Submitted:
03 April 2024
Posted:
04 April 2024
You are already at the latest version
Abstract
Keywords:
A good rule of thumb to keep in mind is that anything that calls itself 'science' probably isn't.J.R. Searle [1]
1. Introduction
- Are Lacis et al. (and the bot) right about the importance of CO₂ in the greenhouse effect, and is it meaningful to state that without it the terrestrial greenhouse would collapse? Or is the effect of CO₂ negligible as Koutsoyiannis and Vournas [18] claimed, and that of H₂O dominant?
- Is the role of H₂O as a greenhouse gas limited to the downwelling LW flux or does it extend also to the outgoing LW flux?
2. Theoretical Background
2.1. Quantification of Greenhouse Gases
2.2. Quantification of Longwave Radiation
2.3. Detailed Spectroscopic Modelling of the Atmosphere
3. Data
4. Macroscopic Relationships
4.1. Clear-Sky Relationships
4.2. Effect of Clouds
5. Test Results
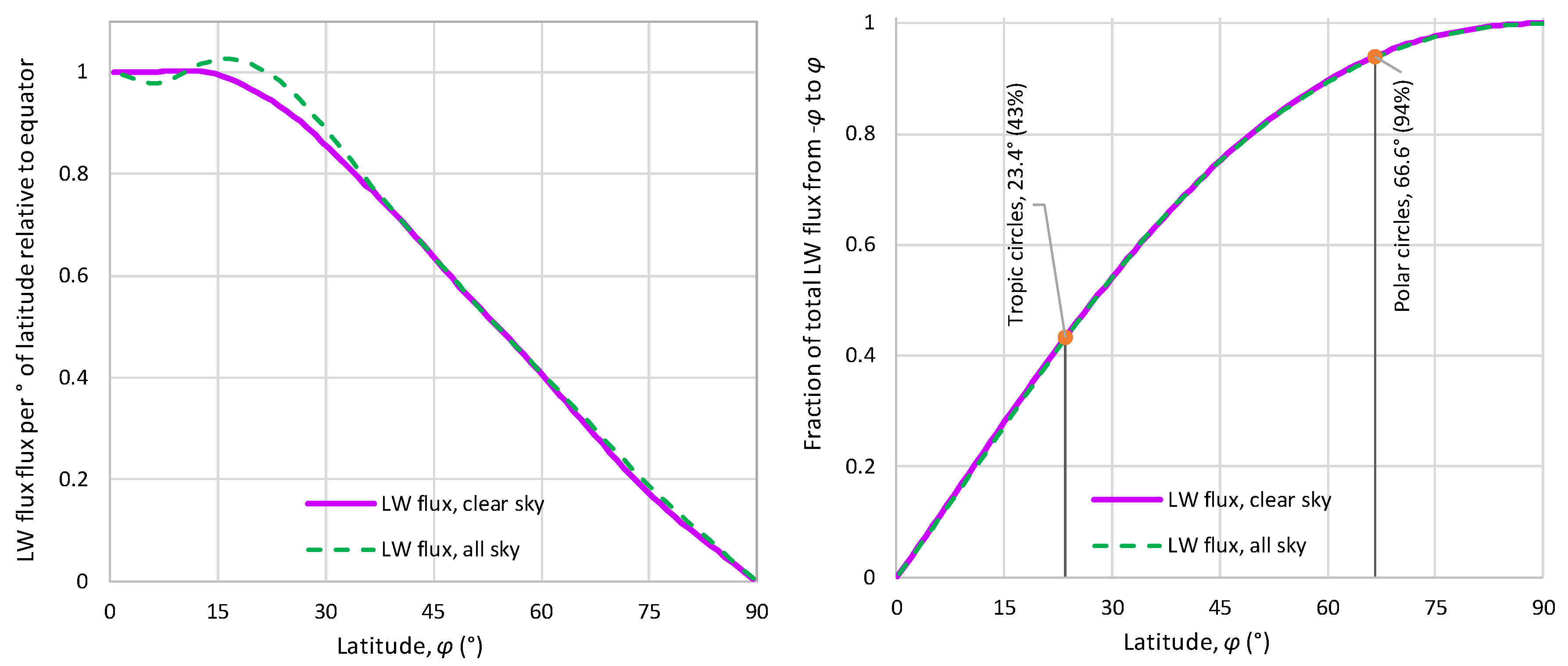
5.1. Radiation Flux Profiles
5.2. Downwelling Radiation
5.3. Outgoing Radiation
5.4. Final Assessment
6. Comparison of H₂O and CO₂
6.1. Imaginary-World Conditions
6.2. Realistic Conditions
7. Discussion and Further Results

8. Conclusions
Funding
Data Availability Statement
Acknowledgments
Conflicts of Interest
Appendix A: MODTRAN locality profiles


References
- Searle, J.R. Minds, Brains and Science; Harvard University Press: Cambridge, MA, USA, 1984. [Google Scholar]
- Koutsoyiannis, D.; Mamassis, N. From mythology to science: the development of scientific hydrological concepts in the Greek antiquity and its relevance to modern hydrology. Hydrol. Earth Syst. Sci. 2021, 25, 2419–2444. [Google Scholar] [CrossRef]
- Koutsoyiannis, D. Rebuttal to review comments on “Revisiting global hydrological cycle: Is it intensifying?”. Hydrol. Earth Syst. Sci. Discuss. 2020. Available online: https://hess.copernicus.org/preprints/hess-2020-120/hess-2020-120-AC1-supplement.pdf (accessed on 13 February 2022). [CrossRef]
