Submitted:
08 April 2024
Posted:
10 April 2024
You are already at the latest version
Abstract
Keywords:
1. Introduction


2. Methods

3. ADC Engineering Approaches
3.1. Antigen Binding

3.2. Antibody Specifications
3.3. Chemical Linker Specifications
3.4. Cytotoxic Payload Specifications

3.5. Mechanisms and Effector Functions

3.6. Drug Synthesis and Conjugation Modalities
4. ADC Drug Classifications and Review
4.1. Adcetris(Brentuximab Vedotin)

4.2. Kadcyla(Trastuzumab Emtansine)

4.3. Blenrep (Belantamab Mafodotin)
4.4. Enhertu (Trastuzumb Deruxtecan)
4.5. Trodelvy (Sacituzumab Govitecan)
4.6. Polivy (Polatuzumab Vedotin)
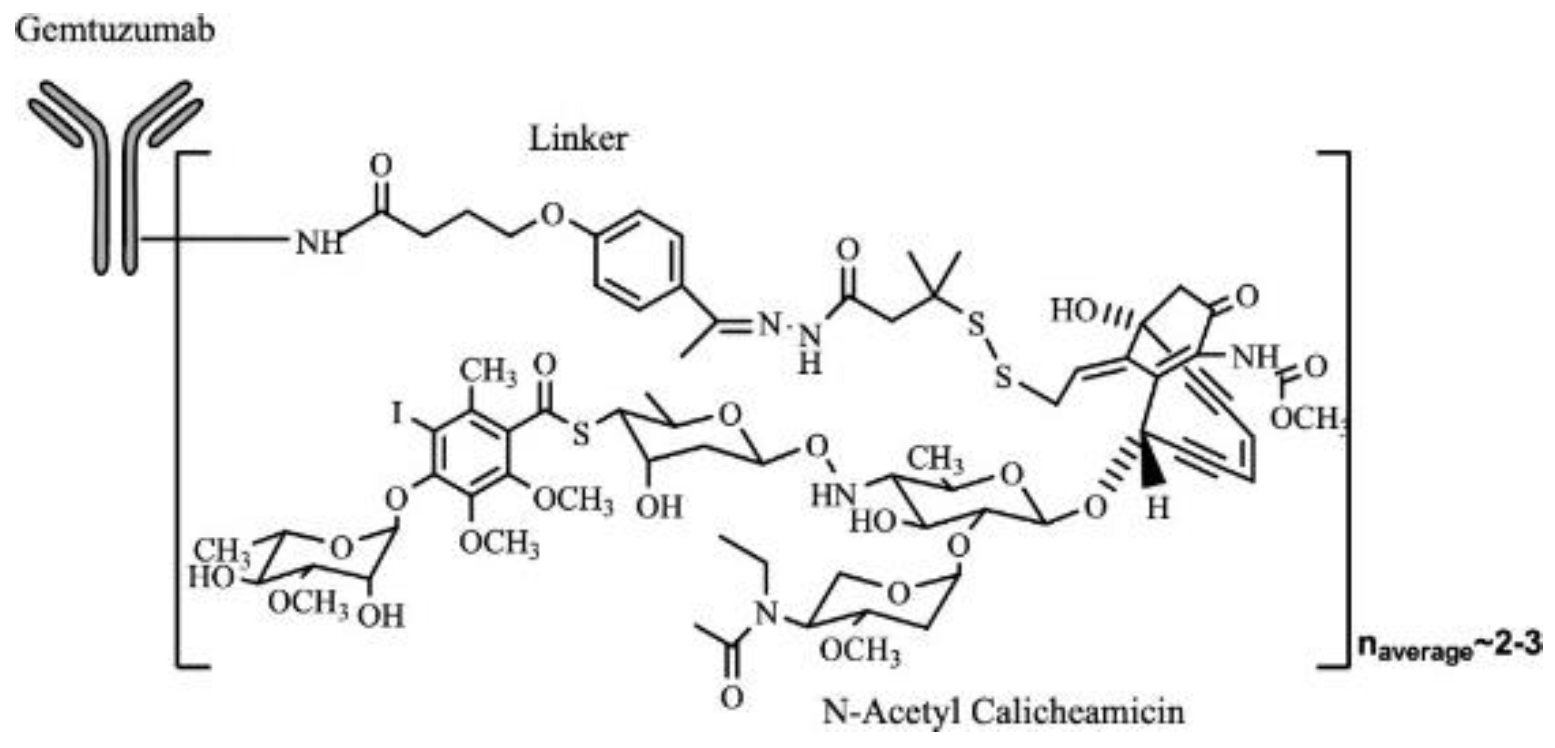
4.7. Mylotarg (Gemtuzumab Ozogamicin)

