Submitted:
21 March 2024
Posted:
22 March 2024
You are already at the latest version
Abstract
Keywords:
1. Introduction
2. Geological Characteristics of the Deposit
3. Analysis Method
4. Analysis Results
4.1. Zoning Characteristics of Tectonite-Mineralized Alteration Lithofacies
4.2. Characteristics of Fluid Inclusions
4.3. Geochemical Characteristics
4.3.1. Major Element Characteristics
4.3.2. Trace Element Characteristics
4.3.3. Rare Earth Element (REE) Characteristics
5. Discussion
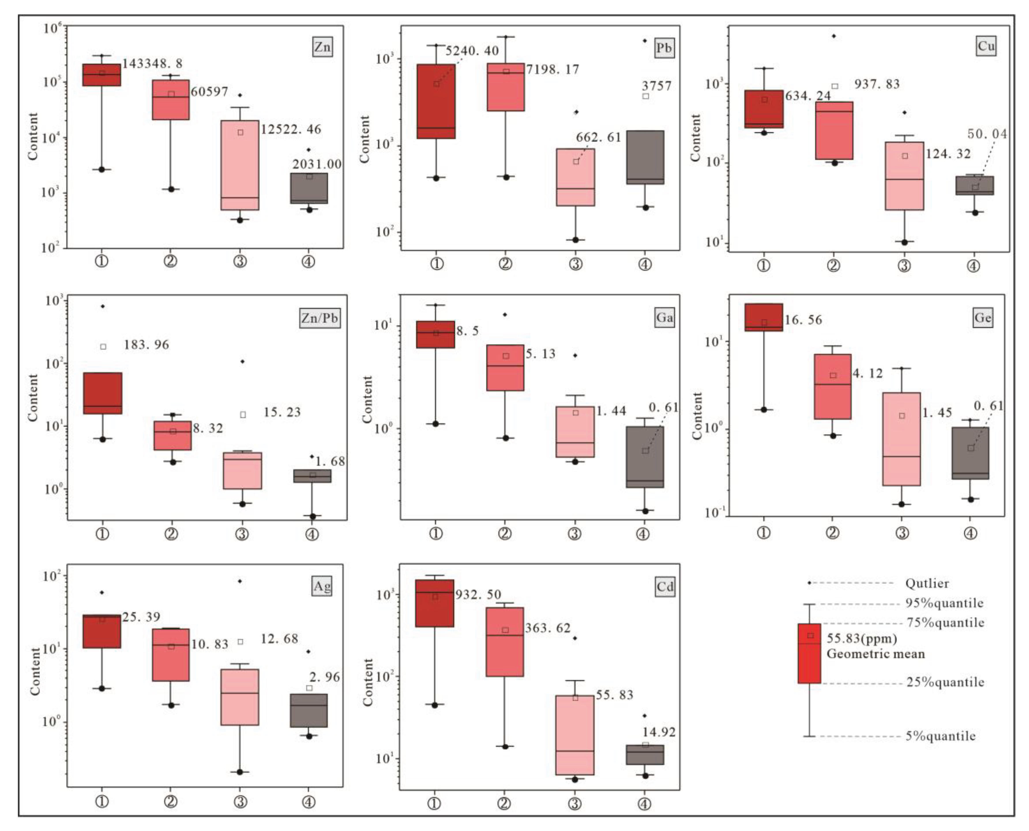
5.1. Element Characteristics and Significance of Tectonite-Mineralized Alteration Lithofacies Zones



5.2. Zoning Mechanism of Tectonite-Mineralized Alteration Lithofacies
6. Conclusion
Author Contributions
Funding
Data Availability Statement
Acknowledgments
Conflicts of Interest
References
- Han R S, Wang L, Fang W X, et al. Preliminary discussion on the piercing structural rock-mineralized altered rock phase zoning model of the Fengshan copper deposit in Yimen area, Yunnan. Geological Bulletin, 2011, 31(4): 495-504. (in Chinese).
- Fang W X, Wang S C, Jia R X et al. Theoretical innovation and technology research and development direction of large-scale structural petrographic mapping. Mineral exploration,2021,12(07):1488-1518. (in Chinese).
- Lv G X. Research on large-scale mapping of structural deformation and lithofacies traces and structural mineralization of Linglong-Jiaojiashi Au deposit. Acta Geosciences,1998, 19(2):10. (in Chinese).
- Lv G X, Guo T, Shu B, et al. Large-scale mapping of structural deformation lithofacies traces and geological prediction of hidden deposits - taking the Linglong-Jiaojia style gold deposit in Jiaodong as an example. Geological Bulletin of China,2001,(03):313-321.
- Lv G X, Zhang B L, Hu B Q, et al. Classification and application effects of lithofacies classification of ore field structural deformation. Geological Bulletin, 2020, 39(11):12.
- Zhang B L, Lv G X, Yu J G, et al. Research on tectonic deformation lithofacies classification based on deep geophysical information.Earth Science Frontiers, 2022,29(01):413-426 (in Chinese). [CrossRef]
- Liu H C, Lin W D. Research on the regularity of Pb-Zn-Ag deposits in Northeast Yunnan. Yunnan University Press, 1999. (in Chinese).
- Cui Y L, Zhou J X, Huang Z L et al. Geology, geochemistry and genesis of the Pb-Zn deposit in Fule, Yunnan Province. Acta petrologica sinica, 2018, 34(1): 194-206. (in Chinese).
- Han R S, Zhang Y, Ren T, et al. Review of research on non-magmatic epithermal lead-zinc deposits hosted in carbonate rocks. Journal of Kunming University of Science and Technology: Natural Science Edition, 2020,45(04):29-40. (in Chinese).
- Han R S , Wu P , Zhang Y , et al. New progress in theoretical research on the mineralization theory of germanium-rich lead-zinc deposits in the Sichuan-Yunnan-Guizhou metallogenic area of Southwest Tethys . Acta Geologica Sinica, 2022, 96(2): 554-573.(in Chinese).
- Kong Z G, Zhang B C, Wu Y, et al. Research on the ore-controlling structural style and mineralization mechanism of the Daliangzi germanium-lead-zinc deposit in Sichuan [J]. Geoscience Frontiers, Earth Science Frontiers, 2022, 29(1): 143. (in Chinese).
- Lin F C. New exploration into the origin of the Pb-Zn deposit in Daliangzi, Huidong, Sichuan . Mineral Deposits, 1994, 13(2): 126-136. (in Chinese).