- Biermann, F.; Abbott, K.; Andresen, S.; Bäckstrand, K.; Bernstein, S.; Betsill, M.M.; Bulkeley, H.; Cashore, B.; Clapp, J.; Folke, C.; et al. Navigating the Anthropocene: Improving Earth System Governance. Science 2012, 335, 1306–1307. [Google Scholar] [CrossRef] [PubMed]
- Nature, Editorial Values Statement. https://www.nature.com/nature/editorial-values-statement (accessed on 27 March 2024).
- . Howe, N. ‘Stick to the science’: when science gets political. Nature 2020. [Google Scholar] [CrossRef]
- Nature Editorial. Should Nature endorse political candidates? Yes — when the occasion demands it. Nature 2023, 615, 561. [Google Scholar] [CrossRef] [PubMed]
- Lupia, A. Political endorsements can affect scientific credibility. Nature 2023, 615, 590–591. [Google Scholar] [CrossRef] [PubMed]
- Zhang, F.J. Political endorsement by Nature and trust in scientific expertise during COVID-19. Nature Human Behaviour 2023, 7, 696–706. [Google Scholar] [CrossRef]
- Koutsoyiannis, D. Rethinking climate, climate change, and their relationship with water. Water 2021, 13, 849. [Google Scholar] [CrossRef]
- Koutsoyiannis, D.; Onof, C.; Christofides, A.; Kundzewicz, Z.W. Revisiting causality using stochastics: 1. Theory. Proc. R. Soc. A 2022, 478, 20210836. [Google Scholar] [CrossRef]
- Koutsoyiannis, D.; Onof, C.; Christofides, A.; Kundzewicz, Z.W. Revisiting causality using stochastics: 2. Applications. Proc. R. Soc. A 2022, 478, 20210836. [Google Scholar] [CrossRef]
- Koutsoyiannis, D.; Onof, C.; Kundzewicz, Z.W.; Christofides, A. On hens, eggs, temperatures and CO2: Causal links in earth’s atmosphere. Sci 2023, 5, 35. [Google Scholar] [CrossRef]
- What is the greenhouse effect? – Climate Change: Vital Signs of the Planet. https://climate.nasa.gov/faq/19/what-is-the-greenhouse-effect/ (accessed on 20 October 2023).
- Greenhouse gas, Britannica. Available online: https://www.britannica.com/science/greenhouse-gas (accessed on 20 October 2023).
- Greenhouse effect, Britannica. Available online: https://www.britannica.com/science/greenhouse-effect (accessed on 20 October 2023).
