Submitted:
25 March 2024
Posted:
26 March 2024
You are already at the latest version
Abstract
Keywords:
1. Introduction
2. Materials and Methods
2.1. Study Area
2.2. Soil Physico-Chemical Properties Analyses
2.3. Biomass Estimation
2.4. Statistical Analysis
3. Results
3.1. Perception of Population
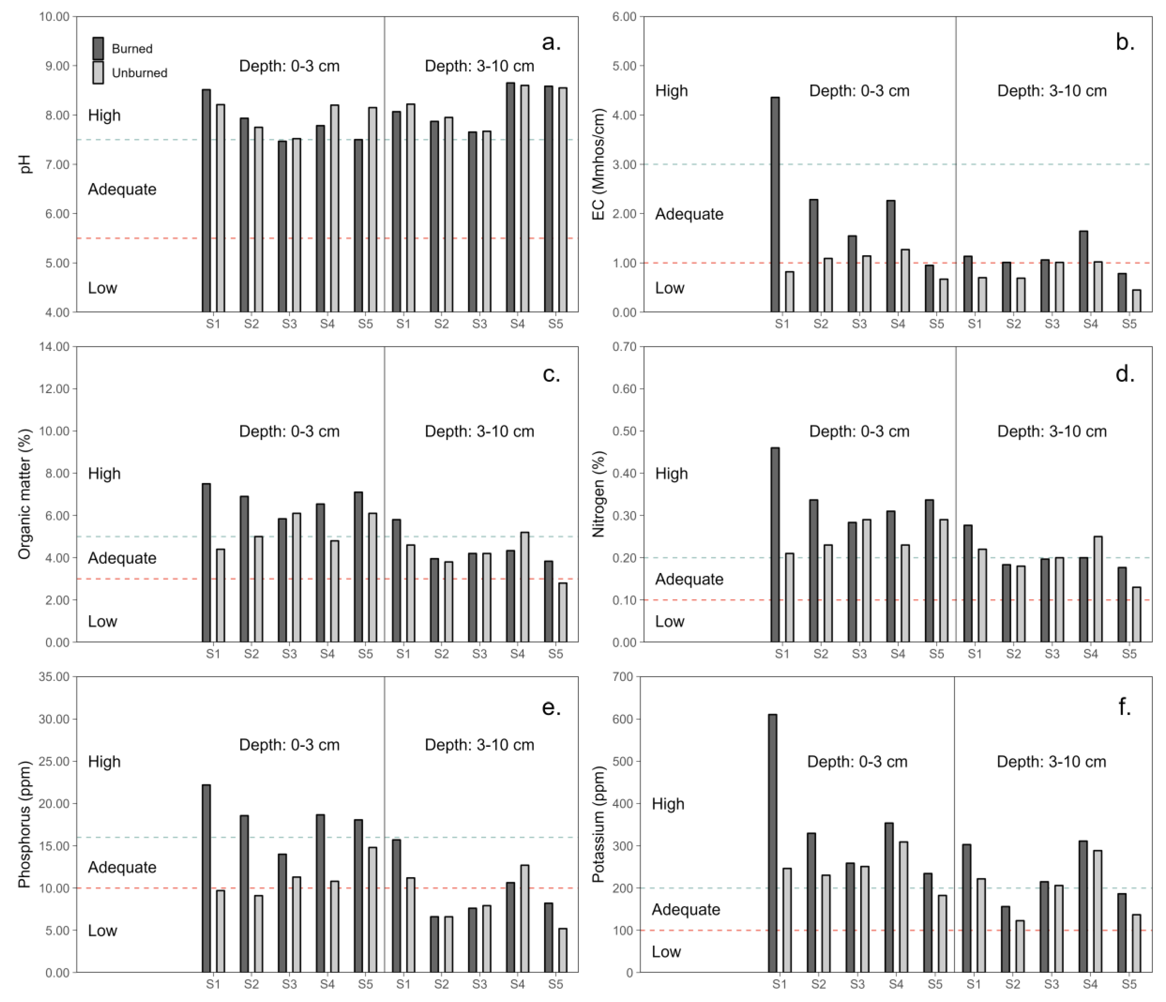
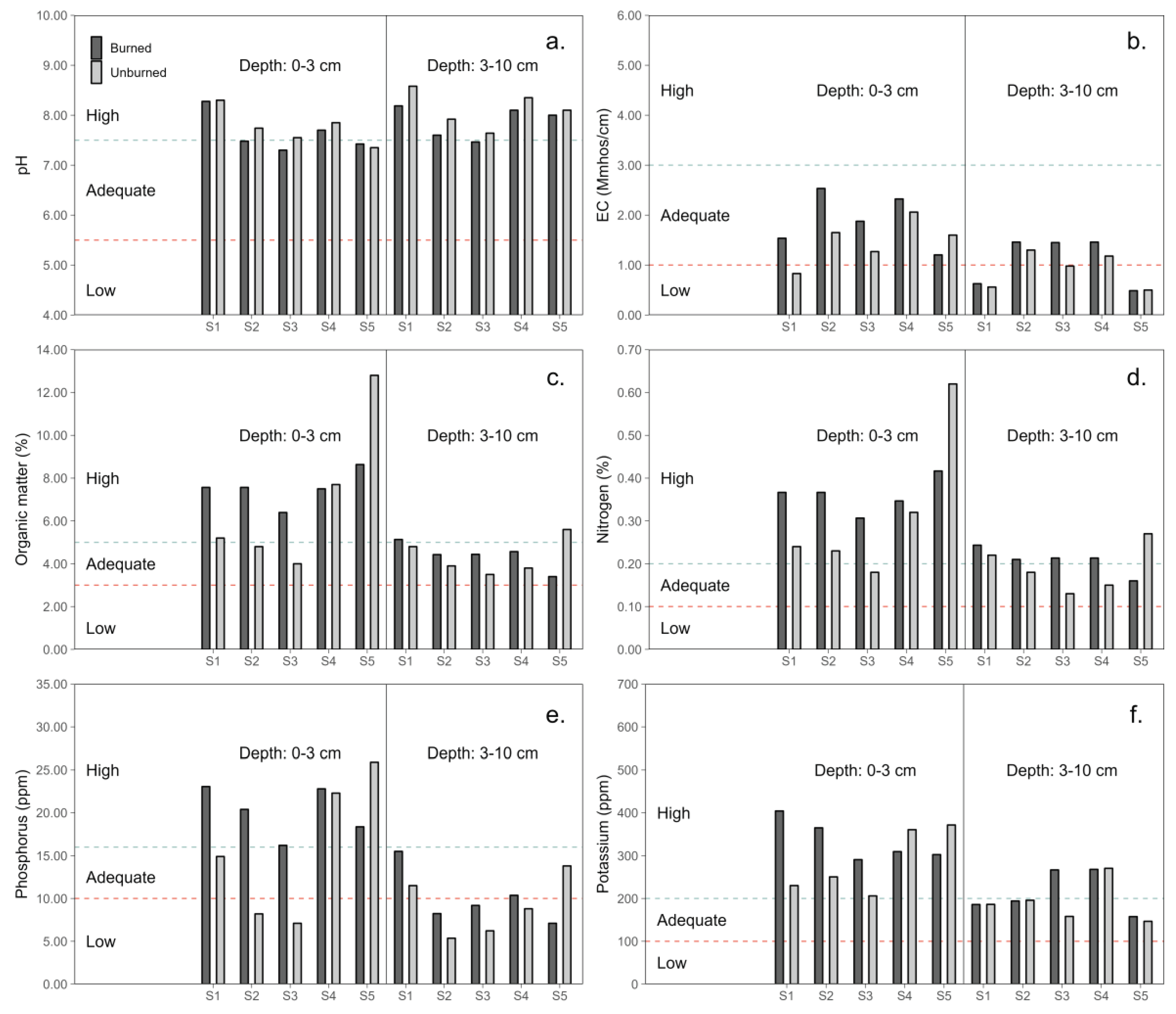
3.2. Changes of Soil Properties
3.3. Performance of Dry Biomass
4. Discussion
5. Conclusions
Author Contributions
Funding
Informed Consent Statement
Data Availability Statement
Acknowledgments
Conflicts of Interest
References
- Oliveras, I,; Girardin, C. ; Doughty, C.E.; Cahuana, N.; Arenas, C.E.; Oliver, V.; Huaraca Huasco, W.; Malhi, Y. Andean grasslands are as productive as tropical cloud forests. Environmental Research Letters 2014, 9, 115011. [Google Scholar] [CrossRef]
- Gonzalez, O.; Díaz, C.; Britto, B. Assemblage of nectarivorous birds and their floral resources in an elfin forest of the Central Andes of Peru. Ecología Aplicada 2019, 18, 21–35. [Google Scholar] [CrossRef]
- Montesinos-Tubée, D.B.; Jans, H. Treasures of Peru. The Alpine Gardener. Journal of the Alpine Garden Society 2015, 83, 174–191. [Google Scholar]
- Hughes, C.E. The tropical Andean plant diversity powerhouse. New Phytol 2016, 210, 1152–1154. [Google Scholar] [CrossRef] [PubMed]
- Wilcox, B. The Puna High Elevation Grassland of the Andes. Rangelands 1984, 6, 99–101. [Google Scholar]
