Submitted:
02 April 2024
Posted:
10 April 2024
You are already at the latest version
Abstract
Keywords:
1. Introduction
2. Materials and Methods
-
Continuous variables:Annual herd milk yield (kg)
-
Categorical variables
- -
- Vaccination against Q fever (farms with vaccination; farms without vaccination (reference))
- -
- Study period (Period 1 = t-1 – t0, (reference); Period 2 = t0 – t+1; Period 3 = t+1 – t+2)
- -
- Floor type lactating cows (concrete floor (reference); slatted floor; grooved slatted floor, rubber floor)
- -
- Udder cluster disinfection while milking (yes; no (reference); automatic milking system (AMS))
- -
- Fresh food after milking (yes; no (reference))
- -
- Vaccination of dams against neonatal diarrhea in calves (yes; no (reference))
-
Interactions
- -
- Vaccination against Q fever x study period
- -
- Vaccination against Q fever x annual herd milk yield (kg)
- -
- Vaccination against Q fever x floor type
- -
- Vaccination against Q fever x udder cluster disinfection while milking
- -
- Vaccination against Q fever x fresh food after milking
- -
- Vaccination against Q fever x vaccination of pregnant cows against neonatal diarrhea in calves
3. Results
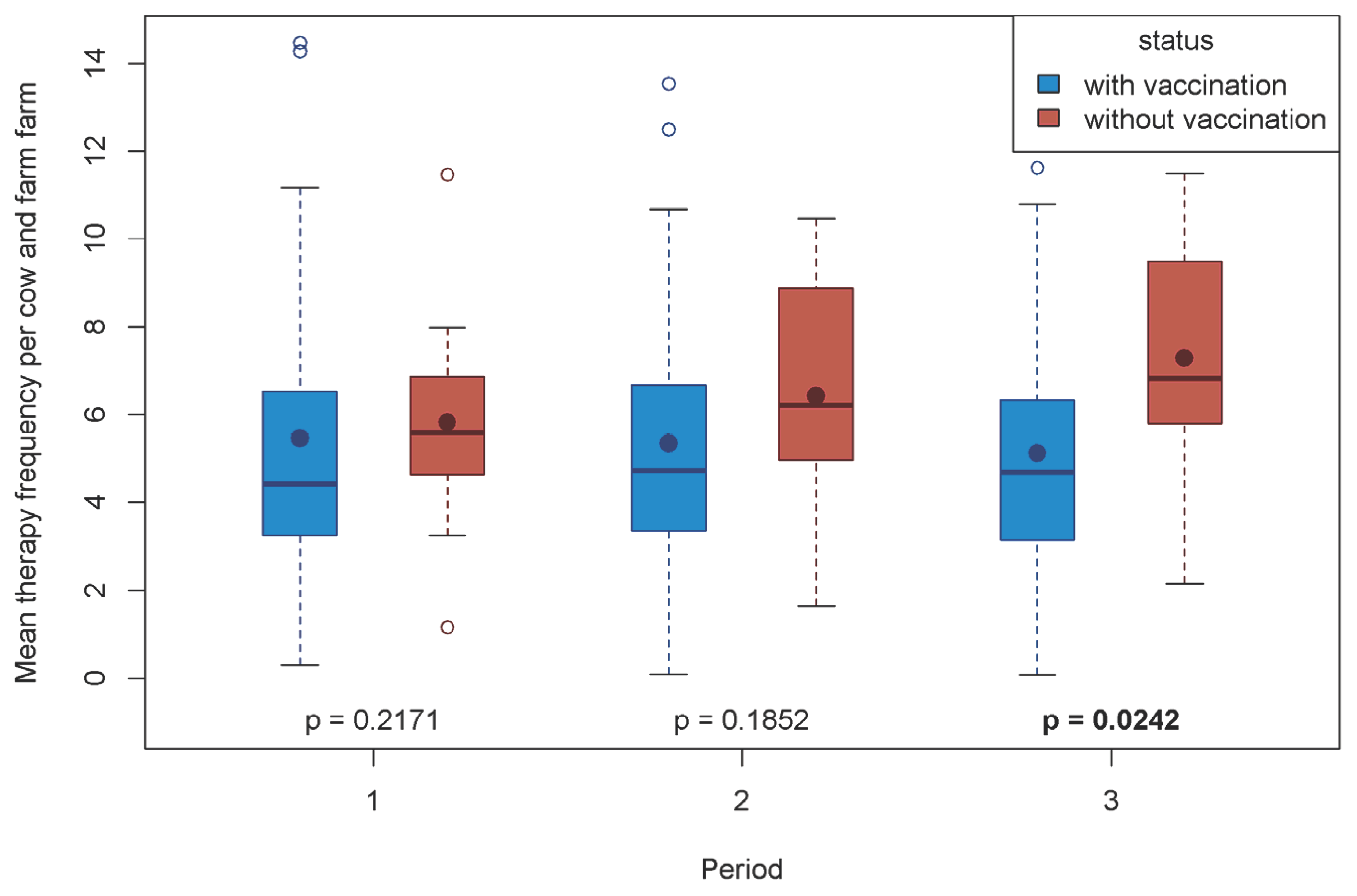
3.1. Mean Therapy Frequency per Cow and Farm (MTF)
3.2. Risk Factors Influencing the Mean Therapy Frequency per Cow and Farm
4. Discussion
5. Conclusions
Author Contributions
Funding
Institutional Review Board Statement
Informed Consent Statement
Data Availability Statement
Acknowledgments
Conflicts of Interest
References
- Angelakis, E.; Raoult, D. Emergence of Q Fever. Iran J Public Health 2011, 40, 1–18. [Google Scholar] [PubMed]
- Schleenvoigt, B. T.; Sprague, L. D.; Mertens, K.; Moog, U.; Schmoock, G.; Wolf, G.; Neumann, M.; Pletz, M. W.; Neubauer, H. Acute Q Fever Infection in Thuringia, Germany, after Burial of Roe Deer Fawn Cadavers (Capreolus Capreolus): A Case Report. New Microbes New Infect 2015, 8, 19–20. [Google Scholar] [CrossRef] [PubMed]
