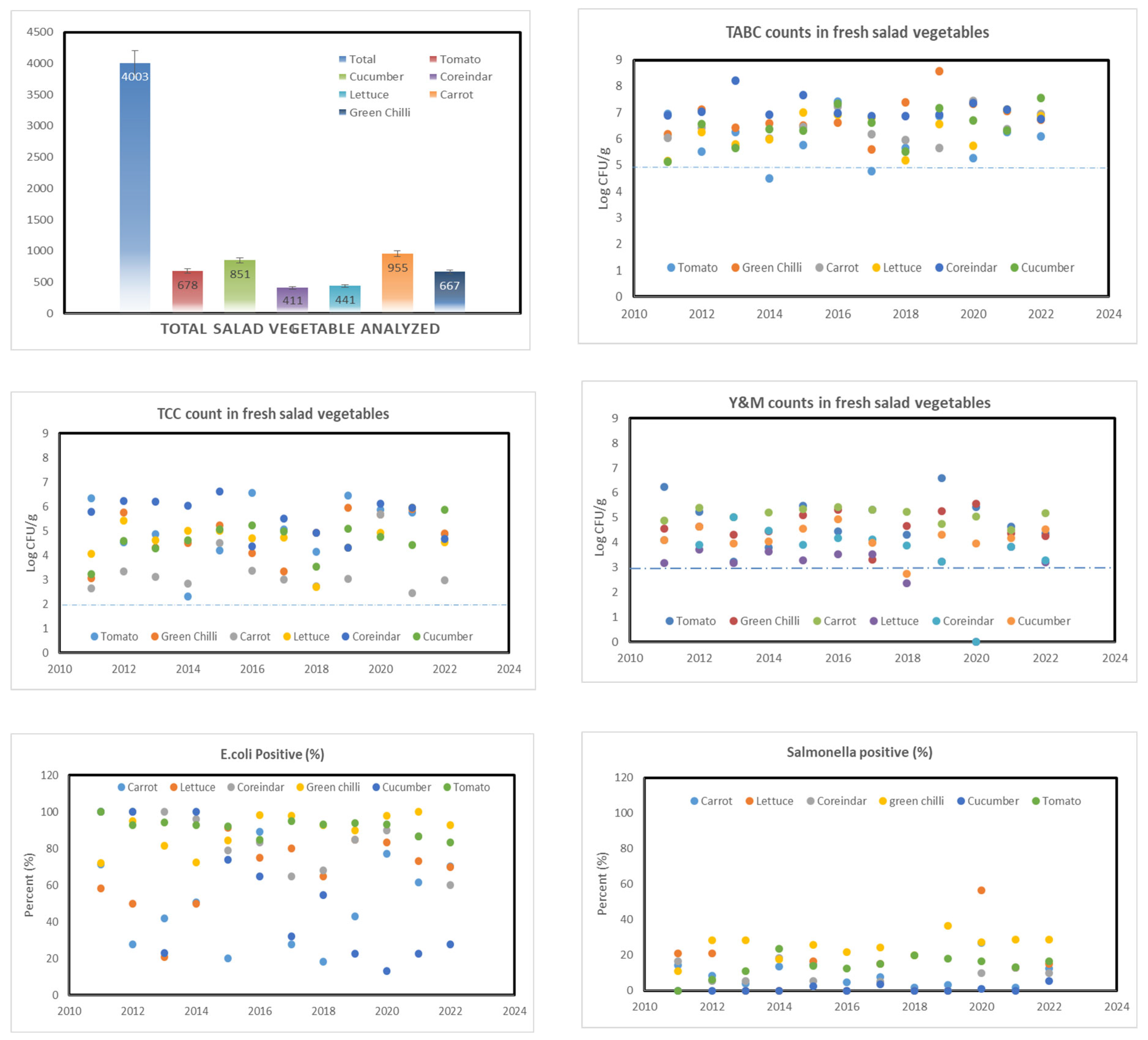
Introduction
Use of Sanitizers
Calcinated Calcium (Green Agrowash®):
Conclusions
References
- Aaliya, B.; Sunooj, K.V.; Navaf, M.; Akhila, P.P.; Sudheesh, C.; Mir, S.A.; Sabu, S.; Sasidharan, A.; Hlaing, M.T.; George, J. Recent trends in bacterial decontamination of food products by hurdle technology: A synergistic approach using thermal and non-thermal processing techniques. Food Res. Int. 2021, 147, 110514. [Google Scholar] [CrossRef] [PubMed]
- Ahmed, S.; Siddique, A.; Rahman, M.; Bari, L.; Ferdousi, S. A study on the prevalence of heavy metals, pesticides, and microbial contaminants and antibiotics resistance pathogens in raw salad vegetables sold in Dhaka, Bangladesh. Heliyon 2019, 5, e01205. [Google Scholar] [CrossRef] [PubMed]
- Akoachere, J.-F.T.K.; Tatsinkou, B.F.; Nkengfack, J.M. Bacterial and parasitic contaminants of salad vegetables sold in markets in Fako Division, Cameroon and evaluation of hygiene and handling practices of vendors. BMC Res. Notes 2018, 11, 100. [Google Scholar] [CrossRef] [PubMed]
- Alexandre, E.; Santos-Pedro, D.M.; Brandão, T.; Silva, C. Influence of aqueous ozone, blanching and combined treatments on microbial load of red bell peppers, strawberries and watercress. J. Food Eng. 2011, 105, 277–282. [Google Scholar] [CrossRef]
- Akbas, M.; Ölmez, H. Inactivation of Escherichia coli and Listeria monocytogenes on iceberg lettuce by dip wash treatments with organic acids. Lett. Appl. Microbiol. 2007, 44, 619–624. [Google Scholar] [CrossRef] [PubMed]
- Amin, M. N. , Gulandaz, M. A., Sabuz, A. A., Islam, M. N., Miaruddin, M., Uddin, M. A., & Bari, M. L. (2021). Use of non-chlorine sanitizer and low-cost packages enhancing microbial safety and quality of commercial cold-stored carrots. Journal of Food Processing and Preservation, 45(1), e15065.