- Aguilar-Garavito, M.; Cortina-Segarra, J. The current fire regime in northern Andean shrublands hinders tree recruitment and arrests forest succession. For. Ecol. Manage. 2023, 532, 120818. [Google Scholar] [CrossRef]
- Potschin, M.; Haines-young, R.; Fish, R.; Turner, R.K.; Egoh, B.N.; Bengtsson, J.; Lindborg, R.; Bullock, J.M.; Dixon, P.; Rouget, M. The importance of grasslands in providing ecosystem services. Routledge Handbook of Ecosystem Services 2016. [CrossRef]
- Borgnia, M.; Vilá, B. L.; Cassini, M. H. Foraging Ecology of Vicuña, Vicugna Vicugna, in Dry Puna of Argentina. Small Rumin. Res. 2010, 88, 44–53. [Google Scholar] [CrossRef]
- Agbeshie, A.A.; Abugre, S.; Atta-Darkwa, T.; Awuah, R. A review of the effects of forest fire on soil properties. J. For. Res. 2022, 33, 1419–1441. [Google Scholar] [CrossRef]
- Osman, K.T. Soils: Principles, Properties and Management. Springer, Dordrecht. [CrossRef]
- Alcañiz, M.; Outeiro, L.; Francos, M.; Farguell, J.; Úbeda, X. Long-term dynamics of soil chemical properties after a prescribed fire in a Mediterranean forest (Montgrí Massif, Catalonia, Spain). Sci. Total Environ. 2016, 572, 1329–1335. [Google Scholar] [CrossRef]
- Hofstede, R. G. M. The Effects of Grazing and Burning on Soil and Plant Nutrient Concentrations in Colombian Páramo Grasslands. Plant Soil 1995, 173, 111–132. [Google Scholar] [CrossRef]
- Zubieta, R.; Prudencio, F.; Ccanchi, Y.; Saavedra, M.; Sulca, J.; Reupo, J.; Alarco, G. Potential conditions for fire occurrence in vegetation in the Peruvian Andes. International Journal of Wildland Fire 2021, 30, 836–849. [Google Scholar] [CrossRef]