- Maurin, M.; Raoult, D. Q Fever. Clin Microbiol Rev 1999, 12, 518–53. [Google Scholar] [CrossRef]
- Brooke, R. J.; Kretzschmar, M. E.; Mutters, N. T.; Teunis, P. F. Human Dose Response Relation for Airborne Exposure to Coxiella Burnetii. BMC Infect Dis 2013, 13, 488. [Google Scholar] [CrossRef]
- Todkill, D.; Fowler, T.; Hawker, J. I. Estimating the Incubation Period of Acute Q Fever, a Systematic Review. Epidemiol Infect 2018, 146, 665–72. [Google Scholar] [CrossRef] [PubMed]
- Fournier, P. E.; Marrie, T. J.; Raoult, D. Diagnosis of Q Fever. J Clin Microbiol 1998, 36, 1823–34. [Google Scholar] [CrossRef]
- Marrie, T. J. Q Fever - a Review. Can Vet J 1990, 31, 555–63. [Google Scholar] [PubMed]
- Barlow, J.; Rauch, B.; Welcome, F.; Kim, S. G.; Dubovi, E.; Schukken, Y. Association between Coxiella Burnetii Shedding in Milk and Subclinical Mastitis in Dairy Cattle. Vet Res 2008, 39, 23. [Google Scholar] [CrossRef]
- Agerholm, J. S. Coxiella Burnetii Associated Reproductive Disorders in Domestic Animals-a Critical Review. Acta Vet Scand 2013, 55, 13. [Google Scholar] [CrossRef]
- Taurel, A. F.; Guatteo, R.; Lehebel, A.; Joly, A.; Beaudeau, F. Vaccination Using Phase I Vaccine Is Effective to Control Coxiella Burnetii Shedding in Infected Dairy Cattle Herds. Comp Immunol Microbiol Infect Dis 2014, 37, 1–9. [Google Scholar] [CrossRef]
- De Kruif, A.; Mansfeld, R.; Hoedemaker, M. Tierärztliche Bestandsbetreuung Beim Milchrind., 3rd ed.; Enke Verlag: Stuttgart, Germany, 2014. [Google Scholar]
- van Rennings, L.; Merle, R.; von Münchhausen, C.; Stahl, J.; Honscha, W.; Käsbohrer, A.; Kreienbrock, L. Variables Describing the Use of Antibiotics in Food-Producing Animals. Berl. Munch Tierarztl. Wochenschr. 2013, 126, 297–309. [Google Scholar] [PubMed]
- 13. Statistical Analysis Software (Sas Enterprise Guide©, Version 7.1).
- R: A Language and Environment for Statistical Computing. R Foundation for Statistical Computing, Vienna, Austria. https://www.R-project.org/, 2023.