- Lacis, A.A.; Schmidt, G.A.; Rind, D.; Ruedy, R.A. Atmospheric CO2: Principal control knob governing Earth’s temperature. Science 2010, 330, 356–359. [Google Scholar] [CrossRef]
- Koutsoyiannis, D.; Vournas, C. Revisiting the greenhouse effect—a hydrological perspective. Hydrol. Sci. J. 2024, 69, 151–164. [Google Scholar] [CrossRef]
- Nikolov, N.; Zeller, K. New insights on the physical nature of the atmospheric greenhouse effect deduced from an empirical planetary temperature. Model. Environ. Pollut. Climate Change 2017, 1, 1000112. [Google Scholar] [CrossRef]
- Miskolczi, F. Greenhouse gas theories and observed radiative properties of the Earth’s atmosphere. Sci. Clim. Change 2023, 3, 232–289. [Google Scholar] [CrossRef]
- Peachey, B. Mitigating human enhanced water emission impacts on climate change. In 2006 IEEE EIC Climate Change Conference; 2006. [Google Scholar] [CrossRef]
- Koutsoyiannis, D. Revisiting the global hydrological cycle: is it intensifying? Hydrol. Earth Syst. Sci. 2020, 24, 3899–3932. [Google Scholar] [CrossRef]
- Water use – AQUASTAT - FAO's Global Information System on Water and Agriculture. Available online: https://www.fao.org/aquastat/en/overview/methodology/water-use (last access: 19 February 2024).
- Masson-Delmotte, V.; Zhai, P.; Pirani, A.; Connors, S.L.; Péan, C.; Berger, S.; Caud, N.; Chen, Y.; Goldfarb, L.; Gomis, M.I.; et al. (Eds.) IPCC, Climate Change 2021: The Physical Science Basis. Contribution of Working Group I to the Sixth Assessment Report of the Intergovernmental Panel on Climate Change; Cambridge University Press: Cambridge, UK; New York, NY, USA, 2021; 2391p. [Google Scholar]
- UNESCO (United Nations Educational, Scientific and Cultural Organization). Final Report, International Hydrological Decade, Intergovernmental Meeting of Experts, UNESCO/NS/188; UNESCO House: Paris, 1964; Available online: https://unesdoc.unesco.org/images/0001/000170/017099EB.pdf (accessed on 15 February 2024).
- Koutsoyiannis, D. Clausius-Clapeyron equation and saturation vapour pressure: simple theory reconciled with practice. Eur. J. Phys. 2012, 33, 295–305. [Google Scholar] [CrossRef]
- Koutsoyiannis, D. Entropy: from thermodynamics to hydrology. Entropy 2014, 16, 1287–1314. [Google Scholar] [CrossRef]
- Koutsoyiannis, D. Stochastics of Hydroclimatic Extremes – A Cool Look at Risk, Edition 3; Kallipos Open Academic Editions: Athens, 2023; 391 pp. [Google Scholar] [CrossRef]
- Ambaum, M.H.P. Accurate, simple equation for saturated vapour pressure over water and ice. Q. J. R. Meteorol. Soc. 2020, 146, 4252–4258. [Google Scholar] [CrossRef]
- Murphy, D.M.; Koop, T. Review of the vapour pressures of ice and supercooled water for atmospheric applications. Q. J. R. Meteorol. Soc. 2005, 131, 1539–1565. [Google Scholar] [CrossRef]
- Goody, R.M. Atmospheric Radiation; Oxford University Press: Oxford, UK; New York, NY, USA, 1964; 436 pp. [Google Scholar]
- Brutsaert, W. On a derivable formula for long-wave radiation from clear skies. Water Resour. Res. 1975, 11, 742–744. [Google Scholar] [CrossRef]
- Prata, A.J. A new long-wave formula for estimating downward clear-sky radiation at the surface. Q. J. R. Meteorol. Soc. 1996, 122, 1127–1151. [Google Scholar]
- Brunt, D. Notes on radiation in the atmosphere. I. Q. J. R. Meteorol. Soc. 1932, 58, 389–420. [Google Scholar] [CrossRef]
- Brunt, D. Physical and Dynamical Meteorology; Cambridge University Press: Cambridge, UK, 1934; 411 pp, Available online: https://archive.org/details/in.ernet.dli.2015.215092 (accessed on 25 August 2023).