- SERFOR. Plan de prevención y reducción de riesgos de incendios forestales 2019-2022. Servicio Nacional Forestal y de Fauna Silvestre. 2018. https://www.gob. 1122.
- Alvarez, S. Percepción frente a la ocurrencia de incendios forestales en los pobladores de la comunidad Chanka, Huanoquite – Paruro y del centro poblado Arín-Huarán, Calca – Calca. Tesis para optar el Titulo profesional en Antropología. Universidad Nacional de San Antonio Abad del Cusco. 1291. [Google Scholar]
- Wurzinger, M.; Gutiérrez, G. Alpaca breeding in Peru: From individual initiatives towards a national breeding programme? Small Rumin. Res. 2022, 217, 106844. [Google Scholar] [CrossRef]
- Stavi, I. Wildfires in Grasslands and Shrublands: A Review of Impacts on Vegetation, Soil, Hydrology, and Geomorphology. Water 2019, 11, 1042. [Google Scholar] [CrossRef]
- Fernandes, P.; Matt Davies, G.; Fernández, C.; Moreira, F.; Rigolot, E.; Stoof, C.; Vega, J.A.; Molina, D. Prescribed burning in southern Europe: developing firemanagement in a dynamic landscape. Front. Ecol. Environ. 2013, 11, 4–14. [Google Scholar] [CrossRef]
- Fonseca, F.; de Figueiredo, T.; Nogueira, C.; Queirós, A. Effect of prescribed fire on soil properties and soil erosion in a Mediterranean mountain area. Geoderma 2017, 307, 172–180. [Google Scholar] [CrossRef]
- Dunson, C.; Pennington, O.; Brian, P.; Farrish, K. ; Hart, Tyson. The Effects of Prescribed Burning on Soil Water Infiltration Rates and Other Select Soil Physical and Chemical Properties in East Texas. Electronic Theses and Dissertations, /: https.