- Martin, H.; Gribben, L.; Regan, A.; Manzanilla, E. G.; McAloon, C. G.; Burrell, A. M. Recording Antimicrobial Use on Irish Dairy Farms: Barriers and Facilitators to Using Technology and Sharing Data. J Dairy Sci 2024, TBC. in press. [Google Scholar] [CrossRef] [PubMed]
- Merle, R.; Mollenhauer, Y.; Hajek, P.; Robanus, M.; Hegger-Gravenhorst, C.; Honscha, W.; Käsbohrer, A.; Kreienbrock, L. "Verbrauchsmengenerfassung Von Antibiotika Beim Rind in Landwirtschaftlichen Betrieben." In Berl. Munch. Tierarztl. Wochenschr., 318-25, 2013.
- Hemme, M.; van Rennings, L.; Hartmann, M.; von Münchhausen, C.; Käsbohrer, A.; Kreienbrock, L. Antibiotikaeinsatz in Der Nutztierhaltung in Deutschland: Erste Ergebnisse Zu Zeitlichen Trends Im Wissenschaftlichen Projekt „Vetcab-Sentinel“. Dtsch. Tierärztebl. 2016, 4, 516–20. [Google Scholar]
- Lehner, S.; Lohan, K.; Dieckhoff, H. J.; Gerdes, U. Effects of Vaccination against Q-Fever in Lower Saxony Dairy Cattle Farms. Tierarztl Prax Ausg G Grosstiere Nutztiere 2017, 45, 141–49. [Google Scholar] [CrossRef] [PubMed]
- Eldin, C.; Mélenotte, C.; Mediannikov, O.; Ghigo, E.; Million, M.; Edouard, S.; Mege, J. L.; Maurin, M.; Raoult, D. From Q Fever to Infection: A Paradigm Change. Clin. Microbiol. Rev. 2017, 30, 115–90. [Google Scholar] [CrossRef] [PubMed]
- Motsch, B.; Alves, C.; Janowetz, B.; Werth, S.; Deckinger, E.; Böttcher, J. Der Coxiellen-Kreislauf in Milchviehbeständen. Paper presented at the 11. Berlin-Brandenburgischer Rindertag, 07.-08. Oktober, Berlin, Germany; 2016. [Google Scholar]
- Blowey, R. Factors Associated with Lameness in Dairy Cattle. In Practice 2005, 27, 154–62. [Google Scholar] [CrossRef]
- Vanegas, J.; Overton, M.; Berry, S. L.; Sischo, W. M. Effect of Rubber Flooring on Claw Health in Lactating Dairy Cows Housed in Free-Stall Barns. J. Dairy Sci. 2006, 89, 4251–58. [Google Scholar] [CrossRef]
- Ahrens, F.; Platz, S.; Link, C.; Mahling, M.; Meyer, H. H.; Erhard, M. H. Changes in Hoof Health and Animal Hygiene in a Dairy Herd after Covering Concrete Slatted Floor with Slatted Rubber Mats: A Case Study. J Dairy Sci 2011, 94, 2341–50. [Google Scholar] [CrossRef]
- Oehm, A. W.; Merle, R.; Tautenhahn, A.; Jensen, K. C.; Mueller, K. E.; Feist, M.; Zablotski, Y. Identifying Cow - Level Factors and Farm Characteristics Associated with Locomotion Scores in Dairy Cows Using Cumulative Link Mixed Models. PLoS One 2022, 17, e0263294. [Google Scholar] [CrossRef]
- Scheib, S.; Leimbach, S.; Avramidis, G.; Bellmann, M.; Nitz, J.; Ochs, C.; Tellen, A.; Wente, N.; Zhang, Y.; Viol, W.; Krömker, V. Intermediate Cluster Disinfection: Which Disinfection Solution Is Most Effective on Milking Liners? A Comparison of Microorganism Reduction on Liner Inner Surfaces Using Quantitative Swab Sampling Technique. Pathogens 2023, 12. [Google Scholar] [CrossRef]
- Tenhagen, B. A.; Heuwieser, W. Cluster Disinfection to Reduce New Intramammary Infections in Lactating Dairy Cattle. Tierarztl. Umsch. 2007, 62, 364–68. [Google Scholar]
- Hovinen, M.; Pyorala, S. Invited Review: Udder Health of Dairy Cows in Automatic Milking. J Dairy Sci 2011, 94, 547–62. [Google Scholar] [CrossRef] [PubMed]


| Vaccinated farms (n=36) | Non-vaccinated farms (n=13) | ||||
|---|---|---|---|---|---|
| Animal species | n | % | n | % | |
| Dogs | 27 | 75.0 | 10 | 76.9 | |
| Cats | 31 | 86.1 | 10 | 76.9 | |
| Sheep | 4 | 11.1 | 0 | 0.0 | |