- Penman, H.L. Natural evaporation from open water, bare soil and grass. Proc. R. Soc. Lond. A Math. Phys. Eng. Sci. 1948, 193, 120–145. [Google Scholar]
- Monteith, J.L. Evaporation and environment. Symposia of the Society for Experimental Biology 1965, 19, 205–234. [Google Scholar] [PubMed]
- Doorenbos, J.; Pruitt, W.O. Guidelines for Predicting Crop Water Requirements. FAO Irrigation and Drainage Paper 24, Food and Agriculture Organization of the United Nations, Rome. 1977. Available online: https://dokumen.tips/download/link/fao-irrigation-and-drainage-paper-24.html (accessed on 25 August 2023).
- Allen, R.G.; Pereira, L.S.; Raes, D.; Smith, M.; Crop Evapotranspiration – Guidelines for Computing Crop Water Requirements. FAO Irrigation and Drainage Paper 56, Food and Agriculture Organization of the United Nations, Rome. Available online: https://www.fao.org/3/X0490E/x0490e00.htm (accessed on 25 August 2023).
- Carmona, F.; Rivas, R.; Caselles, V. Estimation of daytime downward longwave radiation under clear and cloudy skies conditions over a sub-humid region. Theor. Appl. Climatol. 2014, 115, 281–295. [Google Scholar] [CrossRef]
- Guo, Y.; Cheng, J.; Liang, S. Comprehensive assessment of parameterization methods for estimating clear-sky surface downward longwave radiation. Theor. Appl. Climatol. 2019, 135, 1045–1058. [Google Scholar] [CrossRef]
- Wong, R.Y.; Tso, C.Y.; Jeong, S.Y.; Fu, S.C.; Chao, C.Y. Critical sky temperatures for passive radiative cooling. Renewable Energy 2023, 211, 214–226. [Google Scholar] [CrossRef]
- Berk, A.; Bernstein, L.S.; Robertson, D.C. MODTRAN: A Moderate Resolution Model for LOWTRAN, Scientific Report No. 1; Air Force Geophysics Laboratory, Air Force Systems Command, United States Air Force: Hanscom Air Force Base, Massachusetts, USA. Available online: https://apps.dtic.mil/sti/pdfs/ADA185384; Available online: https://apps.dtic.mil/sti/pdfs/ADA185384.pdf (accessed on 19 February 2024).
- Berk, A.; Conforti, P.; Kennett, R.; Perkins, T.; Hawes, F.; van den Bosch, J. MODTRAN6: A Major Upgrade of the MODTRAN Radiative Transfer Code Proc. Philipona, R.; Kräuchi, A.; Brocard, E. Solar and thermal radiation profiles and radiative forcing measured through the atmosphere. doi:10.1029/2012GL052087.SPIE 2014, 9088, 90880H. Geophys. Res. Lett. 2012, 39, L13806. [Google Scholar] [CrossRef]
- Berk, A.; Acharya, P.K.; Bernstein, L.S.; Anderson, G.P.; Lewis, P.; Chetwynd, J.H.; Hoke, M.L. Band model method for modeling atmospheric propagation at arbitrarily fine spectral resolution. U.S. Patent #7433806.
- MODTRAN Infrared Light in the Atmosphere. Available online: https://climatemodels.uchicago.edu/modtran/ (last access: 19 February 2024).
- MODTRAN Demo. Available online: http://modtran.spectral.com/modtran_home (last access: 19 February 2024).
- RRTM Earth's Energy Budget. Available online: https://climatemodels.uchicago.edu/rrtm/ (last access: 19 February 2024).
- Philipona, R.; Kräuchi, A.; Brocard, E. Solar and thermal radiation profiles and radiative forcing measured through the atmosphere. Geophys. Res. Lett. 2012, 39, L13806. [Google Scholar] [CrossRef]
- Wielicki, B.A.; Barkstrom, B.R.; Harrison, E.F.; Lee III, R.B.; Smith, G.L.; Cooper, J.E. Clouds and the Earth's Radiant Energy System (CERES): An Earth observing system experiment. Bull. Amer. Meteor. Soc. 1996, 77, 853–868. [Google Scholar] [CrossRef]
- Doelling, D.R.; Loeb, N.G.; Keyes, D.F.; Nordeen, M.L.; Morstad, D.; Nguyen, C.; Wielicki, B.A.; Young, D.F.; Sun, M. Geostationary enhanced temporal interpolation for CERES flux products. J. Atmos. Ocean. Technol. 2013, 30, 1072–1090. [Google Scholar] [CrossRef]
- Doelling, D.R.; Sun, M.; Nguyen, L.T.; Nordeen, M.L.; Haney, C.O.; Keyes, D.F.; Mlynczak, P.E. Advances in geostationary-derived longwave fluxes for the CERES synoptic (SYN1deg) product. J. Atmos. Ocean. Technol. 2016, 33, 503–521. [Google Scholar] [CrossRef]
- CERES_SSF1deg_Ed4.1 Subsetting and Browsing. Available online: https://ceres-tool.larc.nasa.gov/ord-tool/jsp/SSF1degEd41Selection.jsp (last access: 19 February 2024).