- Oliveira, A. P. P. de.; Neto, E. C. da S.; Marcondes, R. A. T.; Pereira, M. G.; Motta, M. S.; Diniz, Y. V. de F. G.; Fagundes, H. de S.; Delgado, R. C.; Santos, O. A. Q. dos.; Anjos, L. H. C. dos. Slope position controls prescribed fire effects on soil: a case study in the high-elevation grassland of Itatiaia National Park. Revista Brasileira de Ciencia Do Solo 2023, 47. [Google Scholar] [CrossRef]
- Santín, C.; Doerr, S.H. Fire effects on soils: the human dimension. Philos. Trans. R. Soc. B Biol. Sci. 2016, 371, 20150171. [Google Scholar] [CrossRef]
- Alcañiz, M.; Outeiro, L.; Francos, M.; Úbeda, X. Effects of prescribed fires on soil properties: A review. Sci. Total Environ. [CrossRef]
- Santana, N.A.; Morales, C.A.S.; Silva, D.A.A. da.; Antoniolli, Z.I.; Jacques, R.J.S. Soil Biological, Chemical, and Physical Properties After a Wildfire Event in a Eucalyptus Forest in the Pampa Biome. Rev. Bras. Cienc. do Solo 2018, 42. [Google Scholar] [CrossRef]
- Araya, S. N.; Meding, M.; Berhe, A. A. Thermal Alteration of Soil Physico-Chemical Properties: A Systematic Study to Infer Response of Sierra Nevada Climosequence Soils to Forest Fires. SOIL 2016, 2, 351–366. [Google Scholar] [CrossRef]
- Pardini, G.; Gispert, M.; Dunjó, G. Distribution patterns of soil properties in a rural Mediterranean area in northeastern Spain. Mt. Res. Dev. 2004, 24, 44–51. [Google Scholar] [CrossRef]
- Gómez-Rey, M.X.; Couto-Vázquez, A.; García-Marco, S.; González-Prieto, S.J. Impact of fire and post-fire management techniques on soil chemical properties. Geoderma. [CrossRef]
- Fernández-García, V.; Marcos, E.; Fernández-Guisuraga, J.M.; Taboada, A.; Suárez-Seoane, S.; Calvo, L. Impact of burn severity on soil properties in a Pinus pinaster ecosystem immediately after fire. Int. J. Wildl. Fire 2019, 28, 354–364. [Google Scholar] [CrossRef]
- Benhalima, Y.; Santos, E.; Arán, D.; Fonseca, M.; Abreu, M.M.; Duarte, I.; Acacio, V.; Nunes, L.; Lerma, V.; Rego, F. ; n. d. Preliminary evaluation of physical characteristics of soils from Mediterranean cork oak forests: post fire long term assessment 2022, 45, 700–703. [Google Scholar]
- Sulaeman, D.; Sari, E.N.N.; Westhoff, T.P. Effects of peat fires on soil chemical and physical properties: a case study in South Sumatra. IOP Conf. Ser. Earth Environ. Sci. 2021, 648, 12146. [Google Scholar] [CrossRef]
- Fadaei, Z.; Kavian, A.; Solaimani, K.; Sarabsoreh, L.Z.; Kalehhouei, M.; Zuazo, V.H.D.; Rodrigo-Comino, J. The Response of Soil Physicochemical Properties in the Hyrcanian Forests of Iran to Forest Fire Events. Fire 2022, 5, 195. [Google Scholar] [CrossRef]
- Zomer, M. A.; Ramsay, P. M. Post-Fire Changes in Plant Growth Form Composition and Diversity in Andean Páramo Grassland. Appl. Veg. Sci. 2021, 24, e12554. [Google Scholar] [CrossRef]
- Fajardo, A.; Gundale, M. J. Combined Effects of Anthropogenic Fires and Land-Use Change on Soil Properties and Processes in Patagonia, Chile. For. Ecol. Manage. 2015, 357, 60–67. [Google Scholar] [CrossRef]
- Chandra, K. K.; Bhardwaj, A. K. Incidence of Forest Fire in India and Its Effect on Terrestrial Ecosystem Dynamics. Nutrient and Microbial Status of Soil. 2015, 5, 69–78. [Google Scholar] [CrossRef]
- Minervini, M. G.; Morrás, H. J. M.; Taboada, M. Á. Efectos Del Fuego En La Matriz Del Suelo. Consecuencias Sobre Las Propiedades Físicas y Mineralógicas. Ecol. Austral 2018, 28, 012–027. [Google Scholar] [CrossRef]
- Mataix-Solera, J.; Cerdà, A.; Arcenegui, V.; Jordán, A.; Zavala, L. M. Fire Effects on Soil Aggregation: A Review. Earth-Science Rev. 2011, 109, 44–60. [Google Scholar] [CrossRef]
- Di Bella, C. M.; Jobbágy, E. G.; Paruelo, J. M.; Pinnock, S. Continental Fire Density Patterns in South America. Glob. Ecol. Biogeogr. 2006, 15, 192–199. [Google Scholar] [CrossRef]
- Astete, F.; Bastante, J. Machupicchu investigaciones interdisciplinarias. Dirección desconcentrada de cultura de Cusco. 2020, Ministerio de Cultura-Perú.
- SENAMHI. Caracterización climática de las regiones Apurímac y Cusco. Informe final de investigación del estudio bi-regional disciplinario, Proyecto Programa de Adaptación al Cambio Climático PACC. 2012, https://repositorio.senamhi.gob.pe/handle/20.500. 1254.