- Liu Z P. Study on stable isotope geochemistry of Daliangzi Pb-Zn deposit in Huidong, Sichuan . Chengdu University of Technology,2016. (in Chinese).
- Zhang J H. Mineralogical characteristics and genetic significance of the Daliangzi Pb-Zn deposit in Huidong, Sichuan.Chengdu University of Technology, 2015. (in Chinese).
- Yuan B, Zhang C, Yu H, et al. Element enrichment characteristics: Insights from element geochemistry of sphalerite in Daliangzi Pb–Zn deposit, Sichuan, Southwest China. Journal of Geochemical Exploration, 2018, 186: 187-201.
- Liu W, Zhang X, Zhang J, et al. Sphalerite Rb-Sr dating and in situ sulfur isotope analysis of the Daliangzi lead-zinc deposit in Sichuan Province, SW China. Journal of Earth Science, 2018, 29(3): 573-586.
- Wu J B, Han R S, Feng Z X, Wu P, Gong H S, Ding T Z, Zhao Xinyue, Li L J,. F_(15) main controlling fault and its ore-controlling mechanism in Daliangzi Pb-Zn mining area in southwest Sichuan. Geological Bulletin Of China, 2022, 41 (10): 1869-1886.] (in Chinese).
- Li L J, Han R,Zhang Y,Wu J,Feng Z. Trace element signatures of sphalerite in the Sichuan Daliangzi Ge-rich Pb-Zn deposit and its implications for deep ore prospecting. Frontiers in Earth Science,2022.
- Wang Z J. Discussion on the sedimentary origin of ancient karst caves in Tianbaoshan and Daliangzi Pb-Zn mines. Geology and Exploration, 1985, 10: 10-17. (in Chinese).
- Hu J Z. New understanding of the metallogenic structure and metallogenic model of the Daliangzi lead-zinc-silver deposit in Huidong . Acta Geologica Sinica, 1993, (01): 40-68. (in Chinese).
- Han R S, W F, Hu Y Z, et al. Study on metallogenic structural dynamics and chronological constraints of Huize type (HZT) germanium-silver-lead-zinc deposit. Geotectonics and Mineralization, 2014, 38(4) : 758-771.(in Chinese).
- Wang Q, An Y L, Gu X X, et al. Enrichment rules of dispersed elements cadmium, germanium and gallium in Daliangzi Pb-Zn deposit, Sichuan. Sedimentary Geology and Tethyan Geology, 2010, 30 (01): 78-84. (in Chinese).
- Bodnar R J. Revised equation and table for determining the freezing point depression of H2O-NaCl solutions. Geochimica et Cosmochimica acta, 1993, 57(3): 683-684.
- Liu B , Shen K . Thermodynamics of Full Body Inclusions. Beijing; Geological Publishing House. 1999, 44-114.(in Chinese).
- Zeng Q F. On hydrothermal mineralization conditions.Beijing: Science Press, 1986. (in Chinese).
- Wang H. Research on the mineralization of MVT Pb-Zn deposits in the Lianghui area, Sichuan, China. Kunming University of Science and Technology,2019. (in Chinese).
- Michard A. Rare earth element systematics in hydrothermal fluids. Geochimica et Cosmochimica Acta, 1989, 53(3): 745-750.
- Bau M, Moeller P. Rare earth element fractionation in metamorphogenic hydrothermal calcite, magnesite and siderite. Mineralogy and petrology, 1992, 45(3): 231-246.
- Cherniak D J, Zhang X Y, Wayne N K, et al. Sr, Y, and REE diffusion in fluorite[J]. Chemical Geology, 2001, 181(1-4): 99-111.
- Schönenberger J, Köhler J, Markl G. REE systematics of fluorides, calcite and siderite in peralkaline plutonic rocks from the Gardar Province, South Greenland. Chemical Geology, 2008, 247(1-2): 16-35.
- Liu S w, Shi S, Li R X, et al. Geochemistry study of rare earth elements in the May-uan Pb-Zn deposit in the northern margin of the Yangtze Plate. Mineral Deposits,2013,32(05):979-988 (in Chinese). [CrossRef]
- Zhu C, Wang J, Zhang J, et al. Isotope geochemistry of Zn, Pb and S in the Ediacaran strata hosted Zn-Pb deposits in Southwest China. Ore Geology Reviews, 2020, 117: 103274.
- Yin F G, Sun Z M, Ren G M, et al. Geological records of the Early-Mesoproterozoic orogeny in the southwestern margin of the Upper Yangtze Block. Acta Geologica Sinica, 2012, 86(12):1917-1932.(in Chinese). [CrossRef]
- Liu J Q, He L, He P. Geochemical characteristics and significance of the Qiongzhusi Formation in the eastern margin of the Kangdian Ancient Continent- Take as an examp-e the profile of Zincanggou in Zhaoyang District, Zhaotong City, Yunnan Province. Act-a Sedimentae Sinica,2021,39(05):1305-1319 (in Chinese). [CrossRef]
- Sverjensky D A. Europium redox equilibria in aqueous solution. Earth and Planetary Science Letters, 1984, 67(1): 70-78.
- Constantopoulos J. Fluid inclusions and rare earth element geochemistry of fluorite from south-central Idaho. Economic Geology, 1988, 83(3): 626-636.
- Wang L Q, Cheng W B, Luo M C, et al. Study on the composition characteristics and genesis of metal sulfides and quartz rare earth elements in Meng Ya A Pb-Zn deposits, Xi Zang China. Geology of China, 2012,39(03):740-749. (in Chinese).
- Cao H W, Zhang S T, Gao Y Z, et al. Geochemical characteristics of rare earth elements and their indicative significance in Linxi fluorite deposit, Neimenggu, China. Ge-ochimica,2014,43(02):131-140. (in Chinese).
- Song D H, Han R S, Wang M Z, et al. Main ore-controlling fault structural rock-lithofacies zoning model of Qingshan Pb-Zn deposit in northwest Guizhou. Journal of Geomechanics, 2020, 26(03): 376-390. (in Chinese).
- Ding Z J, Liu C Q, YAO S Z , et al. The composition of rare earth elements and their controlling factors in high-temperature fluids in submarine hydrothermal systems.Advances In Earth, 2000, 15(3): 307-312. (in Chinese).
- Zhao D, Han R S, Wang J S, et al. Geochemical characteristics of rare earth elements in the Lehong large Pb-Zn deposit in northeastern Yunnan.Acta Mineralogica Sinica, 2017,37(05):588-595. (in Chinese).