- Kato, S.; Rose, F.G.; Rutan, D.A.; Thorsen, T.E.; Loeb, N.G.; Doelling, D.R.; Huang, X.; Smith, W.L.; Su, W.; Ham, S.-H. Surface irradiances of Edition 4.0 Clouds and the Earth's Radiant Energy System (CERES) Energy Balanced and Filled (EBAF) data product. J. Clim. 2018, 31, 4501–4527. [Google Scholar] [CrossRef]
- Loeb, N.G.; Doelling, D.R.; Wang, H.; Su, W.; Nguyen, C.; Corbett, J.G.; Liang, L.; Mitrescu, C.; Rose, F.G.; Kato, S. Clouds and the Earth's Radiant Energy System (CERES) Energy Balanced and Filled (EBAF) Top-of-Atmosphere (TOA) Edition-4.0 Data Product. J. Clim. 2018, 31, 895–918. [Google Scholar] [CrossRef]
- CERES_EBAF_Ed4.2 Subsetting and Browsing. Available online: https://ceres-tool.larc.nasa.gov/ord-tool/jsp/EBAF42Selection.jsp (last access: 19 February 2024).
- CERES. CERES_SSF1deg_Hour/Day/Month_Ed4A Data Quality Summary, Version 2 (Updated 8/4/2023). Available online: https://ceres.larc.nasa.gov/documents/DQ_summaries/CERES_SSF1deg_Ed4A_DQS.pdf (accessed on 15 February 2024).
- CERES. CERES_EBAF_Ed4.1 Data Quality Summary, Version 3 (Updated 12/9/2021). Available online: https://ceres.larc.nasa.gov/documents/DQ_summaries/CERES_EBAF_Ed4.1_DQS.pdf (accessed on 15 February 2024).
- Climate Explorer. Available online: https://climexp.knmi.nl/ (last access: 19 February 2024).
- WRIT: Monthly Timeseries: NOAA Physical Sciences Laboratory. Available online: https://psl.noaa.gov/cgi-bin/data/atmoswrit/timeseries.pl (last access: 19 February 2024).
- Dooge, J.C. Looking for hydrologic laws. Water Resour. Res. 1986, 22, 46S–58S. [Google Scholar] [CrossRef]
- Dingman, S.L. Physical Hydrology; Prentice Hall: Upper Saddle River, New Jersey, USA, 1994. [Google Scholar]
- Jacobs, J.D. Radiation climate of Broughton Island. In Energy Budget Studies in Relation to Fast-Ice Breakup Processes in Davis Strait; Barry, R.G., Jacobs, J.D., Eds.; Inst. of Arctic and Alp. Res. Occas. Paper no. 26; University of Colorado: Boulder, USA, 1978; pp. 105–120. Available online: https://www.colorado.edu/instaar/node/963 (accessed on 13 February 2024).