- MINAM. Mapa nacional de ecosistemas del Peru´. Ministerio del Ambiente-Peru´. Resolucio´n Ministerial No. 440–2018-MINAM. 2019, Available at https://cdn.www.gob.pe/uploads/document/file/433659/Memoria_MAPA_Ecosistemas_-OK.pdf? 1575.
- Ccanchi, Y. Evaluación de sequías y del riesgo potencial a la ocurrencia de incendios forestales en ecosistemas altoandinos mediante uso de sensores remotos. Tesis para optar el Titulo profesional de Ingeniero Agrícola, Universidad Nacional Agraria la Molina, /: http, 1299. [Google Scholar]
- Zubieta, R.; Ccanchi, Y.; Martínez, A.; Saavedra, M.; Norabuena, E.; Alvarez, S.; Ilbay, M. The Role of Drought Conditions on the Recent Increase in Wildfire Occurrence in the High Andean Regions of Peru. Int. J. Wildl. Fire 2023. [CrossRef]
- Zubieta, R.; Ccanchi, Y.; Liza, R. Performance of Heat Spots Obtained from Satellite Datasets to Represent Burned Areas in Andean Ecosystems of Cusco, Peru. Remote Sens. Appl. Soc. Environ. 2023, 32, 101020. [Google Scholar] [CrossRef]
- Espinoza Villar, J. C.; Ronchail, J.; Guyot, J. L.; Cochonneau, G.; Naziano, F.; Lavado, W.; De Oliveira, E.; Pombosa, R.; Vauchel, P. Spatio-temporal rainfall variability in the Amazon basin countries (Brazil, Peru, Bolivia, Colombia, and Ecuador). International Journal of Climatology 2009, 29, 1574–1594. [Google Scholar] [CrossRef]
- Bendix, J.; Rollenbeck, R.; Fabian, P.; Emck, P.; Richter, M.; Beck, E. Climate Variability. In: Beck, E., Bendix, J., Kottke, I., Makeschin, F., Mosandl, R. (eds) Gradients in a Tropical Mountain Ecosystem of Ecuador. Ecological Studies, vol 198. Springer, Berlin, Heidelberg 2008. [CrossRef]
- Bouyoucos, G.J. Hydrometer method improved for making particle size analysis of soils. Agronomy Journal 1962, 54, 464–465. [Google Scholar] [CrossRef]
- Sadzawka, R.; A, M.A.; Carrasco R., R. Grez Z., M.L. Mora G., H. Flores P. y A. Neaman. Métodos de análisis de suelos recomendados para los suelos de Chile. Revisión Instituto de Investigaciones Agropecuarias, Serie Actas, 2006; 34. [Google Scholar]
- Bremner, J.M. Determination of nitrogen in soil by the Kjeldahl method. J. Agric. Sci. 1960, 55, 11–33. [Google Scholar] [CrossRef]
- Page, A.L.; Miller, R.H.; Keeney, D.R. Methods of Soil Analysis, Part II; American Society of Agronomy: Madison 1982, WI, USA.
- Alva, A.K. Comparison of Mehlich 3, Mehlich 1, ammonium bicarbonate-OTP A, 1.0 M ammonium acetate, and 0.2 M ammonium chloride for extraction of calcium, magnesium, phosphorus, and potassium for a wide range of soils. Commun. Soil Sci. Plant Anal. 1993, 24, 603–612. [Google Scholar] [CrossRef]
- Chowdhury, S.; Manjón-Cabeza, J.; Ibáñez, M.; Mestre, C.; Broncano, M.J.; Mosquera-Losada, M.R.; Plaixats, J.; Sebastià, M.T. Responses in Soil Carbon and Nitrogen Fractionation after Prescribed Burning in the Montseny Biosphere Reserve (NE Iberian Peninsula). Sustainability 2022, 14, 4232. [Google Scholar] [CrossRef]
- Parker, K. The 3 Step Method for Measuring Condition and Trend of Forest Study". U.S. Dept. Agric. Techniques and Methods of Measuring Understory Vegetation. 1958. Georgia. U.S.A.
- Puma, E. Comparativo de dos métodos de determinación de la condición de un pastizal tipo pajonal de pampa en CICAS LA RAYA-FAZ-UNSAAC. [Tesis de Pregrado] Para optar al Título Profesional de Ingeniero Zootecnista. Universidad San Antonio Abad del Cusco 2014. https://repositorio.unsaac.edu.pe/handle/20.500. 1291. [Google Scholar]
- Howard, J. , Hoyt, S., Isensee, K., Telszewski, M., & Pidgeon, E. Coastal blue carbon, methods for assessing carbon stocks and emissions factors in mangroves, tidal salt marshes, and seagrass meadows. International Union for Conservation of Nature. 2014. [Google Scholar]
- Cuniff, P. ; AOAC. International. Official methods of analysis of AOAC International (16 Ed). 1997, AOACInternational.