- Añino, R. A. (2006). Evaluación de las características de sustancias de referencia secundarias bajo la custodia del Instituto Especializado de Análisis (Doctoral dissertation, Universidad de Panamá. Vicerrectoría de Investigación y Postgrado).
- Arslan-Alaton, I.; Olmez-Hanci, T.; Gursoy, B.H.; Tureli, G. H2O2/UV-C treatment of the commercially important aryl sulfonates H-, K-, J-acid and Para base: Assessment of photodegradation kinetics and products. Chemosphere 2009, 76, 587–594. [Google Scholar] [CrossRef] [PubMed]
- Augspole, I. , & Rakcejeva, T. (2013). Effect of hydrogen peroxide on the quality parameters of shredded carrots. In Proceedings of Annual 19th International Scientific Conference Research for Rural Development (pp. 91-97). [Google Scholar]
- Banach, J.; van Overbeek, L.; Groot, M.N.; van der Zouwen, P.; van der Fels-Klerx, H. Efficacy of chlorine dioxide on Escherichia coli inactivation during pilot-scale fresh-cut lettuce processing. Int. J. Food Microbiol. 2018, 269, 128–136. [Google Scholar] [CrossRef]
- Bari, M. L. , Inatsu, Y., Kawasaki, S., Nazuka, E., & Isshiki, K. (2002). Calcinated calcium killing of Escherichia coli O157: H7, Salmonella, and Listeria monocytogenes on the surface of tomatoes. Journal of Food Protection, 65(11), 1706-1711.
- Bartz, J.A.; Yuk, H.-G.; Mahovic, M.J.; Warren, B.R.; Sreedharan, A.; Schneider, K.R. Internalization of Salmonella enterica by tomato fruit. Food Control. 2015, 55, 141–150. [Google Scholar] [CrossRef]
- Borges, G.; Lean, M.E.J.; Roberts, S.A.; Crozier, A. Bioavailability of dietary (poly)phenols: a study with ileostomists to discriminate between absorption in small and large intestine. Food Funct. 2013, 4, 754–762. [Google Scholar] [CrossRef] [PubMed]
- Buss, B. F. , Joshi, M. V., Dement, J. L., Cantu, V., & Safranek, T. J. (2016). Multistate product traceforward investigation to link imported romaine lettuce to a US cyclosporiasis outbreak–Nebraska, Texas, and Florida, June–August Epidemiology & Infection, 144(13), 2709-2718.
- Chrysargyris, A.; Rousos, C.; Xylia, P.; Tzortzakis, N. Vapour Application of Sage Essential Oil Maintain Tomato Fruit Quality in Breaker and Red Ripening Stages. Plants 2021, 10, 2645. [Google Scholar] [CrossRef]
- Ceuppens, S.; Hessel, C.T.; Rodrigues, R.d.Q.; Bartz, S.; Tondo, E.C.; Uyttendaele, M. Microbiological quality and safety assessment of lettuce production in Brazil. Int. J. Food Microbiol. 2014, 181, 67–76. [Google Scholar] [CrossRef]
- Chang, A.S.; Schneider, K.R. Evaluation of Overhead Spray-Applied Sanitizers for the Reduction of Salmonella on Tomato Surfaces. J. Food Sci. 2011, 77, M65–9. [Google Scholar] [CrossRef]
- Coudray-Meunier, C. , Fraisse, A., Martin-Latil, S., Guillier, L., Delannoy, S., Fach, P., & Perelle, S. (2015). A comparative study of digital RT-PCR and RT-qPCR for quantification of Hepatitis A virus and Norovirus in lettuce and water samples. International Journal of Food Microbiology, 201, 17-26.
- D'Amato, S.; Serio, A.; López, C.C.; Paparella, A. Hydrosols: Biological activity and potential as antimicrobials for food applications. Food Control. 2018, 86, 126–137. [Google Scholar] [CrossRef]
- Denayer, S.; Delbrassinne, L.; Nia, Y.; Botteldoorn, N. Food-Borne Outbreak Investigation and Molecular Typing: High Diversity of Staphylococcus aureus Strains and Importance of Toxin Detection. Toxins 2017, 9, 407. [Google Scholar] [CrossRef]
- Deng, L.-J.; Qi, M.; Li, N.; Lei, Y.-H.; Zhang, D.-M.; Chen, J.-X. Natural products and their derivatives: Promising modulators of tumor immunotherapy. J. Leukoc. Biol. 2020, 108, 493–508. [Google Scholar] [CrossRef]
- Donnan, E.J.; Fielding, J.E.; Gregory, J.E.; Lalor, K.; Rowe, S.; Goldsmith, P.; Antoniou, M.; Fullerton, K.E.; Knope, K.; Copland, J.G.; et al. A Multistate Outbreak of Hepatitis A Associated With Semidried Tomatoes in Australia, 2009. Clin. Infect. Dis. 2012, 54, 775–781. [Google Scholar] [CrossRef]
- Engels, C.; Schieber, A.; Gänzle, M.G. Sinapic acid derivatives in defatted Oriental mustard (Brassica juncea L.) seed meal extracts using UHPLC-DAD-ESI-MS n and identification of compounds with antibacterial activity. Eur. Food Res. Technol. 2012, 234, 535–542. [Google Scholar] [CrossRef]
- Eraky, M.A.; Rashed, S.M.; Nasr, M.E.-S.; El-Hamshary, A.M.S.; El-Ghannam, A.S. Parasitic Contamination of Commonly Consumed Fresh Leafy Vegetables in Benha, Egypt. J. Parasitol. Res. 2014, 2014, 1–7. [Google Scholar] [CrossRef] [PubMed]
- European Commission. Regulation (EC) No 1334/2008 on flavourings. Off. J. Eur. Union (2008). 354, 34–50.