- Lhomme, J.P.; Vacher, J.J.; Rocheteau, A. Estimating downward long-wave radiation on the Andean Altiplano. Agric. For. Meteorol. 2007, 145, 139–148. [Google Scholar] [CrossRef]
- Brutsaert, W. Evaporation into the Atmosphere: Theory, History and Applications; Springer Science & Business Media: Dordrecht, Netherlands, 1991; 299pp. [Google Scholar]
- Schmidt, G.A.; Ruedy, R.A.; Miller, R.L.; Lacis, A.A. Attribution of the present-day total greenhouse effect. J. Geophys. Res. 2010, 115, D20106. [Google Scholar] [CrossRef]
- Brooks, F.A. Atmospheric radiation and its reflection from the ground. J. Atmos. Sci. 1952, 9, 41–52. [Google Scholar] [CrossRef]
- Salby, M.L. Physics of the Atmosphere and Climate; Cambridge University Press: New York, NY, USA, 2012. [Google Scholar]
- van Wijngaarden, W.A.; Happer, W. Dependence of Earth's thermal radiation on five most abundant greenhouse gases. arXiv 2020, arXiv:2006.03098. Available online: https://arxiv.org/abs/2006.03098 (accessed 25 August 2023).
- de Lange, C.A.; Ferguson, J.D.; Happer, W.; van Wijngaarden, W.A. Nitrous oxide and climate. arXiv 2022, arXiv:2211.15780. Available online: https://arxiv.org/abs/2211.15780 (accessed on 25 August 2023). [Google Scholar]
- Gerhart, L.M.; Ward, J.K. Plant responses to low [CO2] of the past. New Phytol. 2010, 188, 674–695. [Google Scholar] [CrossRef] [PubMed]
- Chen, X.; Chen, T.; He, B.; Liu, S.; Zhou, S.; Shi, T. The global greening continues despite increased drought stress since 2000. Glob. Ecol. Conserv. 2024, 49, e02791. [Google Scholar] [CrossRef]
- Veizer, J. Celestial climate driver: a perspective from four billion years of the carbon cycle. Geoscience Canada 2005, 32, 13–28. [Google Scholar]
- Veizer, J. Celestial climate driver: a perspective from four billion years of carbon cycle. In 34th Int. Seminar on Nuclear War and Planetary Emergencies; World Scientific: Erice, Italy, 2006; pp. 117–144. [Google Scholar]
- Veizer, J. Planetary temperatures/climate across geological time scales. In International Seminar on Nuclear War and Planetary Emergencies—44th Session: The Role of Science in the Third Millennium; 2012; pp. 287–288. [Google Scholar]
- Trenberth, K.E.; Fasullo, J.T.; Kiehl, J. Earth's global energy budget. Bull. Am. Meteorol. Soc. 2009, 90, 311–324. [Google Scholar] [CrossRef]
- Koutsoyiannis, D.; Kundzewicz, Z.W. Atmospheric temperature and CO₂: Hen-or-egg causality? Sci 2020, 2, 72. [Google Scholar] [CrossRef]
- The 6 model atmospheres in MODTRAN. 19 February. Available online: http://modtran.spectral.com/static/modtran6/html/help_atmosphere_model.html (last access: 19 February 2024).

























| Sign† | (W/m²) | (K) | (hPa) | (ppm)‡ | § | ||||
|---|---|---|---|---|---|---|---|---|---|
| + | 27 | 181 | 6.36 | 400 | 4.5 | 1 | 0.015 | 0.34 | |
| – | 1 | 55 | 0.00302 | 400 | 3.5 | 0.5 | 0.015 | 0.15 |
| Equation, variable | (W/m2) | (W/m2) | (%) | (%) | (%) |
|---|---|---|---|---|---|
| 140.0 – 419.5 | 1.3 | 99.97 | 0.5 | 1.9 | |
| 170.6 – 351.1 | 1.3 | 99.79 | 0.7 | 1.9 | |
| (22) | 170.6 – 351.1 | 3.6 | 99.24 | 1.5 | 4.5 |
| Locality profile → Cloud type ↓ |
Tropical | Midlatitude summer | Subarctic summer | Midlatitude winter | Subarctic winter |
|---|---|---|---|---|---|