- Wang J C, Peng E S, Sun Z J. Classification of hydrodynamic breccia and its geological significance. Journal of Changchun University of Science and Technology, 2000, 30(1): 18-23. (in Chinese).
- Yuan H. Mineralization-alteration lithofacies zoning mechanism and prospecting prediction of Daliangzi Pb-Zn deposit, Sichuan. Kunming University of Science and Technology, 2021. (in Chinese).
- Wang J. Research on the positioning rules of large-scale Pb-Zn deposits in the southwestern margin of the middle and upper Yangtze Platform. China University of Geosciences, 2018. (in Chinese).
- Li F y. Research on the occurrence state and enrichment mechanism of dispersed elements in MVT lead-zinc deposits - taking the Tianbaoshan and Daliangzi Pb-Zn deposits in Sichuan as an example. Chengdu University of Technology, 2003. (in Chinese).
- Samson I M, Williams-Jones A E, Ault K M, et al. Source of fluids forming distal Zn-Pb-Ag skarns: Evidence from laser ablation–inductively coupled plasma–mass spectrometry analysis of fluid inclusions from El Mochito, Honduras. Geology, 2008, 36(12): 947-950.
- Hofstra A H, Meighan C J, Song X, et al. Mineral thermometry and fluid inclusion studies of the Pea Ridge iron oxide-apatite–rare earth element deposit, Mesoproterozoic St. Francois Mountains terrane, southeast Missouri, USA. Economic Geology, 2016, 111(8): 1985-2016.
- Reed M H, Palandri J. Sulfide mineral precipitation from hydrothermal fluids. Reviews in Mineralogy and Geochemistry, 2006, 61(1): 609-631.
- Zhang Y. Fluid mixed mineralization mechanism of Huize super-large Pb-Zn deposit in Northeast Yunnan mining area.Kunming University of Science and Technology, 2016. (in Chinese).
- Yuan B, Mao Ji W, Yan X G, et al. Source and mineralization mechanism of Daliangzi Pb-Zn deposit in Sichuan: S, C, H, O, Sr isotopes and sphalerite trace elements constraints. Acta Petrologica Sinica, 2014, 30(01): 209-220. (in Chinese).











| Belt No. | ① | ② | ③ | ④ |
|---|---|---|---|---|
| tectonite-mineralized alteration lithofacies belts | Brecciated and stockwork Pb-Zn mineralization-complex breccia facies belt | Stockwork Pb-Zn mineralization-simple breccia and cataclasite facies belt | Veined pyrite- sulfide-dolomitic cataclasite facies belt | Fine-vein calcite-black carbonized dolomite facies belt |
| Tectonite type | Fracture zone: complex breccia | Fracture zone: simple breccia | Fracture zone: dolomitic cataclasite | “Black zone”: carbonized dolomite (clasolite) |
| Mineral assemblage | Sphalerite + galena + chalcopyrite + dolomite | Sphalerite + galena + quartz + dolomite and calcite | Pyrite + sphalerite + galena + quartz + calcite | Quartz + calcite + pyrite + (sphalerite and galena) |
| Ore fabric | Brecciated structure; idiomorphic and hypidiomorphic granular texture, corrugation texture, metasomatic relict texture, common-border texture, poikilitic texture, secondary enlargement texture | Brecciated structure, stockwork structure, veined structure; hypidiomorphic- allotriomorphic granular texture, metasomatic relict texture, common-border texture | Mainly veined structure, stockwork structure; allotriomorphic granular texture, idiomorphic granular texture (calcite) | Idiomorphic- allotriomorphic granular texture (pyrite) |
| Silicification | Weak | Visible quartz stringer with vein width of approx.. 1mm | Lumpy and veined quartz with vein width up to 5cm | Lumpy quartz or metasomatic calcite |
| Carbonatization | Mainly dolomitization, lumpy and veined, secondary enlargement texture of dolomite visible | Mainly fine-vein and stockwork calcite and lumpy dolomite | Mainly stockwork-veined and lumpy calcite | Mainly lumpy and stockwork calcite |
| Mineralization and alteration characteristics | Lead-zinc mineralization, strong dolomitization, pyritization, copper mineralization (chalcopyrite), weak silicification | Lead-zinc mineralization, moderate silicification, pyritization, copper mineralization (malachite), dolomitization, calcilization | Weak lead-zinc mineralization, pyritization, calcilization, moderate silicification | Carbonization, strong pyritization, silicification, strong calcilization |