- Pérez-Escobar, O. A.; Zizka, A.; Bermúdez, M. A.; Meseguer, A. S.; Condamine, F. L.; Hoorn, C.; Hooghiemstra, H.; Pu, Y.; Bogarín, D.; Boschman, L. M.; Pennington, R. T.; Antonelli, A.; Chomicki, G. The Andes through Time: Evolution and Distribution of Andean Floras. Trends Plant Sci. 2022, 27, 364–378. [Google Scholar] [CrossRef]
- Mann, H. B.; Whitney, D. R. On a test of whether one of two random variables is stochastically larger than the other. Annals of Mathematical Statistics 1947, 18, 50–60. [Google Scholar] [CrossRef]
- Farfan, R.; Farfan, E. Producción de pasturas cultivadas y manejo de pastos naturales altoandinos. Instituto Nacional de Innovación Agraria, 1295. [Google Scholar]
- Romanyà, J.; Khanna, P. K.; Raison, R. J. Effects of slash burning on soil phosphorus fractions and sorption and desorption of phosphorus. Forest Ecology and Management 1994, 65, 89–103. [Google Scholar] [CrossRef]
- Sánchez-García, C.; Santín, C.; Neris, J.; Sigmund, G.; Otero, X. L.; Manley, J.; González-Rodríguez, G.; Belcher, C. M.; Cerdà, A.; Marcotte, A. L.; Murphy, S. F.; Rhoades, C. C.; Sheridan, G.; Strydom, T.; Robichaud, P. R.; Doerr, S. H. Chemical characteristics of wildfire ash across the globe and their environmental and socio-economic implications. Environment International 2023, 178, 108065. [Google Scholar] [CrossRef] [PubMed]
- Giovannini, G.; Lucchesi, S. Modifications Induced in Soil Physico-Chemical Parameters by Experimental Fires at Different Intensities. Soil Science 1997, 162, 479–486. [Google Scholar] [CrossRef]
- Huaman, L.D. Efecto de la quema en las propiedades fisicoquímicas de un suelo agrícola en el distrito de Sincos, Jauja, 2018. Tesis para optar el título profesional de Ingeniero Ambiental, Escuela Académico Profesional de Ingeniería Ambiental, Universidad Continental, Huancayo, Perú. 2021, https://hdl.handle.net/20.500. 1239. [Google Scholar]
- Alva, D. M.; Manosalva, H. I. Efecto del fuego en las propiedades químicas del suelo en el cañón de Sangal, Cajamarca (Tesis de licenciatura) Universidad Privada del Norte. 2019, Recuperado de http://hdl.handle.net/11537/21088.
- Hernández, T.; García, C.; Reinhardt, I. Short-term effect of wildfire on the chemical, biochemical and microbiological properties of Mediterranean pine forest soils. Biology and Fertility of Soils 1997, 25, 109–116. [Google Scholar] [CrossRef]
- Verma, S.; Singh, D.; Singh, A. K. , & Jayakumar, S. Post-fire soil nutrient dynamics in a tropical dry deciduous forest of Western Ghats, India. Forest Ecosystems 2019, 6, 6. [Google Scholar] [CrossRef]
- Francos, M.; Stefanuto, E.B.; Úbeda, X, Pereira P. Long-term impact of prescribed fire on soil chemical properties in a wild-land-urban interface. Northeastern Iberian Peninsula. Sci Total Environ. 2019, 689, 305–311. [Google Scholar] [CrossRef] [PubMed]
- Certini, G. Effects of fire on properties of forest soils - a review. Oecologia 2005, 143, 1–10 http://wwwjstororg/stable/20062214. [Google Scholar] [CrossRef] [PubMed]
- Patiño-Gutiérrez, S. E.; Domínguez-Rivera, I. C.; Daza-Torrez, M. C.; Ochoa-Tocachi, B. F.; Oviedo-Ocaña, E. R. Effects of rainfall seasonality and land use change on soil hydrophysical properties of high-Andean dry páramo grasslands. CATENA 2024, 238, 107866. [Google Scholar] [CrossRef]
- Ding, X.; Jiang, Y.; Zhao, H.; Guo, D.; He, L.; Liu, F.; Zhou, Q.; Nandwani, D.; Hui, D.; Yu, J. Electrical conductivity of nutrient solution influenced photosynthesis, quality, and antioxidant enzyme activity of pakchoi (Brassica campestris L. ssp. Chinensis) in a hydroponic system. PloS One 2018, 13, e0202090. [Google Scholar] [CrossRef]
- Pacheco Isasi, A. E. Efecto del fuego sobre las comunidades de pastizales y matorrales en el anexo de Torotani, distrito de Polobaya, Arequipa, octubre- diciembre, 2018. 2019. https://repositorio.unsa.edu. 1028. [Google Scholar]
- Novara, A. , Gristina, L., Bodí, M. B., & Cerdà, A. The impact of fire on redistribution of soil organic matter on a Mediterranean hillslope under maquia vegetation type. Land Degradation & Development 2011, 22, 530–536. [Google Scholar] [CrossRef]
- Mason, J. A.; Zanner, C.W. Grassland Soils. In D. Hillel (Ed.), Encyclopedia of Soils in the Environment 2005, (pp. 138–145). Elsevier. [CrossRef]
- Bahr, E.; Chamba Zaragocin, D.; Makeschin, F. Soil nutrient stock dynamics and land-use management of annuals, perennials and pastures after slash-and-burn in the Southern Ecuadorian Andes. Agriculture, Ecosystems & Environment 2014, 188, 275–288. [Google Scholar] [CrossRef]
- Giovannini, G. The effect of fire o soil quality. En: Sala, M y Rubio, J. L. Eds. Soil erosion as a consequence offorest fires. Geoderma Ediciones 1994, Logroño, 15-27.