| Cumulus | 0.904 | 0.899 | 0.889 | 0.910 | 0.95 |
| Altostratus | 0.901 | 0.896 | 0.887 | 0.907 | 0.948 |
| Stratus | 0.966 | 0.973 | 0.962 | 0.973 | 1.016 |
| Stratus/Stratocumulus | 0.939 | 0.945 | 0.931 | 0.950 | 0.989 |
| Nimbostratus | 0.98 | 0.984 | 0.977 | 0.984 | 1.024 |
| Standard Cirrus | 0.93 | 0.939 | 0.957 | 0.95 | 0.974 |
| NOAA Cirrus | 0.937 | 0.945 | 0.963 | 0.956 | 0.98 |
| Period → | 2001-11 | 2012-22 | Difference |
|---|---|---|---|
| Observations (averages over each period) | |||
| Temperature from ERA5 (K) | 287.21 | 287.49 | +0.28 |
| [CO₂] from Mauna Loa (ppm) | 381.83 | 406.48 | +24.65 |
| Outgoing TOA (20 km) clear-sky LW from CERES (W/m2) | 268.33 | 268.27 | –0.08 |
| Outgoing clear-sky LW radiation by MODTRAN at 20 km altitude (W/m2) | |||
| Tropical profile, water vapour scale 0.82 | 268.34 | 268.72 | +0.38 |
| Midlatitude summer profile, water vapour scale 1.08 | 268.34 | 268.78 | +0.44 |
| Midlatitude winter profile, water vapour scale 1.14 | 268.28 | 268.78 | +0.50 |
| Subarctic summer profile, water vapour scale 2.56 | 268.31 | 268.91 | +0.60 |
| [CO₂] relative to the default value of 400 ppm | Water vapour scale relative to the default tropical profile | Other greenhouse gases concentration relative to default | Downward IR heat flux at surface (W/m²) | Upward IR heat flux at surface (W/m²) | Outgoing LW radiation flux at 100 km altitude (W/m²) |
|---|---|---|---|---|---|
| 1 | 1 | 1 | 325.6 | 381.5 | 249.5 |
| 1 | 1 | 0 | 324.0 | 381.5 | 256.7 |
| 0 | 0 | 0 | 1.7 | 380.3 | 379.0 |
| 1 | 0 | 0 | 68.2 | 380.3 | 340.7 |
| 2500* | 0 | 0 | 215.7 | 381.5 | 257.1 |
| 0 | 0.0015 | 0 | 78.8 | 380.3 | 366.4 |
| 0 | 0.04 | 0 | 157.8 | 380.6 | 340.7 |
| 0 | 0.2 | 0 | 212.5 | 380.9 | 319.3 |
| 0 | 1 | 0 | 319.7 | 381.5 | 284.7 |
| 0 | 2.2 | 0 | 372.1 | 381.8 | 257.7 |
| Case of relative change | Relative change expression | Numerical value of relative change | |
|---|---|---|---|
| Downwelling flux | Outgoing flux | ||
| 3.18 | 4.44 | ||
| 0.207 | –0.136 | ||
| 0.015 | –0.015 | ||
| 0.186 | –0.112 | ||
| (see text) | 0.006 | –0.023 | |
| [CO₂] increase | Sky | ||||||
|---|---|---|---|---|---|---|---|
| mean* | % change | mean* | % change | ||||
| From 300 to 420 | Cloudy | 1.93 (0.31) |
382.4 (374.1) |
0.5% (0.1%) |
–1.18 (–1.00) |
235.1 (238.0) |
–0.5% (–0.4%) |
| From 300 to 420 | Clear | 1.57 (0.79) |
311.3 (309.6) |
0.4% (0.3%) |
–1.32 (–1.32) |
261.5 (265.7) |
–0.5% (–0.5%) |
| From 300 to 800 | Cloudy | 5.63 (0.63) |
384.2 (374.3) |
1.5% (0.2%) |
–3.45 (–2.89) |
234.0 (237.0) |
–1.5% (–1.2%) |
| From 300 to 800 | Clear | 4.59 (2.45) |
312.8 (310.5) |
1.2% (0.8%) |
–3.84 (–3.89) |
260.2 (264.4) |
–1.5% (–1.5%) |
Disclaimer/Publisher’s Note: The statements, opinions and data contained in all publications are solely those of the individual author(s) and contributor(s) and not of MDPI and/or the editor(s). MDPI and/or the editor(s) disclaim responsibility for any injury to people or property resulting from any ideas, methods, instructions or products referred to in the content. |
© 2024 by the authors. Licensee MDPI, Basel, Switzerland. This article is an open access article distributed under the terms and conditions of the Creative Commons Attribution (CC BY) license (http://creativecommons.org/licenses/by/4.0/).