- Feroz, F., Senjuti, J. D., & Noor, R. (2013). Determination of microbial growth and survival in salad vegetables through in vitro challenge test. International Journal of Nutrition and Food Sciences, 2(6), 312-319.
- Gibson, K.E.; Almeida, G.; Jones, S.L.; Wright, K.; Lee, J.A. Inactivation of bacteria on fresh produce by batch wash ozone sanitation. Food Control. 2019, 106, 106747. [Google Scholar] [CrossRef]
- Gombas, D.; Luo, Y.; Brennan, J.; Shergill, G.; Petran, R.; Walsh, R.; Hau, H.; Khurana, K.; Zomorodi, B.; Rosen, J.; et al. Guidelines To Validate Control of Cross-Contamination during Washing of Fresh-Cut Leafy Vegetables. J. Food Prot. 2017, 80, 312–330. [Google Scholar] [CrossRef]
- Guchi, B.; Ashenafi, M. Microbial load, prevalence and antibiograms of Salmonella and Shigella in lettuce and green peppers. Ethiop. J. Heal. Sci. 2011, 20, 41–48. [Google Scholar] [CrossRef] [PubMed]
- Honjoh, K.-I.; Iwaizako, Y.; Lin, Y.; Kijima, N.; Miyamoto, T. Possibilities for Contamination of Tomato Fruit by Listeria monocytogenes during Cultivation. Food Sci. Technol. Res. 2016, 22, 349–357. [Google Scholar] [CrossRef]
- Ibrahim, H.S.; Ibrahim, M.A.; Samhan, F.A. Distribution and bacterial bioavailability of selected metals in sediments of Ismailia Canal, Egypt. J. Hazard. Mater. 2009, 168, 1012–1016. [Google Scholar] [CrossRef] [PubMed]
- Islam, Z.; Sultana, S.; Rahman, M.M.; Rahman, S.R.; Bari, L. Effectiveness of different sanitizers in inactivating E. coli O157:H7 in Tomato and Cucumber. J. Food Nutr. Sci. 2015, 3, 60. [Google Scholar] [CrossRef]
- Jing, J. L. J. , Pei Yi, T., Bose, R. J., McCarthy, J. R., Tharmalingam, N., & Madheswaran, T. (2020). Hand sanitizers: a review on formulation aspects, adverse effects, and regulations. International journal of environmental research and public health, 17(9), 3326.
- Khadiza A., R. (2018). Effectiveness of non-chlorine sanitizers on green chilli, and coriander leaf of Dhaka City, MS Thesis, Department of Microbiology, Jagannath University, Dhaka -1100.
- Kim, J. G. (2012). Environmental friendly sanitation to improve quality and microbial safety of fresh-cut vegetables. Sammour R, Biotechnology–Molecular Studies and Novel Applications for Improved Quality of Human Life, 173-196.
- Lambertini, E.; Buchanan, R.L.; Narrod, C.; Pradhan, A.K. Transmission of Bacterial Zoonotic Pathogens between Pets and Humans: The Role of Pet Food. Crit. Rev. Food Sci. Nutr. 2015, 56, 364–418. [Google Scholar] [CrossRef] [PubMed]
- Li, K.; Chiu, Y.-C.; Jiang, W.; Jones, L.; Etienne, X.; Shen, C. Comparing the Efficacy of Two Triple-Wash Procedures With Sodium Hypochlorite, a Lactic–Citric Acid Blend, and a Mix of Peroxyacetic Acid and Hydrogen Peroxide to Inactivate Salmonella, Listeria monocytogenes, and Surrogate Enterococcus faecium on Cucumbers and Tomatoes. Front. Sustain. Food Syst. 2020, 4. [Google Scholar] [CrossRef]
- Maffei, D.F.; Alvarenga, V.O.; Sant’ana, A.S.; Franco, B.D. Assessing the effect of washing practices employed in Brazilian processing plants on the quality of ready-to-eat vegetables. LWT 2016, 69, 474–481. [Google Scholar] [CrossRef]
- Martín-Diana, A.B.; Rico, D.; Barry-Ryan, C.; Frías, J.M.; Mulcahy, J.; Henehan, G.T. Comparison of calcium lactate with chlorine as a washing treatment for fresh-cut lettuce and carrots: quality and nutritional parameters. J. Sci. Food Agric. 2005, 85, 2260–2268. [Google Scholar] [CrossRef]
- Marshall, K. M., Nowaczyk II, L., Raphael, B. H., Skinner, G. E., & Reddy, N. R. (2014). Identification and genetic characterization of Clostridium botulinum serotype A strains from commercially pasteurized carrot juice. Food microbiology, 44, 149-155.
- MacDonald, E. , Heier, B. T., Nygård, K., Stalheim, T., Cudjoe, K. S., Skjerdal, T.,... & Vold, L. (2012). Yersinia enterocolitica outbreak associated with ready-to-eat salad mix, Norway, Emerging Infectious Diseases, 18(9), 1496.