4.8. Besponsa (Inotuzumab Ozogamicin)
4.9. Lumoxiti (Moxetumomab Pasudotox)
4.10. Zynlonta(Loncastuximab Tesirine)

5. Discussion and Further Analysis
Contributions
Acknowledgments
Competing Interests
References
- Khongorzul, P., Ling, C. J., Khan, F. U., Ihsan, A. U., & Zhang, J. (2020). Antibody–Drug Conjugates: A Comprehensive Review. Molecular Cancer Research, 18(1), 3–19. [CrossRef]
- Fu, Z., Li, S., Han, S. et al. Antibody drug conjugate: the “biological missile” for targeted cancer therapy. Sig Transduct Target Ther 7, 93 (2022). [CrossRef]
- Hoffmann, R. M., Coumbe, B. G. T., Josephs, D. H., et al. Antibody structure and engineering considerations for the design and function of Antibody Drug Conjugates (ADCs). Oncoimmunology, 2017 Nov 20;7(3):e1395127. [CrossRef]
- Peters, C., & Brown, S. Antibody-drug conjugates as novel anti-cancer chemotherapeutics. Biosci Rep, 2015 Jun 12;35(4):e00225. [CrossRef]
- Pharmaceutical Technology. (2023, January 6). Who are the leading innovators in antibody drug conjugates (ADC) cancer therapy for the pharmaceutical industry? https://www.pharmaceutical-technology.com/data-insights/.
- Scott, L. J. (2017). Brentuximab Vedotin: A Review in CD30-Positive Hodgkin Lymphoma. Drugs, 77(4), 435–445. [CrossRef]
- DrugBank. (n.d.). Brentuximab vedotin: Uses, Interactions, Mechanism of Action. Retrieved from https://go.drugbank.com/drugs/DB08870.
- Maximiano, S., Magalh˜aes, P., Guerreiro, M. P., & Morgado, M. (2016). Trastuzumab in the Treatment of Breast Cancer. BioDrugs, 30(2), 75–86. [CrossRef]
- Dhillon, S. (2014). Trastuzumab emtansine: a review of its use in patients with HER2positive advanced breast cancer previously treated with trastuzumab-based therapy. Drugs, 74(6), 675–686. https://doi.org/10.1007/innovators-antibody-drug-conjugates-adc-cancers-4t0h2e6r5a-p0y1-4p-h0a2r0m1a-c0eutical.
- Riccardi, F., Dal Bo, M., Macor, P., Toffoli, G. A comprehensive overview on antibodydrug conjugates: from the conceptualization to cancer therapy. Front Pharmacol, 2023 Sep 18;14:1274088. [CrossRef]
- Shastry, M. et al. Rise of Antibody-Drug Conjugates: The Present and Future. Am Soc Clin Oncol Educ Book 43, e390094 (2023). [CrossRef]
- Wang, Z., Li, H., Gou, L., Li, W., Wang, Y. Antibody–drug conjugates: Recent advances in payloads. Acta Pharmaceutica Sinica B, Volume 13, Issue 10, 2023, Pages 4025-4059. [CrossRef]
- Zhao, M. K. (2017). Monoclonal Antibodies. In Reference Module in Life Sciences, Book chapter: Antibody drug Conjugates beyond cytotoxic payloads. Elsevier. https://www.sciencedirect.com/topics/neuroscience/antibody-drug-conjugate.
- DrugBank. (n.d.). Trastuzumab: Uses, Interactions, Mechanism of Action. Retrieved from https://go.drugbank.com/drugs/DB00072.
- Markham, A. Belantamab Mafodotin: First Approval. Drugs. 2020 Oct;80(15):16071613. [CrossRef]
- DrugBank. (n.d.). Belantamab mafodotin: Uses, Interactions, Mechanism of Action. Retrieved from https://go.drugbank.com/drugs/DB15719.
- Lee, J., & Park, Y. H. Trastuzumab deruxtecan for HER2+ advanced breast cancer. Future Oncol. 2022 Jan;18(1):7-19. [CrossRef]
- DrugBank. (n.d.). Trastuzumab deruxtecan: Uses, Interactions, Mechanism of Action. Retrieved from https://go.drugbank.com/drugs/DB14962.
- Syed, Y. Y. Sacituzumab Govitecan: First Approval. Drugs. 2020 Jul;80(10):10191025. [CrossRef]
- DrugBank. (n.d.). Sacituzumab Govitecan: Uses, Interactions, Mechanism of Action. Retrieved from https://go.drugbank.com/drugs/DB12893.
- Sehn, L. H., Herrera, A. F., Flowers, C. R., et al. Polatuzumab Vedotin in Relapsed or Refractory Diffuse Large B-Cell Lymphoma. J Clin Oncol. 2020 Jan 10;38(2):155-165. [CrossRef]