- Pretty, J. Agroecology: Ecological Processes in Sustainable Agriculture. Second edition. By S. R. Gliessman. Boca Raton, FL, USA: Lewis Publishers. Experimental Agriculture - EXP AGR. [CrossRef]
- Hermitaño and Crisostommo. Efecto de la quema de pastizales en las propiedades de los suelos en Huamancaca Chico. Huancayo. 2020. Tesis para optar el título profesional de Ingeniero Ambiental, Escuela Académico Profesional de Ingeniería Ambiental 2021, Universidad Continental, Huancayo.
- Thompson, L. M.; Tomás, J. P.; Troeh, F. R. Los suelos y su fertilidad. 1980, Reverté. https://books.google.com.pe/books?
- Végvári, Z.; Valkó, O.; Balázs, D.; Török, P.; Konyhás, S.; Tóthmérész, B. Effects of Land use and Wildfires on the Habitat Selection of Great Bustard ( Otis tarda L.) - Implications for Species Conservation. Land Degradation and Development. [CrossRef]
- Tedim, F.; Leone, V. The Dilemma of Wildfire Definition: What It Reveals and What It Implies. Frontiers in Forests and Global Change 2020, 3, 134. [Google Scholar] [CrossRef]
- Hamilton, M.; Salerno, J. Cognitive Maps Reveal Diverse Perceptions of How Prescribed Fire Affects Forests and Communities. Front. Frontiers in Forests and Global Change 2020, 3, 2–3. [Google Scholar] [CrossRef]
- MINAGRI. D. S. 16-2012 - AG. Aprueban Reglamento de Manejo de Los Residuos Sólidos Del Sector Agrario 2012, https://busquedas.elperuano.pe/normaslegales/aprueban-reglamento-de-manejo-de-los-residuos-solidos-del-se-decreto-supremo-n-016-2012-ag-866098-1/ (, 2021). 25 August.
- Law 29263. Ley que modifica diversos artículos del Código Penal y la Ley General del Ambiente, artículo 310 2008, Available at: https://cdn.www.gob.pe/uploads/document/file/385602/Ley_N__2926320191013-25586-1xkw7bj.pdf (accessed on 25 august 2021).