- Mazaheri, S.; Ahrabi, S.S.; Aslani, M.M. Shiga Toxin-Producing Escherichia Coli Isolated from Lettuce Samples in Tehran, Iran. Jundishapur J. Microbiol. 2014, 7, e12346–e12346. [Google Scholar] [CrossRef]
- Walker, S.L.; Rimal, A.P.; K. H. McWATTERS,1* M. P. DOYLE,2 S. L. WALKER,1 A. P. RIMAL,3† and K. VENKITANARAYANAN2‡1Department of Food Science and Technology, University of Georgia, Griffin, Georgia 30223, USA2Center for Food Safety, University of Georgia, Griffin, Georgia 30223, U; Sanz, S.; Giménez, M.; Olarte, C.; Raiden, R.M.; Sumner, S.S.; Eifert, J.D.; Pierson, M.D.; et al. Consumer Acceptance of Raw Apples Treated with an Antibacterial Solution Designed for Home Use. J. Food Prot. 2002, 65, 106–110. [Google Scholar] [CrossRef]
- Mir, S.A.; Shah, M.A.; Mir, M.M.; Dar, B.; Greiner, R.; Roohinejad, S. Microbiological contamination of ready-to-eat vegetable salads in developing countries and potential solutions in the supply chain to control microbial pathogens. Food Control. 2018, 85, 235–244. [Google Scholar] [CrossRef]
- Nascimento, R. C. , & SÃO JOSÉ, J. F. B. D. (2022). Green tea extract: a proposal for fresh vegetable sanitization. Food Science and Technology, 42.
- Neo, S.Y.; Lim, P.Y.; Phua, L.K.; Khoo, G.H.; Kim, S.-J.; Lee, S.-C.; Yuk, H.-G. Efficacy of chlorine and peroxyacetic acid on reduction of natural microflora, Escherichia coli O157:H7, Listeria monocyotgenes and Salmonella spp. on mung bean sprouts. Food Microbiol. 2013, 36, 475–480. [Google Scholar] [CrossRef] [PubMed]
- Pagadala, S.; Marine, S.C.; Micallef, S.A.; Wang, F.; Pahl, D.M.; Melendez, M.V.; Kline, W.L.; Oni, R.A.; Walsh, C.S.; Everts, K.L.; et al. Assessment of region, farming system, irrigation source and sampling time as food safety risk factors for tomatoes. Int. J. Food Microbiol. 2015, 196, 98–108. [Google Scholar] [CrossRef] [PubMed]
- Poimenidou, S. V. , Bikouli, V. C., Gardeli, C., Mitsi, C., Tarantilis, P. A., Nychas, G. J., & Skandamis, P. N. (2016). Effect of single or combined chemical and natural antimicrobial interventions on Escherichia coli O157: H7, total microbiota and color of packaged spinach and lettuce. International Journal of Food Microbiology, 220, 6-18.
- Praeger, U.; Herppich, W.B.; Hassenberg, K. Aqueous chlorine dioxide treatment of horticultural produce: Effects on microbial safety and produce quality–A review. Crit. Rev. Food Sci. Nutr. 2017, 58, 318–333. [Google Scholar] [CrossRef] [PubMed]
- Rahman, J.; Talukder, A.I.; Hossain, F.; Mahomud, S.; Islam, M.A.; Shamsuzzoha, S. Detection of Cryptosporidium oocyts in Commonly Consumed Fresh Salad Vegetables. Am. J. Microbiol. Res. 2014, 2, 224–226. [Google Scholar] [CrossRef]
- Randazzo, W.; Falcó, I.; Aznar, R.; Sánchez, G. Effect of green tea extract on enteric viruses and its application as natural sanitizer. Food Microbiol. 2017, 66, 150–156. [Google Scholar] [CrossRef] [PubMed]
- Ramos, B.; Miller, F.A.; Brandão, T.R.S.; Teixeira, P.; Silva, C.L.M. Fresh fruits and vegetables—An overview on applied methodologies to improve its quality and safety. Innov. Food Sci. Emerg. Technol. 2013, 20, 1–15. [Google Scholar] [CrossRef]
- Rimhanen-Finne, R. , Niskanen, T., Hallanvuo, S., Makary, P., Haukka, K., Pajunen, S.,& Kuusi, M. (2009). Yersinia pseudotuberculosis causing a large outbreak associated with carrots in Finland, Epidemiology & Infection, 137(3), 342-347.
- Rodgers, S. L. , Cash, J. N., Siddiq, M., & Ryser, E. T. (2004). A comparison of different chemical sanitizers for inactivating Escherichia coli O157: H7 and Listeria monocytogenes in solution and on apples, lettuce, strawberries, and cantaloupe. Journal of food protection, 67(4), 721-731.
- Ruiz-Cruz, S. , Acedo-Félix, E., Díaz-Cinco, M., Islas-Osuna, M. A., & González-Aguilar, G. A. (2007). Efficacy of sanitizers in reducing Escherichia coli O157: H7, Salmonella spp. and Listeria monocytogenes populations on fresh-cut carrots. Food Control, 18(11), 1383-1390.
- Sapers, G.M.; Jones, D.M. Improved Sanitizing Treatments for Fresh Tomatoes. J. Food Sci. 2006, 71, M252–M256. [Google Scholar] [CrossRef]
- Sagoo, S.K.; Little, C.L.; Ward, L.; Gillespie, I.A.; Mitchell, R.T.; S. K. SAGOO,1 C. L. LITTLE,1* L. WARD,2 I. A. GILLESPIE,3 and R. T. MITCHELL11Environmental Surveillance Unit, 61 Colindale Avenue, London NW9 5EQ, UK3Gastrointestinal Diseases Division, Public Health Laboratory Service, Communicable Disease Surveillance; Mritunjay, S.K.; Kumar, V.; Xu, A.; Pahl, D.M.; et al. Microbiological Study of Ready-to-Eat Salad Vegetables from Retail Establishments Uncovers a National Outbreak of Salmonellosis. J. Food Prot. 2003, 66, 403–409. [Google Scholar] [CrossRef] [PubMed]
- Shenoy, A.G.; Oliver, H.F.; Deering, A.J.; Shenoy, H.F.O.A.G.; Gustafson, R.E.; Ryser, E.T. Listeria monocytogenes Internalizes in Romaine Lettuce Grown in Greenhouse Conditions. J. Food Prot. 2017, 80, 573–581. [Google Scholar] [CrossRef]
- Singh, N. , Singh, R. K., Bhunia, A. K., & Stroshine, R. L. (2002). Efficacy of chlorine dioxide, ozone, and thyme essential oil or a sequential washing in killing Escherichia coli O157: H7 on lettuce and baby carrots. LWT, 35(8), 720-729.