| Sample Belt No |
lithofacies belt No | tmineralization stage | Size(μm) | Type | Gas-liquid ratio(%) | homogenization temperature(℃) | Homogeneous phase | Freezing Point(℃) | salinity%NaCleqv | Minerals | ρ(g/cm3) |
|---|---|---|---|---|---|---|---|---|---|---|---|
| DLZr-541 | ① | Ⅱ | 8~11 | L-V | 15~20 | 177.5~267.8 | L | -5.5~-8.9 | 8.55~12.51 | Sp | 0.88~0.98 |
| DLZr-534 | Ⅱ | 8~15 | L-V | 10~16 | 197.6~263.1 | L | -7.5~-10.6 | 11.1~14.57 | Sp | 0.91~0.97 | |
| Average | 225 | 12.00 | 0.93 | ||||||||
| DLZr-204 | ② | Ⅱ | 11~15 | L-V | 10~15 | 146.3~225.0 | L | -4.1~-11.2 | 6.59~15.96 | Cc | 0.97~1.00 |
| DLZr-206 | Ⅱ | 7~10 | L-V | 10~25 | 177.0~288.5 | L | -7.8~-13.2 | 11.46~17.08 | Sp | 0.88~1.01 | |
| DLZr-539 | Ⅱ | 13~17 | L-V | 10~25 | 198.5~273.4 | L | -8.6~-14 | 12.39~17.79 | Sp | 0.92~0.97 | |
| Average | 211.6 | 13.6 | 0.96 | ||||||||
| DLZr-536 | ③ | Ⅱ | 7~15 | L-V | 10~20 | 168.1~210.3 | L | -6.6~-10.5 | 9.98~14.46 | Cc | 0.94~1.01 |
| DLZr-537 | Ⅱ | 7~15 | L-V | 13~17 | 197.8~221.4 | L | -4.5~-9.4 | 7.17~13.29 | Sp | 0.92~0.95 | |
| Average | 197.9 | 11.40 | 0.95 | ||||||||
| DLZr-46-1 | ④ | Ⅱ | 7~13 | L-V | 10~20 | 186.0~211.4 | L | -6.1~-8.5 | 9.47~12.28 | Cc | 0.93~0.96 |
| Average | 200.5 | 10.70 | 0.95 |
| Sample No | Rock name | Tectonite-mineralized alteration lithofacies belts | SiO2 | Al2O3 | TFe2O3 | FeO | MgO | CaO | Na2O | K2O | TiO2 | MnO | P2O5 | LOI | CaO+MgO | CaO/MgO | Sampling location |
|---|---|---|---|---|---|---|---|---|---|---|---|---|---|---|---|---|---|
| DLZc-29 | Cataclastic dolomite | ① | 8.09 | 0.19 | 1.23 | 0.77 | 20.59 | 28.69 | 0.086 | 0.027 | 0.015 | 0.044 | 0.079 | 40.27 | 49.28 | 1.00 | the profile of 17# prospecting line in 1,944m level |
| DLZc609 | Gray-black, tawny Cataclastic dolomite | ② | 23.41 | 1.55 | 3.59 | 0.42 | 15.41 | 22.55 | 0.046 | 0.26 | 0.056 | 0.041 | 0.31 | 32.6 | 37.96 | 1.05 | the profile of 16# prospecting line in 1,944m level |
| DLZc617 | Gray-black, and tawny Cataclastic dolomite | ② | 66.93 | 4.64 | 2.27 | 1.03 | 4.26 | 8.49 | 0.1 | 1.44 | 0.24 | 0.028 | 0.5 | 10.95 | 12.75 | 1.42 | the profile of 16# prospecting line in 1,944m level |
| DLZc-40 | Gray-white silicified dolomite | ③ | 29.88 | 0.27 | 1.45 | 0.45 | 15.4 | 21.17 | 0.078 | 0.047 | 0.011 | 0.069 | 0.06 | 30.95 | 36.57 | 0.98 | the profile of 17# prospecting line in 1,944m level |
| DLZc-42 | Gray-white silicified dolomite | ③ | 63.6 | 0.47 | 1.05 | 0.9 | 7.64 | 11.03 | 0.077 | 0.1 | 0.026 | 0.039 | 0.031 | 15.31 | 18.67 | 1.03 | the profile of 17# prospecting line in 1,944m level |
| DLZc-43 | Gray-white dolomite | ③ | 11.02 | 0.18 | 1.69 | 0.32 | 19.25 | 27.19 | 0.079 | 0.034 | 0.011 | 0.042 | 0.1 | 39.73 | 46.44 | 1.01 | the profile of 17# prospecting line in 1,944m level |
| DLZc-17 | Gray-white fine-grained dolomite | ③ | 14.03 | 0.16 | 0.27 | 0.26 | 19.83 | 27.44 | 0.068 | 0.023 | 0.007 | 0.027 | 0.054 | 37.7 | 47.27 | 0.99 | the profile of 17# prospecting line in 1,944m level |
| DLZc-49 | Carbonized silicified dolomite | ④ | 74.67 | 8.13 | 3.06 | 0.77 | 2.31 | 2.99 | 0.1 | 2.7 | 0.46 | 0.038 | 0.28 | 4.61 | 5.3 | 0.92 | the profile of 17# prospecting line in 1,944m level |
| DLZc500-1 | Black carbonized dolomite crushed siltstone | ④ | 56.1 | 11.49 | 2.53 | 0.71 | 4.96 | 10.52 | 0.053 | 2.3 | 0.27 | 0.034 | 0.59 | 11.04 | 15.48 | 1.51 | the profile of 0# prospecting line in 1,944m level |
| Sample Belt No |
Rock name | lithofacies belt No | Cu | Zn | Pb | Zn/Pb | Ga | Ge | Ag | Cd | La | Ce | Pr | Nd | |||
|---|---|---|---|---|---|---|---|---|---|---|---|---|---|---|---|---|---|
| DLZc-29 | Cataclastic dolomite | ① | 1526 | 2664 | 431 | 6.18 | 1.12 | 1.68 | 2.93 | 45.3 | 1.05 | 1.41 | 0.96 | 2.32 | |||