| Goats | 3 | 8.3 | 0 | 0.0 | |
| Horses | 3 | 8.3 | 1 | 7.6 | |
| Harmful rodents | 36 | 100.0 | 13 | 100.0 | |
| Risk factor | Level | Vaccinated farms | n=36 | Non-vaccinated farms | n=13 |
|---|---|---|---|---|---|
| Continuous | Variables | Mean | SD | Mean | SD |
| Period 1 (ref.) | 5.4 | 3.3 | 5.8 | 2.5 | |
| Period | Period 2 | 5.3 | 2.9 | 6.4 | 2.9 |
| Period 3 | 5.1 | 2.6 | 7.3 | 3.0 | |
| Annual herd | Period 1 (ref.) | 8579 | 1278 | 8816 | 990 |
| Milk yield (kg) | Period 2 | 8632 | 1240 | 9018 | 799 |
| Period 3 | 8655 | 1251 | 9108 | 520 | |
| Categorical | Variables | n | % | n | % |
| Concrete floor (ref.) | 3 | 8.3 | 3 | 23.0 | |
| Floor type | Slatted floor | 18 | 50.0 | 7 | 53.8 |
| lactating cows | Grooved slatted floor | 11 | 30.5 | 3 | 23.0 |
| Rubber floor | 4 | 11.1 | 0 | 0.0 | |
| Udder cluster | No (ref.) | 20 | 55.5 | 9 | 69.2 |
| disinfection while | Yes | 9 | 25.0 | 4 | 30.7 |
| milking | AMS | 7 | 19.4 | 0 | 0.0 |
| Fresh food after | No (ref.) | 18 | 50.0 | 5 | 38.5 |
| milking | Yes | 18 | 50.0 | 8 | 61.5 |
| Dam vaccination | No (ref.) | 21 | 58.3 | 8 | 61.5 |
|
against neonatal diarrhea in calves |
Yes | 15 | 41.6 | 5 | 38.4 |
| Risk factor | Level | Estimate | SE | P-value |
|---|---|---|---|---|
| Intercept | 6.253 | 6.042 | 0.3026 | |
| Vaccination | No (ref.) | |||
| Yes | -3.457 | 6.517 | 0.5967 | |
| Period 1 (ref.) | ||||
| Period | Period 2 | 5.871x10-1 | 5.430x10-1 | 0.2825 |
| Period 3 | 1.446 | 5.589x10-1 | 0.0112 | |
|
Annual herd milk yield (kg) |
4.882x10-5 | 6.254x10-4 | 0.9379 | |
| Concrete floor (ref.) | ||||
| Floor type | Slatted floor | -2.317 | 1.531 | 0.1404 |
| lactating cows | Grooved slatted floor | -3.916 | 2.310 | 0.0981 |
| Rubber floor | -3.623 | 1.516 | 0.0235 | |
| Udder cluster | No (ref.) | |||
| disinfection while | Yes | 3.700 | 1.325 | 0.0089 |
| milking | AMS | 4.125x10-1 | 9.936x10-1 | 0.6810 |
| Fresh food after | No (ref.) | |||
| milking | Yes | -8.356x10-1 | 1.285 | 0.5205 |
| Dam vaccination | No (ref.) | |||
| against diarrhoea | Yes | 1.732 | 1.379 | 0.2192 |
| Interactions | ||||
| Vaccination x P 2 | Vaccination x P 2 | -7.353x10-1 | 6.314x10-1 | 0.2473 |
| Vaccination x P 3 | Vaccination x P 3 | -1.818 | 6.451x10-1 | 0.0059 |
| Vaccination x Annual | Vaccination x Annual | |||
| herd milk yield (kg) | herd milk yield | 5.864x10-4 | 6.700x10-4 | 0.3831 |
| Vaccination x | Slatted floor | -1.221 | 1.950e+00 | 0.5359 |
| Floor type | Grooved slatted floor | -9.380x10-3 | 2.628 | 0.9971 |
| Vaccination x | ||||
| Cluster disinfection | Yes | -2.233 | 1.598 | 0.1725 |
| Vaccination x Fresh | ||||
| food after milking | Yes | -6.992x10-1 | 1.523 | 0.6496 |
| Vaccination x | ||||
| Dam vaccination | Yes | 2.954x10-1 | 1.568 | 0.8518 |
Disclaimer/Publisher’s Note: The statements, opinions and data contained in all publications are solely those of the individual author(s) and contributor(s) and not of MDPI and/or the editor(s). MDPI and/or the editor(s) disclaim responsibility for any injury to people or property resulting from any ideas, methods, instructions or products referred to in the content. |
© 2024 by the authors. Licensee MDPI, Basel, Switzerland. This article is an open access article distributed under the terms and conditions of the Creative Commons Attribution (CC BY) license (http://creativecommons.org/licenses/by/4.0/).