- Singh, P.; Hung, Y.; Qi, H. Efficacy of Peracetic Acid in Inactivating Foodborne Pathogens on Fresh Produce Surface. J. Food Sci. 2018, 83, 432–439. [Google Scholar] [CrossRef] [PubMed]
- Sun, X.; Baldwin, E.; Bai, J. Applications of gaseous chlorine dioxide on postharvest handling and storage of fruits and vegetables – A review. Food Control. 2018, 95, 18–26. [Google Scholar] [CrossRef]
- Tahir, U.; Zameer, M.; Zahra, N.; Almas, M.; Rafique, A.; Ilyas, S.; Shabbir, A.; Mehreen, A.; Shafiq, M.I.; Mazhar, M.; et al. Isolation and Characterization of Shiga-toxigenic Escherichia coli Isolated from Various Food Samples. J. Food Nutr. Res. 2022, 10, 19–25. [Google Scholar] [CrossRef]
- Tiwari, B.K.; Valdramidis, V.P.; O’Donnell, C.P.; Muthukumarappan, K.; Bourke, P.; Cullen, P.J. Application of Natural Antimicrobials for Food Preservation. J. Agric. Food Chem. 2009, 57, 5987–6000. [Google Scholar] [CrossRef] [PubMed]
- Tzortzakis, N.G. Ethanol, vinegar and Origanum vulgare oil vapour suppress the development of anthracnose rot in tomato fruit. Int. J. Food Microbiol. 2010, 142, 14–18. [Google Scholar] [CrossRef] [PubMed]
- Tzortzakis, N.; Chrysargyris, A.; Sivakumar, D.; Loulakakis, K. Vapour or dipping applications of methyl jasmonate, vinegar and sage oil for pepper fruit sanitation towards grey mould. Postharvest Biol. Technol. 2016, 118, 120–127. [Google Scholar] [CrossRef]
- Uddin, N.; Zaman, S.; Aziz, A.; Yamamoto, K.; Nakaura, Y.; Bari, L. Microbial Safety, Visual Quality and Consumers’ Perception of Minimally- Processed Ready-to-eat Salad Vegetables Prepared and Stored at Room and Refrigeration Temperature. Bangladesh J. Microbiol. 2022, 38, 51–62. [Google Scholar] [CrossRef]
- Utaaker, K.S.; Skjerve, E.; Robertson, L.J. Keeping it cool: Survival of Giardia cysts and Cryptosporidium oocysts on lettuce leaves. Int. J. Food Microbiol. 2017, 255, 51–57. [Google Scholar] [CrossRef]
- Vandekinderen, I.; Van Camp, J.; De Meulenaer, B.; Veramme, K.; Denon, Q.; Ragaert, P.; Devlieghere, F. THE EFFECT OF THE DECONTAMINATION PROCESS ON THE MICROBIAL AND NUTRITIONAL QUALITY OF FRESH-CUT VEGETABLES. Acta Hortic. 2007, 173–180. [Google Scholar] [CrossRef]
- Vázquez-Armenta, F.J.; Silva-Espinoza, B.A.; Cruz-Valenzuela, M.R.; González-Aguilar, G.A.; Nazzaro, F.; Fratianni, F.; Ayala-Zavala, J.F. Antibacterial and antioxidant properties of grape stem extract applied as disinfectant in fresh leafy vegetables. J. Food Sci. Technol. 2017, 54, 3192–3200. [Google Scholar] [CrossRef]
- Wei, S.; Park, B.-J.; Seo, K.-H.; Oh, D.-H. Highly efficient and specific separation of Staphylococcus aureus from lettuce and milk using Dynabeads protein G conjugates. Food Sci. Biotechnol. 2016, 25, 1501–1505. [Google Scholar] [CrossRef] [PubMed]
- Wu, J.; Chen, S.; Ge, S.; Miao, J.; Li, J.; Zhang, Q. Preparation, properties and antioxidant activity of an active film from silver carp (Hypophthalmichthys molitrix) skin gelatin incorporated with green tea extract. Food Hydrocoll. 2013, 32, 42–51. [Google Scholar] [CrossRef]
- Xu, W., & Wu, C. (2014). Different efficiency of ozonated water washing to inactivate Salmonella enterica Typhimurium on green onions, grape tomatoes, and green leaf lettuces. Journal of food science, 79(3), M378-M383.
- Xylia, P.; Ioannou, I.; Chrysargyris, A.; Stavrinides, M.C.; Tzortzakis, N. Quality Attributes and Storage of Tomato Fruits as Affected by an Eco-Friendly, Essential Oil-Based Product. Plants 2021, 10, 1125. [Google Scholar] [CrossRef] [PubMed]
- Xylia, P.; Chrysargyris, A.; Miltiadous, P.; Tzortzakis, N. Origanum dubium (Cypriot Oregano) as a Promising Sanitizing Agent against Salmonella enterica and Listeria monocytogenes on Tomato and Cucumber Fruits. Biology 2022, 11, 1772. [Google Scholar] [CrossRef]
- Yeomans, D. , & Quiñones-Rivera, A. (2021). Considerations Toward Lower Toxicity Cleaning in K-12 Schools. Journal of Environmental Health, 84(3).