| DLZc-32 | Gray-white silicified dolomite | ① | 309.20 | 207080 | 1592 | 809.51 | 11.03 | 26.80 | 28.62 | 1475.20 | 5.56 | 8.48 | 1.84 | 5.97 | |||
| DLZc-33 | Dark gray-grayish white Cataclastic dolomite | ① | 817 | 289500 | 14279 | 20.27 | 15.8 | 26.6 | 57.8 | 1698 | 2.95 | 4.61 | 1.52 | 3.87 | |||
| DLZc-34 | Fine-vein - brecciated | ① | 276 | 83800 | 1225 | 68.41 | 6.19 | 13.1 | 10.2 | 399 | 4.02 | 6.05 | 1.24 | 3.85 | |||
| DLZc-35 | Gray dolomite | ① | 243 | 133700 | 8675 | 15.41 | 8.68 | 14.6 | 27.4 | 1045 | 1.22 | 1.88 | 0.82 | 2.36 | |||
| DLZc-23 | The dolomite is layered, reticulated, and veined | ② | 113 | 104900 | 8875 | 11.82 | 5.37 | 7.16 | 18.8 | 674 | 0.86 | 1.37 | 0.54 | 0.81 | |||
| DLZc-24 | Muddy Dolomite | ② | 587 | 20625 | 5036 | 4.10 | 2.88 | 2.38 | 6.28 | 100 | 1.54 | 2.28 | 0.42 | 1.15 | |||
| DLZc-26 | Muddy cement dolomitic cataclasite | ② | 587 | 29980 | 2509 | 11.95 | 2.34 | 1.3 | 3.69 | 99.6 | 2.68 | 4.83 | 0.89 | 2.3 | |||
| DLZc-27 | dolomitic cataclasite | ② | 3940 | 77300 | 17677 | 4.37 | 6.48 | 4.15 | 16.2 | 526 | 1.04 | 1.53 | 1.06 | 2.01 | |||
| DLZc-38 | Gray dolomite | ② | 297 | 129600 | 8654 | 14.98 | 12.9 | 8.88 | 18.3 | 768 | 0.83 | 1.61 | 1.1 | 0.81 | |||
| DLZc-40 | Gray-white dolomite | ② | 103 | 1177 | 438 | 2.69 | 0.82 | 0.85 | 1.73 | 14.1 | 0.94 | 1.23 | 0.89 | 1.45 | |||
| DLZc-15 | Gray-white fine-vein dolomite | ③ | 25.1 | 479 | 202 | 2.37 | 0.63 | 0.15 | 1.56 | 6.06 | 1.46 | 2.23 | 0.69 | 1.68 | |||
| DLZc-16 | Gray-white silicified dolomite | ③ | 90.3 | 520 | 464 | 1.12 | 0.49 | 0.3 | 2.65 | 12.5 | 1.24 | 2.06 | 0.51 | 1.26 | |||
| DLZc-17 | Gray-white fine-vein dolomite | ③ | 10.4 | 333 | 82.3 | 4.05 | 0.58 | 0.14 | 0.21 | 5.65 | 0.77 | 1.07 | 0.43 | 0.99 | |||
| DLZc-19 | Gray-white fine-vein dolomite | ③ | 435 | 34225 | 323 | 105.96 | 5.21 | 4.29 | 4.17 | 287 | 0.9 | 1.06 | 0.72 | 0.65 | |||
| DLZc-20 | Muddy Dolomite | ③ | 227 | 57700 | 98800 | 0.58 | 1.19 | 4.89 | 83.9 | 90.3 | 1.36 | 1.37 | 0.3 | 0.84 | |||
| DLZc-42 | Gray-white silicified dolomite | ③ | 26.6 | 859 | 255 | 3.37 | 0.83 | 0.61 | 0.28 | 6.58 | 2.09 | 4.58 | 1.77 | 3.1 | |||
| DLZc-43 | Gray-white dolomite | ③ | 146 | 808 | 924 | 0.87 | 0.48 | 0.35 | 2.39 | 11.9 | 1.17 | 1.82 | 2.26 | 2.18 | |||
| DLZc-45 | Gray-white. Gray dolomite | ③ | 34.17 | 5255.67 | 2388.00 | 3.51 | 2.10 | 0.83 | 6.28 | 26.63 | 5.59 | 10.12 | 2.28 | 7.63 | |||
| DLZc-46 | Black dolomite | ④ | 71.9 | 5974 | 16332 | 0.37 | 5.91 | 1.05 | 9.12 | 33.3 | 15.5 | 22.9 | 3.77 | 9.56 | |||
| DLZc-49 | Black dolomite | ④ | 69.25 | 2301.00 | 1485.50 | 1.58 | 7.94 | 1.27 | 2.45 | 14.60 | 19.80 | 34.75 | 2.88 | 10.52 | |||
| DLZc-50 | Gray-black fine-vein dolomite | ④ | 43.6 | 721 | 359 | 2.01 | 0.78 | 0.31 | 0.86 | 8.48 | 2.26 | 4.25 | 1.05 | 3.42 | |||
| DLZc-51 | Gray-white silicified dolomite | ④ | 24.35 | 645.50 | 197.00 | 3.20 | 0.42 | 0.27 | 0.66 | 6.25 | 2.99 | 4.98 | 1.23 | 3.60 | |||
| DLZc-52 | Gray-white silicified dolomite , quartz | ④ | 41.1 | 514 | 416 | 1.24 | 0.42 | 0.16 | 1.72 | 12 | 2.64 | 4.44 | 0.98 | 2.3 | |||
|
Sample Belt No |
Rock name | lithofacies belt No | Sm | Eu | Gd | Tb | Dy | Ho | Er | Tm | Yb | Lu | Y | ||||
| DLZc-29 | Cataclastic dolomite | ① | 0.44 | 0.15 | 0.47 | 0.065 | 0.33 | 0.063 | 0.16 | 0.023 | 0.13 | 0.02 | 1.12 | ||||
| DLZc-32 | Gray-white silicified dolomite | ① | 1.26 | 0.51 | 1.38 | 0.20 | 0.99 | 0.20 | 0.57 | 0.07 | 0.40 | 0.08 | 6.35 | ||||
| DLZc-33 | Dark gray-grayish white Cataclastic dolomite | ① | 0.89 | 0.76 | 0.98 | 0.14 | 0.74 | 0.16 | 0.44 | 0.098 | 0.74 | 0.17 | 3.92 | ||||
| DLZc-34 | Fine-vein - brecciated | ① | 0.79 | 0.64 | 0.92 | 0.13 | 0.71 | 0.15 | 0.41 | 0.067 | 0.43 | 0.09 | 5.94 | ||||
| DLZc-35 | Gray dolomite | ① | 0.48 | 0.47 | 0.63 | 0.089 | 0.34 | 0.087 | 0.24 | 0.042 | 0.34 | 0.10 | 1.43 | ||||
| DLZc-23 | The dolomite is layered, reticulated, and veined | ② | 0.12 | 0.061 | 0.18 | 0.022 | 0.13 | 0.027 | 0.074 | 0.012 | 0.075 | 0.01 | 0.87 | ||||
