1. Introduction
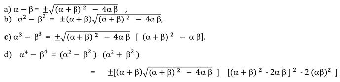
1.1. Algebra Formula: Symmetric Function Of A Quadratic’s Roots

1.2. Example Quadratic Root function Calculation [Algebra Formula]
Example: If α, β are the zeroes of the polynomial − 2x + 2. find the value of i) +, ii) +, iii) +, iv) + v) +

1.3. Newton Sum (Newton’s Identities
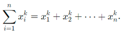
Newton’s identities, also known as Newton-Girard formulae, is an efficient way to find the power sum of roots of polynomials without actually finding the roots. If are the roots of a polynomial equation, then Newton’s identities are used to find the summations like

It is mainly used in conjunction with Vieta’s formula while working with the (complex) roots (say ) of a degree polynomial. The main idea is that the elementary symmetric polynomials form an algebraic basis to produce all symmetric polynomials. Newton’s identity gives us the calculation via a recurrence relation with known coefficients.
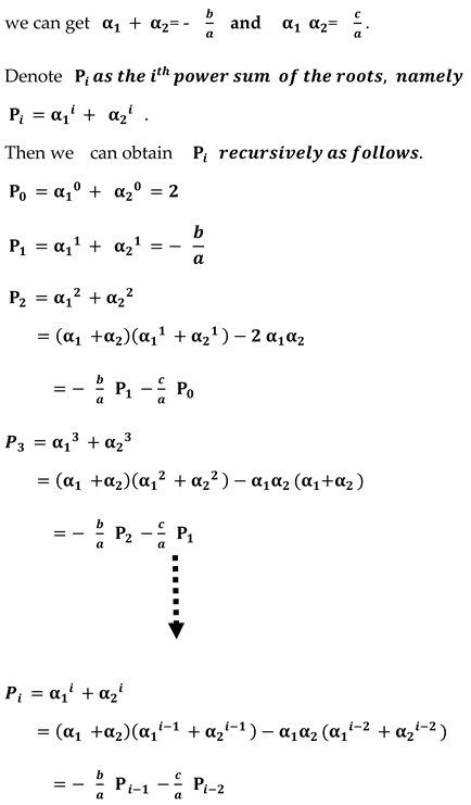
Newton’s Identities for a Quadratic Polynomial
Suppose that you have a quadratic polynomial P(x) with (complex) roots and. Now, you are asked to find the value of .
This seems very easy since you can use Vieta’s formula along with the identity = ++ 2ab to find the required result. But what if you need to find ? This would take a while if you were to simply use algebraic manipulations. But there’s a clever way, using Newton’s sums.
Let P(x) = + bx + c . Then using Vieta`s formula,
This is a linear recurrence relation that gives us the power sum. Note that solving this recurrence to get a closed-form solution is equivalent to finding the roots of the quadratic polynomial.




2. The Pros Newton’s Sum in Quadratic Root Function Computations
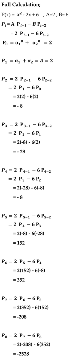
2.1. Real Root Quadratic Equation
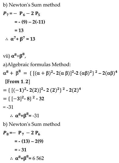
Example: If the roots of the equation - 4x + 3 =0 are α and β, find the value of i) +, ii) +, iii) + iv) +, v) +, vi) + and vii) +,
Solution:



Note: The significant advantages of Newton’s Sum method are obvious, such as freeing students from the burden of memorizing a large number of formulas. As shown above, if the algebraic formula method is used to calculate the quadratic root function, students need to remember a large number of formulas.
2.2. Complex Root Quadratic Equation
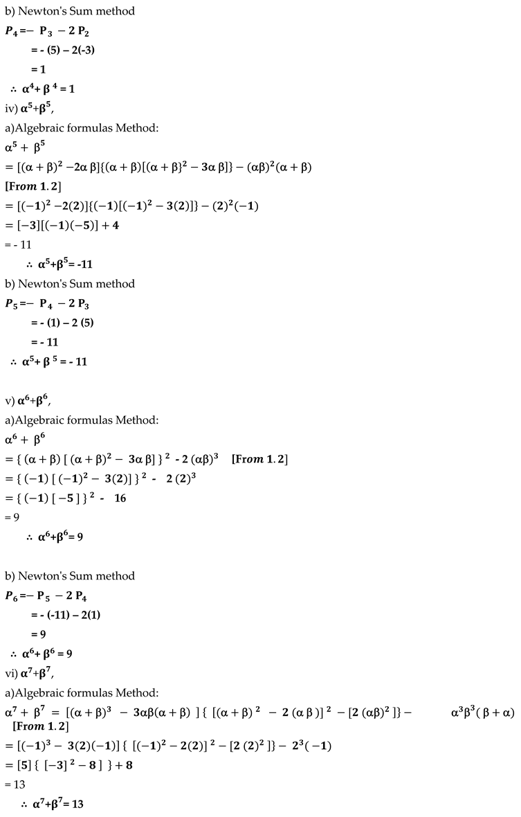
Example: If the roots of the equation + x + 2 = 0 are α and β, find the value of i) +, ii) +, iii) + iv) +, v) +, vi) + and vii) +,



Note: As shown above, Newton’s Sum is a historical calculation method that relies on previous results for subsequent calculations. This common historical basis reveals a limitation, particularly when dealing with higher-order quadratic root functions involving exponents such as + . For higher-order quadratic root functions, using Newton’s Sum involves many steps that can lead to calculation errors.
3. The Cons Newton’s Sum in Quadratic Root Function Computations
Example: If the roots of the equation - 3x + 2 = 0 are α and β, find the value +


4. Asymmetric Function of a Quadratic’s Roots
Note: Newton Sum method not suitable for Asymmetric Quadratic Root Function Computations, adding an extra layer of complexity to its application.

5. Conclusion
In conclusion, “Mastering Newton’s Sum” serves as a comprehensive and enlightening guide to navigating the intricate world of quadratic roots through the lens of Newton’s Sum method.
Newton’s Sum method notable advantages, such as freeing students from the burden of memorizing numerous formulas, are evident. However, as the narrative unfolds, the book draws parallels between Newton’s Sum and the Pascal triangle method—both historical calculation methods reliant on prior results for subsequent calculations. This shared historical foundation reveals a limitation, particularly when addressing higher-order quadratic root functions involving exponents like + .
Furthermore, the Newton Sum method proves not suitable for asymmetric quadratic root function computations, adding an extra layer of complexity to its application.
Beyond a mere instructional tool, the book encourages a profound understanding of when and where to apply Newton’s Sum, adding a layer of insight to its practical use. As we reflect on the evolution from the Pascal triangle method to the binomial theorem, a clear imperative emerges to develop innovative approaches that overcome the limitations posed by Newton’s Sum.
This necessity becomes a call to action, guiding readers toward future explorations and inspiring the creation of methods that transcend existing constraints. “Mastering Newton’s Sum” is not just a guide; it is an invitation to embark on a journey of innovation, forging a dynamic intersection of history, creativity, and mathematical mastery.
As we chart new territories in the realm of quadratic roots, this book stands as a beacon, propelling readers towards unprecedented heights of understanding and application. It is a testament to the ongoing dialogue between tradition and innovation in the ever-evolving landscape of mathematical exploration.
References
- BYJUS: https://byjus.com/question-answer/if-alpha-beta-are-the-zeroes-of-the-polynomial-x-2-2x-2-find-the/.
- BYJUS: https://byjus.com/question-answer/if-alpha-and-beta-are-the-roots-of-the-equation-x-2-6x-6-0/.
- Prasun Biswas et al.l. Newton’s Identities. BRILLIANT. https://brilliant.org/wiki/newtons-identities/.
|
Disclaimer/Publisher’s Note: The statements, opinions and data contained in all publications are solely those of the individual author(s) and contributor(s) and not of MDPI and/or the editor(s). MDPI and/or the editor(s) disclaim responsibility for any injury to people or property resulting from any ideas, methods, instructions or products referred to in the content. |
© 2024 by the authors. Licensee MDPI, Basel, Switzerland. This article is an open access article distributed under the terms and conditions of the Creative Commons Attribution (CC BY) license (http://creativecommons.org/licenses/by/4.0/).