- Zaman, S.; Nahar, Q.; al Mamun, A.; Ahmed, R.; Bari, L. Use of non-chlorine sanitizer in eliminating bacterial and fungal pathogens from betel leaves - A field level study. J. Agric. Food Res. 2021, 6, 100198. [Google Scholar] [CrossRef]

| Bacteria | Selected Vegetables | References |
|---|---|---|
| Clostridium botulinum | carrots | Marshall et al., 2014 |
| Shiga-Toxigenic Escherichia coli | Lettuce, Tomato | Mazaheri et al., 2014; Tahir et al., 2022 |
| Listeria monocytogenes | Lettuce, tomato | Shenoy et al., 2017; Honjoh et al., 2016 |
| Salmonella spp. | Lettuce, tomato | Ceuppens et al., 2014; Bartz et al., 2015 |
| Shigella spp. | Lettuce, salad vegetables | Guchi et al., 2010 |
| Staphylococcus aureus | Lettuce, tomato, carrot | Wei et al., 2016; Colombari et al., 2007; Denayer et al., 2017 |
| Yersinia enterocolitica | Carrots, cucumber, lettuce, tomatoes | Rimhanen et al., 2009;Islam et al., 2015; MacDonald et al., 2012 |
| Viruses | ||
| Hepatitis A and Norovirus | Lettuce | Coudray-Meunier et al., 2015; Donnann et al., 2012 |
| Protozoa | ||
| Cryptosporidium spp. and Cyclospora spp | Lettuce | Utaaker et al., 2017; Buss et al., 2016 |
| Vegetable crop | Scientific name | Type of Microorganism |
|---|---|---|
| Lettuce | Aeromonas & Pectobacterium spp. (bacterial soft rot) | Bacteria |
| Tomato | Lactic acid bacteria | Bacteria |
| Lettuce & Tomato | Xanthomonas | Bacteria |
| Carrot, Lettuce, & Tomato | Pseudomonas (bacterial spot) | Bacteria |
| Carrot, Cucumber, Lettuce & Onion | Erwinia (soft rot), | Bacteria |
| Cucumber, Onion, & Tomato, | Bacillus | Bacteria |
| Carrot | Thielaviopsis basicola (black root rot) | Fungi |
| Cucumber | Pythium (cottony rot) | Fungi |
| Tomato | Phytophthora | Fungi |
| Cucumber, & Tomato | Penicillium (blue mold) & Rhizopus | Fungi |
| Onion, & Tomato | Aspergillus niger (black rot) | Fungi |
| Carrot, Lettuce, & Tomato | Sclerotinia (white rot, white mold) | Fungi |
| Carrot, Lettuce, Onion, Tomato | Geotrichum | Fungi |
| Capsicum, Cucumber, Onion, & Tomato | Collectotrichum (Anthracnose) | Fungi |
| Capsicum, Carrot, Cucumber, & Tomato | Rhizopus spp. (storage rot, rhizopus rot) | Fungi |
| Carrot, Cucumber, Lettuce, Onion & Tomato | Botrytis spp. (neck rot, grey mold) | Fungi |
| Capsicum, Carrot, Cucumber, Onion, Tomato, | Fusarium (soft rot, dry rot) & Alternaria spp. (black rot) | Fungi |
| Factors | Chlorine-based sanitizers | Non-chlorine sanitizers |
|---|---|---|
| Reduced Chemical Residue | Can leave behind chemical residues that may affect the taste and safety of vegetables | Can effectively sanitize vegetables without leaving harmful residues. |
| Gentler on Produce | Can sometimes be harsh on delicate salad vegetables, potentially causing discoloration or off-flavors. | Often gentler and less likely to affect the appearance or taste of the vegetables |
| Effective Pathogen Reduction | Can be effective in pathogen reduction but the creation of chlorine byproducts harms human health. | Can effectively reduce pathogens and no such byproduct occurred which harms human health. |
| Organic Compliance | Doesn’t adhere to organic standards, | Align more closely with organic certification requirements |
| Versatility | May not be suitable for certain sensitive vegetables. | Often be used across a wider range of vegetables without adverse effects. |
| Reduced Environmental Impact | Can have environmental implications, including the formation of harmful disinfection byproducts. | No environmental implications, impact and no formation of harmful byproducts |
| Consumer Preferences | May not prefer by some consumers because causes harm to environment | May prefer due to perceived health and environmental benefits |
| Sanitizer | Allowable Levels | Advantages | Disadvantages | Rinse Step | Additional Comments | References |
|---|---|---|---|---|---|---|
| Calcinated Calcium (CCA) | Use 1g powder/10L water (giving a concentration of 0.01% and pH about 11) and 40 s wash | Calcinated calcium (CCa) is safe and eco-friendly, produced from marine waste (scallop shells) | If not dissolve properly may contribute residues on the vegetable surface. Can be affected by organic load in wash water | Yes | effective at lower dose, high pH , less contact time, available and cheap | Ahmed et al., 2019; Bari et al., 2002 |
| Aqueous Chlorine di oxide (ClO2) | ClO2 5 mg/L, 60 s overhead spray and brush roller system at 25 °C. | Easy to handle, inexpensive; It can be used in the form of spray, immerse or washing; Concentration and contact can be maintained; Easy to adopt in industrial washing lines | Produce surface properties can affect ClO2 accessibility to microbes; Residual moisture after the water rinsing can promote microbial growth; | yes | Not suitable for dried foods ; Relatively less effect on microbial internalization | Praeger et al., 2018; Banach et al. (2017). |