- Raqib, M. A., Haseeb, A., Shafique, M. A., et al. (2023) Advances in Polatuzumab Vedotin-PIIQ Therapy: A Review of Treatment Efficacy in Diffuse Large B Cell Lymphoma and High-Grade B Cell Lymphoma, Pediatric Health, Medicine and Therapeutics, 14:, 323-331. [CrossRef]
- Polivy. Available online: www.polivy.com/content/dam/gene/polivy/patient/en_us/rrdlbcl/pdfs/polivy-3l-patient-brochure.pdf Accessed 1 Apr. 2024.
- Swaminathan, M., & Cortes, J. E. Update on the role of gemtuzumab-ozogamicin in the treatment of acute myeloid leukemia. Ther Adv Hematol. 2023 Feb 9;14:20406207231154708. [CrossRef]
- DrugBank. (n.d.). Gemtuzumab ozogamicin: Uses, Interactions, Mechanism of Action. Retrieved from https://go.drugbank.com/drugs/DB00056.
- Al-Salama, Z. T. Inotuzumab Ozogamicin: A Review in Relapsed/Refractory B-Cell Acute Lymphoblastic Leukaemia. Targ Oncol, 13, 525–532 (2018). [CrossRef]
- Yurkiewicz, I. R., Muffly, L., & Liedtke, M. Inotuzumab ozogamicin: a CD22 mAb-drug conjugate for adult relapsed or refractory B-cell precursor acute lymphoblastic leukemia. Drug Des Devel Ther. 2018 Jul 24;12:2293-2300. [CrossRef]
- DrugBank. (n.d.). Inotuzumab ozogamicin: Uses, Interactions, Mechanism of Action. Retrieved from https://go.drugbank.com/drugs/DB05889.
- Dhillon, S. Moxetumomab Pasudotox: First Global Approval. Drugs. 2018 Nov;78(16):1763-1767. [CrossRef]
- DrugBank. (n.d.). Moxetumomab pasudotox: Uses, Interactions, Mechanism of Action. Retrieved from https://go.drugbank.com/drugs/DB12688.
- Ryan, C. (2023, January 13). AstraZeneca to Discontinue Moxetumomab Pasudotox in US for Hairy Cell Leukemia. OncLive. https://www.onclive.com/view/astrazeneca-to-discontinue-moxetumomab-pasudotox-in-u.
- Medthority. (2023, January 14). AstraZeneca to discontinue selling Lumoxiti in the US due to low clinical uptake. Retrieved from https://www.medthority.com/news/2023/1/astrazeneca-to-discontinue-selling-lumoxiti-in-the-us.
- Xu, B. Loncastuximab tesirine: an effective therapy for relapsed or refractory diffuse large B-cell lymphoma. Eur J Clin Pharmacol. 2022 May;78(5):707-719. [CrossRef]
- Furqan, F., & Hamadani, M. Loncastuximab tesirine in relapsed or refractory diffuse large B-cell lymphoma: a review of clinical data. Ther Adv Hematol. 2022 Mar 22;13:20406207221087511. [CrossRef]
- DrugBank. (n.d.). Loncastuximab tesirine: Uses, Interactions, Mechanism of Action. Retrieved from https://go.drugbank.com/drugs/DB16222.
- MarketsandMarkets. (2023). Antibody Drug Conjugates (ADC) Market by Product, Linker Type, Payload Type, Target, Disease, Region Global Forecast to 2028 (Report No. BT 8808). https://www.marketsandmarkets.com/Market-Reports/antibody-drug-conjugates-market-122857391.html.
- Haddaway, N. R., Page, M. J., Pritchard, C. C., & McGuinness, L. A. (2022). PRISMA2020: An R package and Shiny app for producing PRISMA 2020-compliant flow diagrams, with interactivity for optimised digital transparency and Open Synthesis Campbell Systematic Reviews, 18, e1230. [CrossRef]
- Page, M. J., McKenzie, J. E., Bossuyt, P. M., Boutron, I., Hoffmann, T. C., Mulrow, C. D., et al. (2021). The PRISMA 2020 statement: an updated guideline for reporting systematic reviews. BMJ, 372:n71. [CrossRef]
Disclaimer/Publisher’s Note: The statements, opinions and data contained in all publications are solely those of the individual author(s) and contributor(s) and not of MDPI and/or the editor(s). MDPI and/or the editor(s) disclaim responsibility for any injury to people or property resulting from any ideas, methods, instructions or products referred to in the content. |
© 2024 by the authors. Licensee MDPI, Basel, Switzerland. This article is an open access article distributed under the terms and conditions of the Creative Commons Attribution (CC BY) license (http://creativecommons.org/licenses/by/4.0/).