| DLZc-24 | Muddy Dolomite | ② | 0.25 | 0.22 | 0.31 | 0.071 | 0.42 | 0.078 | 0.21 | 0.034 | 0.22 | 0.04 | 1.36 | ||||
| DLZc-26 | Muddy cement dolomitic cataclasite | ② | 0.44 | 0.29 | 0.53 | 0.084 | 0.46 | 0.087 | 0.23 | 0.038 | 0.25 | 0.06 | 1.19 | ||||
| DLZc-27 | dolomitic cataclasite | ② | 0.42 | 0.36 | 0.64 | 0.1 | 0.56 | 0.11 | 0.27 | 0.045 | 0.31 | 0.08 | 1.12 | ||||
| DLZc-38 | Gray dolomite | ② | 0.13 | 0.29 | 0.29 | 0.034 | 0.15 | 0.043 | 0.093 | 0.02 | 0.1 | 0.02 | 1.10 | ||||
| DLZc-40 | Gray-white dolomite | ② | 0.28 | 0.22 | 0.39 | 0.058 | 0.34 | 0.078 | 0.18 | 0.031 | 0.2 | 0.04 | 1.05 | ||||
| DLZc-15 | Gray-white fine-vein dolomite | ③ | 0.34 | 0.18 | 0.43 | 0.087 | 0.5 | 0.098 | 0.33 | 0.036 | 0.22 | 0.04 | 1.70 | ||||
| DLZc-16 | Gray-white silicified dolomite | ③ | 0.28 | 0.25 | 0.4 | 0.078 | 0.44 | 0.081 | 0.2 | 0.031 | 0.19 | 0.03 | 1.26 | ||||
| DLZc-17 | Gray-white fine-vein dolomite | ③ | 0.23 | 0.21 | 0.3 | 0.06 | 0.34 | 0.064 | 0.16 | 0.024 | 0.16 | 0.03 | 0.74 | ||||
| DLZc-19 | Gray-white silicified dolomite | ③ | 0.071 | 0.028 | 0.12 | 0.015 | 0.069 | 0.018 | 0.05 | 0.009 | 0.04 | 0.01 | 0.66 | ||||
| DLZc-20 | Muddy Dolomite | ③ | 0.18 | 0.19 | 0.2 | 0.029 | 0.17 | 0.034 | 0.1 | 0.017 | 0.1 | 0.02 | 1.16 | ||||
| DLZc-42 | Gray-white silicified dolomite | ③ | 0.61 | 0.22 | 0.75 | 0.11 | 0.65 | 0.15 | 0.43 | 0.099 | 0.69 | 0.13 | 0.91 | ||||
| DLZc-43 | Gray-white dolomite | ③ | 0.38 | 0.21 | 0.63 | 0.075 | 0.41 | 0.084 | 0.22 | 0.039 | 0.21 | 0.04 | 1.41 | ||||
| DLZc-45 | Gray-white dolomite | ③ | 1.65 | 0.57 | 1.61 | 0.25 | 1.26 | 0.25 | 0.63 | 0.11 | 0.66 | 0.12 | 6.10 | ||||
| DLZc-46 | Black dolomite | ④ | 1.73 | 0.63 | 1.91 | 0.28 | 1.45 | 0.32 | 0.88 | 0.16 | 0.93 | 0.18 | 9.52 | ||||
| DLZc-49 | Black dolomite | ④ | 2.79 | 0.91 | 2.74 | 0.40 | 2.05 | 0.39 | 1.05 | 0.17 | 0.99 | 0.17 | 12.95 | ||||
| DLZc-50 | Gray-black fine-vein dolomite | ④ | 0.76 | 0.24 | 0.77 | 0.12 | 0.59 | 0.11 | 0.29 | 0.041 | 0.23 | 0.04 | 4.05 | ||||
| DLZc-51 | Gray-white silicified dolomite | ④ | 0.76 | 0.34 | 0.79 | 0.13 | 0.70 | 0.12 | 0.33 | 0.05 | 0.26 | 0.06 | 4.55 | ||||
| DLZc-52 | Gray-white silicified dolomite,quartz | ④ | 0.5 | 0.17 | 0.58 | 0.08 | 0.45 | 0.092 | 0.25 | 0.038 | 0.2 | 0.03 | 3.36 | ||||
|
Sample Belt No |
Rock name | lithofacies belt No | Cu | Zn | Pb | Zn/Pb | Ga | Ge | Ag | Cd | La | Ce | Pr | Nd | |||
| DLZc-29 | Cataclastic dolomite | ① | 1526 | 2664 | 431 | 6.18 | 1.12 | 1.68 | 2.93 | 45.3 | 1.05 | 1.41 | 0.96 | 2.32 | |||
| DLZc-32 | Gray-white silicified dolomite | ① | 309.20 | 207080 | 1592 | 809.51 | 11.03 | 26.80 | 28.62 | 1475.20 | 5.56 | 8.48 | 1.84 | 5.97 | |||
| DLZc-33 | Dark gray-grayish white Cataclastic dolomite | ① | 817 | 289500 | 14279 | 20.27 | 15.8 | 26.6 | 57.8 | 1698 | 2.95 | 4.61 | 1.52 | 3.87 | |||
| DLZc-34 | Fine-vein - brecciated | ① | 276 | 83800 | 1225 | 68.41 | 6.19 | 13.1 | 10.2 | 399 | 4.02 | 6.05 | 1.24 | 3.85 | |||
| DLZc-35 | Gray dolomite | ① | 243 | 133700 | 8675 | 15.41 | 8.68 | 14.6 | 27.4 | 1045 | 1.22 | 1.88 | 0.82 | 2.36 | |||
| DLZc-23 | The dolomite is layered, reticulated, and veined | ② | 113 | 104900 | 8875 | 11.82 | 5.37 | 7.16 | 18.8 | 674 | 0.86 | 1.37 | 0.54 | 0.81 | |||
| DLZc-24 | Muddy Dolomite | ② | 587 | 20625 | 5036 | 4.10 | 2.88 | 2.38 | 6.28 | 100 | 1.54 | 2.28 | 0.42 | 1.15 | |||
| DLZc-26 | Muddy cement dolomitic cataclasite | ② | 587 | 29980 | 2509 | 11.95 | 2.34 | 1.3 | 3.69 | 99.6 | 2.68 | 4.83 | 0.89 | 2.3 | |||
| DLZc-27 | dolomitic cataclasite | ② | 3940 | 77300 | 17677 | 4.37 | 6.48 | 4.15 | 16.2 | 526 | 1.04 | 1.53 | 1.06 | 2.01 | |||
| DLZc-38 | Gray dolomite | ② | 297 | 129600 | 8654 | 14.98 | 12.9 | 8.88 | 18.3 | 768 | 0.83 | 1.61 | 1.1 | 0.81 | |||
| DLZc-40 | Gray-white dolomite | ② | 103 | 1177 | 438 | 2.69 | 0.82 | 0.85 | 1.73 | 14.1 | 0.94 | 1.23 | 0.89 | 1.45 | |||