| Hydrogen Peroxide (H2O2) | Typical concentration used: (0.04–2%); Environmentally friendly. Declared GRAS by FDA. | Breaks down easily, no harmful by-products; Higher temperatures could produce better reduction | Higher concentrations can cause browning or bleaching in certain products and can be corrosive and irritating. Unstable degrades fast | No | Commercially available at 31-70%, but 30-50% is most common. Dilute (3%) solutions are available to consumers. | McWatters 2002; Olmez 2009 |
| Ozone (O3) | No regulatory limit but typically used at 2-10 ppm for up to 5 min; Activity reduced in presence of organic load | Declared GRAS by FDA. Environmentally friendly; Effective at low concentrations; No harmful end products. | Has to be generated on-site; unstable and highly reactive; Corrosive to equipment; OSHA requirements on employee exposure. | No | Solubility in water increases at lower temperatures and pH. Does not work as well at higher pH. | Ramos et al. 2013; Picchioni 1996; Martin-Diana 2005; Anino 2006; Alexandre 2011 |
| Organic acids (acetic acid, citric acid, lactic acid, and tartaric acid, oxalic acid, ascorbic acid, and phytic acid). | 1% oxalic acid, 0.03% phytic acid, 0.5% CA 0.5% lactic 2 min or 2% acetic acid for 15 min | Organic acids have been used as sanitizers for fresh produce. The FDA recognizes organic acids as GRAS, | Their usefulness against microorganisms is generally low and requires high concentrations for long periods. Sensory quality might also be affected with 5-15 min treatment | No | Effective at higher conc, depends on water quality and costly; Antimicrobial efficacy is dependent on the microorganism strain and acid type. | Ramos et al. (2013); (Olmez 2009); Akbas (2007) |
| Peroxyacetic Acid | Strong oxidizing agent;Use 80 ppm- 150 ppm; 2 min on fruits and vegetables; Can work well in cooler temperatures; | Environmentally friendly and less corrosive to equipment; Works at a wide range of pH values and temperatures; Effective against biofilms ;Not as sensitive to organic load as chlorine. | Cost more than chlorine; Vinegar odor; losses its effectiveness in the presence of metals (copper); High concentrations damage produce and can shorten shelf life. | No | Store in a well-ventilated area; Concentrated peroxyacetic acid is a safety hazard. | Uddin et al.2021; Neo et al (2013); Shan Yu 2013; Gombas 2017; Vandekinderen 2007 |
| Plant extracts (bioactive compounds) | Grape stem extract, 2.5% solution; 2 min, and dried for 30 min could reduce pathogen by 2.0 -4.0 log CFU/g in lettuce; oregano aqueous extract for 2 min; green tea extract 60% GTE for 5 min; Essential Oil (Cypriot Oregano), 0.1% for 10 min | The antibacterial activity could be due to the damage of cytoplasmic membrane, inhibition of synthesis of nucleic acids, cell wall components, and cell membrane (Bernard et al. 1997; Borges et al. 2013; Wu et al. 2013). | fewer effects than chemical sanitizers and non-economic efficiency; unpleasant aroma; longer durations; | no | Store in dark place; since sensitive to light, volatile nature; higher concentration(0.5%) resulted in softer fruits; | Vázquez-Armenta, et al., 2017; Poimenidou et al. 2016; Ascimento, & São josé, 2022; Xylia et al., 2022 |
| Aqueous ClO2, (Praeger et al., 2018) | |
| Advantages | Disadvantages |
| Easy to handle, inexpensive | Produce surface properties can affect ClO2 accessibility to microbes |
| It can be used in the form of a spray, immerse or washing | Cross-contamination of wash water |
| Concentration and contact can be maintained | Water rinsing is required after the treatment |
| Easy to adopt in industrial washing lines | Residual moisture after the water rinsing can promote microbial growth |
| Not suitable for dried foods | |
| Relatively less effect on microbial internalization | |
| Gaseous ClO2, (Sun et al., 2019) | |
| Advantages | Disadvantages |
| Higher antimicrobial activity | Needs onsite generation |
| It can be applied as batch treatment or continuous treatment | Needs technical knowledge |
| High accessibility to microbes, irrespective of surface barriers | laborious to perform, expensive |
| No water rinsing is required after the treatment | Explosive at higher concentration |
| It can impact microbial internalization | Challenging to maintain concentration and contact time |
| No issue of cross-contamination of wash water | Challenging to implement at the industry scale |
| Vegetables | Non-chlorine sanitizers (Conc & contact time) | Microorganisms | Maximum reduction (log CFU/g) | Complete reduction /Number of samples | References |