- et al. Integrated Forest management to prevent wildfires under Mediterranean environments. Annals of Silvicultural Research. 2015, 39, 1–22. [Google Scholar] [CrossRef]
- Ometto, J.; Kalaba, G.; Anshari, N.; Chacon, A.; Farrell, S.; Halim, H.; Sukumar, R. Chapter Paper 7: Tropical Forests. In Climate Change 2022: Impacts, Adaptation and Vulnerability. C: Contribution of Working Group ii to the Sixth Assessment Report of the Intergovernmental Panel on Climate Change 2022, Cambridge University Press, 2022. [Google Scholar]




| Characteristics | Zone 01 | Zone 02 |
|---|---|---|
| Farmer community | Macay | Salloc |
| Province | Calca | Quispicanchi |
| District | Calca | Andahuaylillas |
| Altitude | 2944 m asl. | 3524 m asl. |
| Temperature | 10° - 25 ° | 5° - 9° |
| Main economy activity | Agriculture (potatoe, corn etc.), Livestock (cattle and sheep) | Agriculture (corn etc.), Livestock ( cattle and sheep) |
| Characteristics | Wildfire | Wildfire |
| Approximate duration | 15:00 - 19: 00 hrs. | 14:30 - 18:00 hrs. |
| Date | Aug 23, 2022 | Aug 30, 2022 |
| Affected area | 94 ha | 13 Ha |
| Affected Vegetation | Grassland | Grassland |
| Question | Social opinion |
|---|---|
| What is the objective of burning? | Eliminating weeds and stubble to expand cropland. Renewing grasslands. Limiting the uncontrolled growth of vegetation. |
| What is the season in which the burnings take place? | June, July, August, September (for preparing the ground for the next agricultural campaign). April, May, October, November (for grassland renewal purposes). |
| Who is involved in the burning process | Families take responsibility for managing the fire to prevent its spread, along with personnel possessing expertise in burning practices. |
| Does the burning of grasslands contribute to soil fertility improvement? | Yes, grassland burning enhances soil fertility by providing ash that can act as a fertilizer. |
| After a fire, what is the process of grassland recovery in terms of both quantity and quality, and what is the typical timeframe for this recovery?" | The post-fire recovery of grassland can vary in both quantity and quality. Sometimes the grassland remains unchanged, while in other cases, there is a decrease in quantity (likely due to root damage). Full recovery may take several years, typically ranging from 1 to 4 years after the fire. |
| Family | Genus - herbaceous species | Local name | Growth and duration | Macay | Salloc | ||
|---|---|---|---|---|---|---|---|
| Unb | burn | Unb | burn | ||||
| Poaceae | Melinis minutiflora | Pasto gordura | Herbaceous/perennial | x | x | x | x |
| Stipa ichu | Paja brava | Herbaceous/perennial | x | x | x | ||
| Poa annua | Qachu | Herbaceous/annual | x | x | |||
| Muhlenbergia fastigiata | Grama dulce | Herbaceous/perennial | x | ||||
| Calamagrostis intermedia | Cebadilla | Herbaceous/annual | x | x | |||
| Pennicetum clandestinum | Kikuyo | Herbaceous/perennial | x | x | |||
| Paspalum vaginatum | Grama | Herbaceous/perennial | x | x | |||
| Dactylis glomerata | Eno pasto | Herbaceous/perennial | x | x | |||
| Asteraceae | Taraxacum officinale | Diente de león | Herbaceous/perennial | x | |||
| Tagetes elliptica | chicchinpa | Herbaceous/perennial | x | x | |||
| Schkuria pinnata | Canchalagua | Herbaceous/annual | x | x | x | ||
| Viguiera lanceolata | Sunchu | Herbaceous/perennial | x | x | x | x | |
| Laggera crispata | - | Herbaceous/annual | x | ||||
| Cactaceae | Austrocylindropuntieae subulata | Pata kiska | Herbaceous/annual | x | x | x | |
| Opuntia ficus | Airampo | Shrub/perennial | x | ||||
| Lamiaceae | Salvia rosmarinus | Romero | Herbaceous/perennial | x | |||
| Dennstaedtiaceae | Pteridium aquilinum | Rakiraki | Fern/perennial | x | |||
| Berberidoideae | Berberis vulgaris | Checche | Shrub/perennial | x | |||
| Equisetaceae | Equisetum arvense | Cola de caballo | Shrub/perennial | x | |||
| Geraniaceae | Erodium cicutarium | Aguja de pastor | Herbaceous/perennial | x | |||
| Pteridaceae | Adiantum capillus | Culantrillo | Fern/perennial | x | |||
| Euphorbiaceae | Euphorbia prostata | Mullaca | Herbaceous/annual | x | |||
| Verbenaceae | Verbena officinalis | verbena | Herbaceous/perennial | x | x | ||
| Anacardiaceae | Schinus molle | Molle | Shrub/perennial | x | x | ||
| Amaranthaceae | Altermanthera pungens | Illutu illutu | Herbaceous/perennial | x | x | ||
| Convolvulaceae | Dichondra sericea | Oreja de ratón | Herbaceous/perennial | x | |||
| Brassicaceae | Brassica rapa | Lávanos | Herbaceous/annual | x | x | ||
| Fabaceae | Trifolium repens | Trébol | Herbaceous/perennial | x | x | ||
Disclaimer/Publisher’s Note: The statements, opinions and data contained in all publications are solely those of the individual author(s) and contributor(s) and not of MDPI and/or the editor(s). MDPI and/or the editor(s) disclaim responsibility for any injury to people or property resulting from any ideas, methods, instructions or products referred to in the content. |
© 2024 by the authors. Licensee MDPI, Basel, Switzerland. This article is an open access article distributed under the terms and conditions of the Creative Commons Attribution (CC BY) license (http://creativecommons.org/licenses/by/4.0/).