| DLZc-15 | Gray-white fine-vein dolomite | ③ | 25.1 | 479 | 202 | 2.37 | 0.63 | 0.15 | 1.56 | 6.06 | 1.46 | 2.23 | 0.69 | 1.68 | |||
| DLZc-16 | Gray-white silicified dolomite | ③ | 90.3 | 520 | 464 | 1.12 | 0.49 | 0.3 | 2.65 | 12.5 | 1.24 | 2.06 | 0.51 | 1.26 | |||
| DLZc-17 | Gray-white fine-vein dolomite | ③ | 10.4 | 333 | 82.3 | 4.05 | 0.58 | 0.14 | 0.21 | 5.65 | 0.77 | 1.07 | 0.43 | 0.99 | |||
| DLZc-19 | Gray-white silicified dolomite | ③ | 435 | 34225 | 323 | 105.96 | 5.21 | 4.29 | 4.17 | 287 | 0.9 | 1.06 | 0.72 | 0.65 | |||
| DLZc-20 | Muddy Dolomite | ③ | 227 | 57700 | 98800 | 0.58 | 1.19 | 4.89 | 83.9 | 90.3 | 1.36 | 1.37 | 0.3 | 0.84 | |||
| DLZc-42 | Gray-white silicified dolomite | ③ | 26.6 | 859 | 255 | 3.37 | 0.83 | 0.61 | 0.28 | 6.58 | 2.09 | 4.58 | 1.77 | 3.1 | |||
| DLZc-43 | Gray-white dolomite | ③ | 146 | 808 | 924 | 0.87 | 0.48 | 0.35 | 2.39 | 11.9 | 1.17 | 1.82 | 2.26 | 2.18 | |||
| DLZc-45 | Gray-white dolomite | ③ | 34.17 | 5255.67 | 2388.00 | 3.51 | 2.10 | 0.83 | 6.28 | 26.63 | 5.59 | 10.12 | 2.28 | 7.63 | |||
| DLZc-46 | Black dolomite | ④ | 71.9 | 5974 | 16332 | 0.37 | 5.91 | 1.05 | 9.12 | 33.3 | 15.5 | 22.9 | 3.77 | 9.56 | |||
| DLZc-49 | Black dolomite | ④ | 69.25 | 2301.00 | 1485.50 | 1.58 | 7.94 | 1.27 | 2.45 | 14.60 | 19.80 | 34.75 | 2.88 | 10.52 | |||
| DLZc-50 | Gray-black fine-vein dolomite | ④ | 43.6 | 721 | 359 | 2.01 | 0.78 | 0.31 | 0.86 | 8.48 | 2.26 | 4.25 | 1.05 | 3.42 | |||
| DLZc-51 | Gray-white silicified dolomite | ④ | 24.35 | 645.50 | 197.00 | 3.20 | 0.42 | 0.27 | 0.66 | 6.25 | 2.99 | 4.98 | 1.23 | 3.60 | |||
| DLZc-52 | Gray-white silicified dolomite,quartz | ④ | 41.1 | 514 | 416 | 1.24 | 0.42 | 0.16 | 1.72 | 12 | 2.64 | 4.44 | 0.98 | 2.3 | |||
|
Sample Belt No |
Rock name | lithofacies belt No | Sm | Eu | Gd | Tb | Dy | Ho | Er | Tm | Yb | Lu | Y | ||||
| DLZc-29 | Cataclastic dolomite | ① | 0.44 | 0.15 | 0.47 | 0.065 | 0.33 | 0.063 | 0.16 | 0.023 | 0.13 | 0.02 | 1.12 | ||||
| DLZc-32 | Gray-white silicified dolomite | ① | 1.26 | 0.51 | 1.38 | 0.20 | 0.99 | 0.20 | 0.57 | 0.07 | 0.40 | 0.08 | 6.35 | ||||
| DLZc-33 | Dark gray-grayish white Cataclastic dolomite | ① | 0.89 | 0.76 | 0.98 | 0.14 | 0.74 | 0.16 | 0.44 | 0.098 | 0.74 | 0.17 | 3.92 | ||||
| DLZc-34 | Fine-vein - brecciated | ① | 0.79 | 0.64 | 0.92 | 0.13 | 0.71 | 0.15 | 0.41 | 0.067 | 0.43 | 0.09 | 5.94 | ||||
| DLZc-35 | Gray dolomite | ① | 0.48 | 0.47 | 0.63 | 0.089 | 0.34 | 0.087 | 0.24 | 0.042 | 0.34 | 0.10 | 1.43 | ||||
| DLZc-23 | The dolomite is layered, reticulated, and veined | ② | 0.12 | 0.061 | 0.18 | 0.022 | 0.13 | 0.027 | 0.074 | 0.012 | 0.075 | 0.01 | 0.87 | ||||
| DLZc-24 | Muddy Dolomite | ② | 0.25 | 0.22 | 0.31 | 0.071 | 0.42 | 0.078 | 0.21 | 0.034 | 0.22 | 0.04 | 1.36 | ||||
| DLZc-26 | Muddy cement dolomitic cataclasite | ② | 0.44 | 0.29 | 0.53 | 0.084 | 0.46 | 0.087 | 0.23 | 0.038 | 0.25 | 0.06 | 1.19 | ||||
| DLZc-27 | dolomitic cataclasite | ② | 0.42 | 0.36 | 0.64 | 0.1 | 0.56 | 0.11 | 0.27 | 0.045 | 0.31 | 0.08 | 1.12 | ||||
| DLZc-38 | Gray dolomite | ② | 0.13 | 0.29 | 0.29 | 0.034 | 0.15 | 0.043 | 0.093 | 0.02 | 0.1 | 0.02 | 1.10 | ||||
| DLZc-40 | Gray-white dolomite | ② | 0.28 | 0.22 | 0.39 | 0.058 | 0.34 | 0.078 | 0.18 | 0.031 | 0.2 | 0.04 | 1.05 | ||||
| DLZc-15 | Gray-white fine-vein dolomite | ③ | 0.34 | 0.18 | 0.43 | 0.087 | 0.5 | 0.098 | 0.33 | 0.036 | 0.22 | 0.04 | 1.70 | ||||
| DLZc-16 | Gray-white silicified dolomite | ③ | 0.28 | 0.25 | 0.4 | 0.078 | 0.44 | 0.081 | 0.2 | 0.031 | 0.19 | 0.03 | 1.26 | ||||
| DLZc-17 | Gray-white fine-vein dolomite | ③ | 0.23 | 0.21 | 0.3 | 0.06 | 0.34 | 0.064 | 0.16 | 0.024 | 0.16 | 0.03 | 0.74 | ||||
| DLZc-19 | Gray-white silicified dolomite | ③ | 0.071 | 0.028 | 0.12 | 0.015 | 0.069 | 0.018 | 0.05 | 0.009 | 0.04 | 0.01 | 0.66 | ||||
| DLZc-20 | Muddy Dolomite | ③ | 0.18 | 0.19 | 0.2 | 0.029 | 0.17 | 0.034 | 0.1 | 0.017 | 0.1 | 0.02 | 1.16 | ||||
| DLZc-42 | Gray-white silicified dolomite | ③ | 0.61 | 0.22 | 0.75 | 0.11 | 0.65 | 0.15 | 0.43 | 0.099 | 0.69 | 0.13 | 0.91 | ||||