|---|---|---|---|---|---|
| Lettuce | Peracetic Acid (PAA); (100 mg/L; 5 min at 65 rpm) | E. coli O157:H7, | 2.2 | 0/6 | Singh et al., 2018 |
| S. Typhimurium DT104 | 6.8 | 6/6 | |||
| L. monocytogenes, | 2.4 | 0/6 | |||
| Lactic acid (2%; 5 min at 65 rpm) | E. coli O157:H7, | 1.7 | 0/6 | ||
| L. monocytogenes, | 1.7 | 0/6 | |||
| Calcinated calcium: 0.01% for 40-60 sec | Escherichia coli | 2.1 | 3/3 | Feroz et al., 2013 | |
| Hydrogen peroxide (H2O2); (2% for 90 sec) | E.coli O157:H7 | 4.3 | 0/3 | Lin et al., 2002 | |
| S. Enteritidis | 4.3 | 0/3 | |||
| Aquous Ozone (O3); (3 ppm for 5 min) | E. coli O157:H7, | 5.9 | 0/5 | Rodgers et al., 2004 | |
| Listeria monocytogenes | 5.9 | ||||
| ClO2 3 ppm, 5 min | E. coli O157:H7, | 5.8 | |||
| Listeria monocytogenes | 6.0 | ||||
| Plant extract (grape stem extract, 25 mg/ml) | E.coli O157:H7 | 0.7 | 0/5 | Vázquez-Armenta, et al., 2017 | |
| S. enterica | 1.0 | 0/5 | |||
| L. monocytogenes | 0.8 | 0/5 | |||
| Tomato | PAA at 100 mg/L; 5 min@65 rpm (Laboratory scale) | E. coli O157:H7, | 5.5 | 3/6 | Singh et al., 2018 |
| S. Typhimurium DT104 | 6.8 | 6/6 | |||
| L. monocytogenes | 2.4 | 0/6 | |||
| Lactic acid (2%); 5 min@65 rpm | E. coli O157:H7, | 2.4 | 0/6 | ||
| S. Typhimurium DT104 | 4.8 | 0/6 | |||
| L. monocytogenes | 2.3 | 0/6 | |||
| ClO2 5 mg/L, 60 s (Commercial scale) | Salmonella spp. | 4.9 | 0/15 | Chang et al., 2012 | |
| PAA 80 mg/L, 60 s (Commercial scale) | Salmonella spp. | 5.5 | 15/15 | Chang et al., 2012 | |
| Calcinated calcium for 1 min 0.01% | E. coli O157:H7 | 7.6 | 0/3 | Bari et al., 2002 | |
| Salmonella spp. | 7.4 | ||||
| L. monocytogenes | 7.5 | ||||
| H2O2; 5% for 2 min, 60 ⁰C; | Salmonella spp. | 2.6 | 0/3 | Sapers et al., 2006 | |
| E.coli | 1.4 | ||||
| L. monocytogenes | 2.5 | ||||
| Aquous O3; 0.45 ppm for 10 min | Salmonella spp. | 4.5 | 0/6 | Xu et al., 2004 | |
| Green tea extract 60%; 5 min | E.coli | 5.66 ±0.1 | 3/3 | Nascimento, & São josé, 2022 | |
| S. enteriditis | 5.23±0.12 | 0/3 | |||
| Cucumber | Peracetic Acid (PAA) 0.5% | S. typhimurium | 2.66 ± 0.20 | 0/12 | Li et al., 2020 |
| L. monocytogenes | 1.28 ± 0.35 | ||||
| Lactic acid (2%) | S. Typhimurium | 2.14 ± 0.26 | |||
| L. monocytogenes | 0.75 ± 0.43 | ||||
| Calcinated calcium (0.01 % for 1 min) | E.coli | 3.62 ± 0.1 | 3/3 | Ahmed et al., 2019 | |
| H2O2; 0.5% for 2 min | S. Typhimurium | 2.63 ± 0.19 | 0/12 | Li et al., 2020 | |
| L. monocytogenes | 1.16 ± 0.40 | ||||
| Aquous O3; 2% for 5 min | - | - | - | - | |
| ClO2; 100 ppm | E.coli | 2.61± 0.1 | 0/5 | Chung et al., 2011 | |
| Green tea extract 60%; 5 min | S. enterica | 2.0 ± 0.1 | 0/4 | Xylia et al., 2022 | |
| L. monocytogenes | 2.07 ± 0.1 | ||||
| Carrot | Peracetic Acid (PAA) 40 ppm, 1 min; | E.coli | 0.5 | 0/4 | Ruiz-Cruz et al., 2007 |
| Salmonella spp. | 1.5 | ||||
| L. monocytogenes | 0.5 | ||||
| lactic acid (0.1%); 5 min | E.coli O157:H7 | 0.4 | 0/5 | Gyawali et al., 2012 | |
| Calcinated calcium (0.01% for 1 min) | E. coli | 0.5 | 3/3 | Amin et al., 2021 | |
| Salmonella spp. | 0.5 | 3/3 | |||
| H2O2; 1.5% for 90 sec | E.coli | 0.8 | 0/3 | Augspole et al., 2013 | |
| Aqueous O3; 16.5 mg/L | E.coli O157:H7 | 1.85 | 0/3 | Singh et al., 2002 | |
| ClO2: 20 mg/L | E.coli O157:H7 | 3.0 | 0/3 | ||
| Plant Extract | - | - | - | - | |
| Green chilli | Peracetic Acid (PAA) | - | - | - | - |
| Lactic acid | - | - | - | - | |
| Calcinated calcium (0.01% for 1 min) | E.coli | 0.5 | 0/3 | Khadiza A. R. (2018) | |
| Salmonella spp. | 0.5 | 0/3 | |||
| H2O2; 0.5% for 2 min | E.coli | 0.5 | 0/3 | Khadiza A. R. (2018) | |
| Salmonella spp. | 0.5 | 0/3 | |||
| Aqueous O3; | - | - | - | ||
| ClO2; | - | - | - | - | |
| Plant extract | - | - | - | - | |
| Coriander leaf | Peracetic Acid (PAA) | - | - | - | - |
| Lactic acid | - | - | - | - | |
| Calcinated calcium (0.01% for 1 min) | E.coli | 1.6±0.1 | 3/3 | Khadiza A. R. (2018) | |
| H2O2 | - | - | - | - | |
| Aqueous Ozone (O3); 6% for 30 min | E.coli | 2.5 | 0/3 | Gibson et al., 2019 | |
| S. Typhimurium | 2.7 | 0/3 | |||
| Aqueous ClO2 | - | - | - | - | |
| Plant extract | - | - | - | - |
Disclaimer/Publisher’s Note: The statements, opinions and data contained in all publications are solely those of the individual author(s) and contributor(s) and not of MDPI and/or the editor(s). MDPI and/or the editor(s) disclaim responsibility for any injury to people or property resulting from any ideas, methods, instructions or products referred to in the content. |
© 2024 by the authors. Licensee MDPI, Basel, Switzerland. This article is an open access article distributed under the terms and conditions of the Creative Commons Attribution (CC BY) license (http://creativecommons.org/licenses/by/4.0/).