| DLZc-43 | Gray-white dolomite | ③ | 0.38 | 0.21 | 0.63 | 0.075 | 0.41 | 0.084 | 0.22 | 0.039 | 0.21 | 0.04 | 1.41 | ||||
| DLZc-45 | Gray-white dolomite | ③ | 1.65 | 0.57 | 1.61 | 0.25 | 1.26 | 0.25 | 0.63 | 0.11 | 0.66 | 0.12 | 6.10 | ||||
| DLZc-46 | Black dolomite | ④ | 1.73 | 0.63 | 1.91 | 0.28 | 1.45 | 0.32 | 0.88 | 0.16 | 0.93 | 0.18 | 9.52 | ||||
| DLZc-49 | Black dolomite | ④ | 2.79 | 0.91 | 2.74 | 0.40 | 2.05 | 0.39 | 1.05 | 0.17 | 0.99 | 0.17 | 12.95 | ||||
| DLZc-50 | Gray-black fine-vein dolomite | ④ | 0.76 | 0.24 | 0.77 | 0.12 | 0.59 | 0.11 | 0.29 | 0.041 | 0.23 | 0.04 | 4.05 | ||||
| DLZc-51 | Gray-white silicified dolomite | ④ | 0.76 | 0.34 | 0.79 | 0.13 | 0.70 | 0.12 | 0.33 | 0.05 | 0.26 | 0.06 | 4.55 | ||||
| DLZc-52 | Gray-white silicified dolomite,quartz | ④ | 0.5 | 0.17 | 0.58 | 0.08 | 0.45 | 0.092 | 0.25 | 0.038 | 0.2 | 0.03 | 3.36 | ||||
|
Sample Belt No |
Rock name | lithofacies belt No | ∑REE | LREE/HREE | La/SmN | Gd/YbN | δEu | δCe | |||||||||
| DLZc-29 | Cataclastic dolomite | ① | 7.59 | 2.66 | 1.50 | 2.92 | 1.00 | 0.31 | |||||||||
| DLZc-32 | Gray-white silicified dolomite | ① | 27.52 | 2.30 | 2.79 | 2.78 | 1.19 | 0.63 | |||||||||
| DLZc-33 | Dark gray-grayish white Cataclastic dolomite | ① | 18.07 | 1.98 | 2.08 | 1.07 | 2.48 | 0.52 | |||||||||
| DLZc-34 | Fine-vein - brecciated | ① | 19.49 | 1.88 | 3.20 | 1.73 | 2.29 | 0.65 | |||||||||
| DLZc-35 | Gray dolomite | ① | 9.10 | 2.19 | 1.60 | 1.50 | 2.61 | 0.44 | |||||||||
| DLZc-23 | The dolomite is layered, reticulated, and veined | ② | 4.29 | 2.68 | 4.51 | 1.94 | 1.27 | 0.47 | |||||||||
| DLZc-24 | Muddy Dolomite | ② | 7.24 | 2.14 | 3.87 | 1.14 | 2.41 | 0.67 | |||||||||
| DLZc-26 | Muddy cement dolomitic cataclasite | ② | 13.17 | 3.90 | 3.83 | 1.71 | 1.83 | 0.75 | |||||||||
| DLZc-27 | dolomitic cataclasite | ② | 8.53 | 1.99 | 1.56 | 1.67 | 2.12 | 0.31 | |||||||||
| DLZc-38 | Gray dolomite | ② | 5.52 | 2.58 | 4.02 | 2.34 | 4.42 | 0.34 | |||||||||
| DLZc-40 | Gray-white dolomite | ② | 6.33 | 2.11 | 2.11 | 1.57 | 2.04 | 0.29 | |||||||||
| DLZc-15 | Gray-white fine-vein dolomite | ③ | 8.32 | 1.92 | 2.70 | 1.58 | 1.44 | 0.53 | |||||||||
| DLZc-16 | Gray-white silicified dolomite | ③ | 7.05 | 2.06 | 2.79 | 1.70 | 2.28 | 0.62 | |||||||||
| DLZc-17 | Gray-white fine-vein dolomite | ③ | 4.83 | 1.97 | 2.11 | 1.51 | 2.44 | 0.44 | |||||||||
| DLZc-19 | Gray-white silicified dolomite | ③ | 3.76 | 3.45 | 7.97 | 2.42 | 0.92 | 0.30 | |||||||||
| DLZc-20 | Muddy Dolomite | ③ | 4.91 | 2.32 | 4.75 | 1.61 | 3.05 | 0.50 | |||||||||
| DLZc-42 | Gray-white silicified dolomite | ③ | 15.38 | 3.16 | 2.16 | 0.88 | 0.99 | 0.53 | |||||||||
| DLZc-43 | Gray-white dolomite | ③ | 9.73 | 2.57 | 1.94 | 2.42 | 1.30 | 0.20 | |||||||||
| DLZc-45 | Gray-white dolomite | ③ | 32.72 | 2.54 | 2.13 | 1.96 | 1.06 | 0.68 | |||||||||
| DLZc-46 | Black dolomite | ④ | 60.20 | 3.46 | 5.64 | 1.66 | 1.06 | 0.70 | |||||||||
| DLZc-49 | Black dolomite | ④ | 79.56 | 3.43 | 4.47 | 2.24 | 0.99 | 0.98 | |||||||||
| DLZc-50 | Gray-black fine-vein dolomite | ④ | 14.17 | 1.92 | 1.87 | 2.70 | 0.95 | 0.66 | |||||||||
| DLZc-51 | Gray-white silicified dolomite | ④ | 16.29 | 1.99 | 2.49 | 2.48 | 1.32 | 0.63 | |||||||||
| DLZc-52 | Gray-white silicified dolomite,quartz | ④ | 12.75 | 2.17 | 3.32 | 2.34 | 0.96 | 0.66 | |||||||||
Disclaimer/Publisher’s Note: The statements, opinions and data contained in all publications are solely those of the individual author(s) and contributor(s) and not of MDPI and/or the editor(s). MDPI and/or the editor(s) disclaim responsibility for any injury to people or property resulting from any ideas, methods, instructions or products referred to in the content. |
© 2024 by the authors. Licensee MDPI, Basel, Switzerland. This article is an open access article distributed under the terms and conditions of the Creative Commons Attribution (CC BY) license (http://creativecommons.org/licenses/by/4.0/).