Submitted:
18 March 2024
Posted:
19 March 2024
You are already at the latest version
Abstract
Keywords:
1. Introduction
2. Materials and Methods
2.1. Study Design
2.2. Sample Collection
2.3. Viral Concentration
2.3.1. Skimmed Milk Flocculation
2.3.2. Bag-Mediated Filtration System (BMFS)
2.3.2.1. Secondary Concentration Procedure
2.3.3. Polyethylene Glycol-Based (PEG) Concentration
2.4. Nucleic Acid Extraction
2.5. Genomic Screening of Adenovirus and Rotavirus
2.5.1. Detection of Adenovirus and Rotavirus on PCR
2.5.2. Conventional PCR and Sequencing of Adenovirus
2.6. Statistical Analysis
3. Results
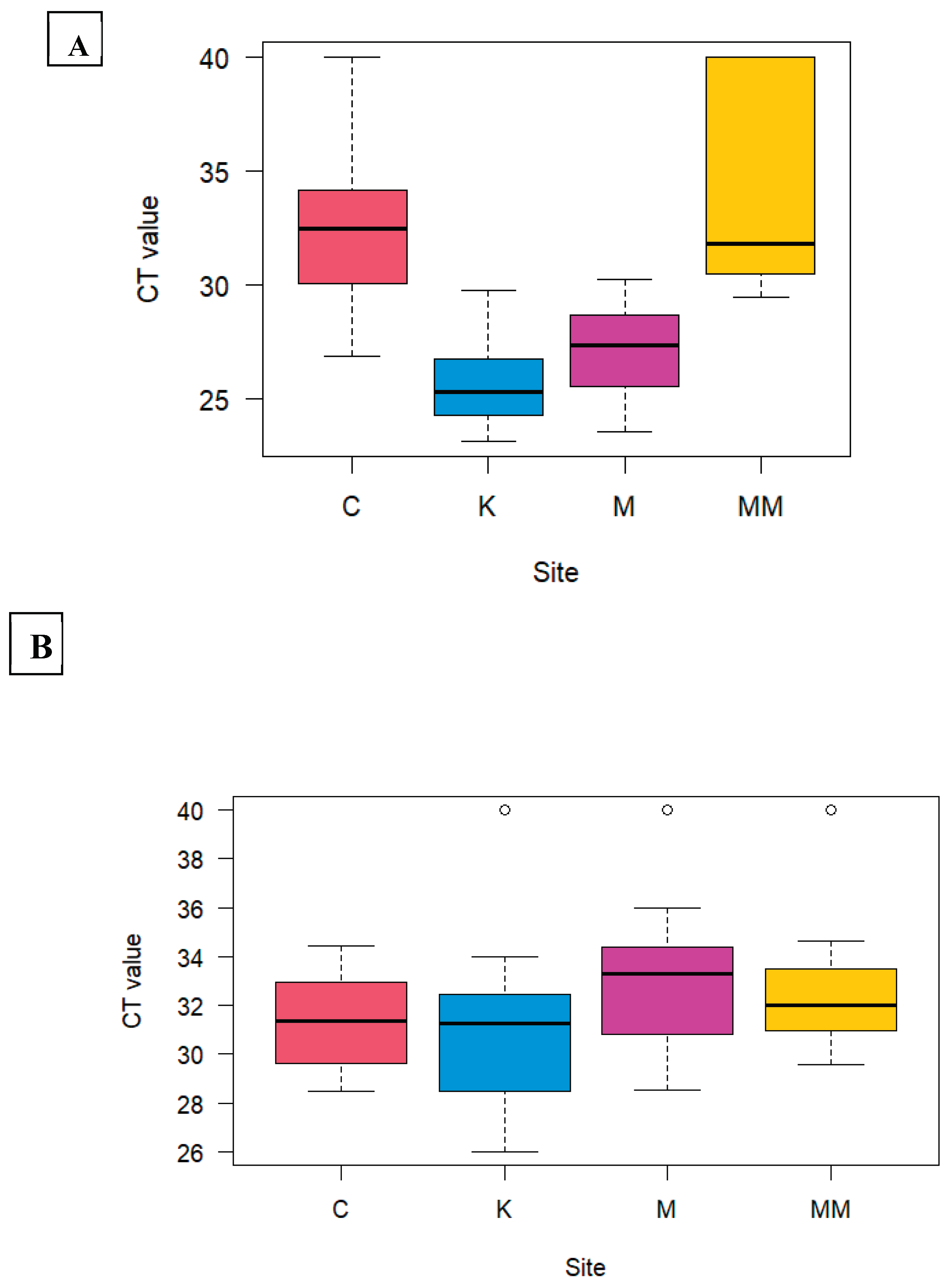
3.1. Detection of Adenovirus and Rotavirus
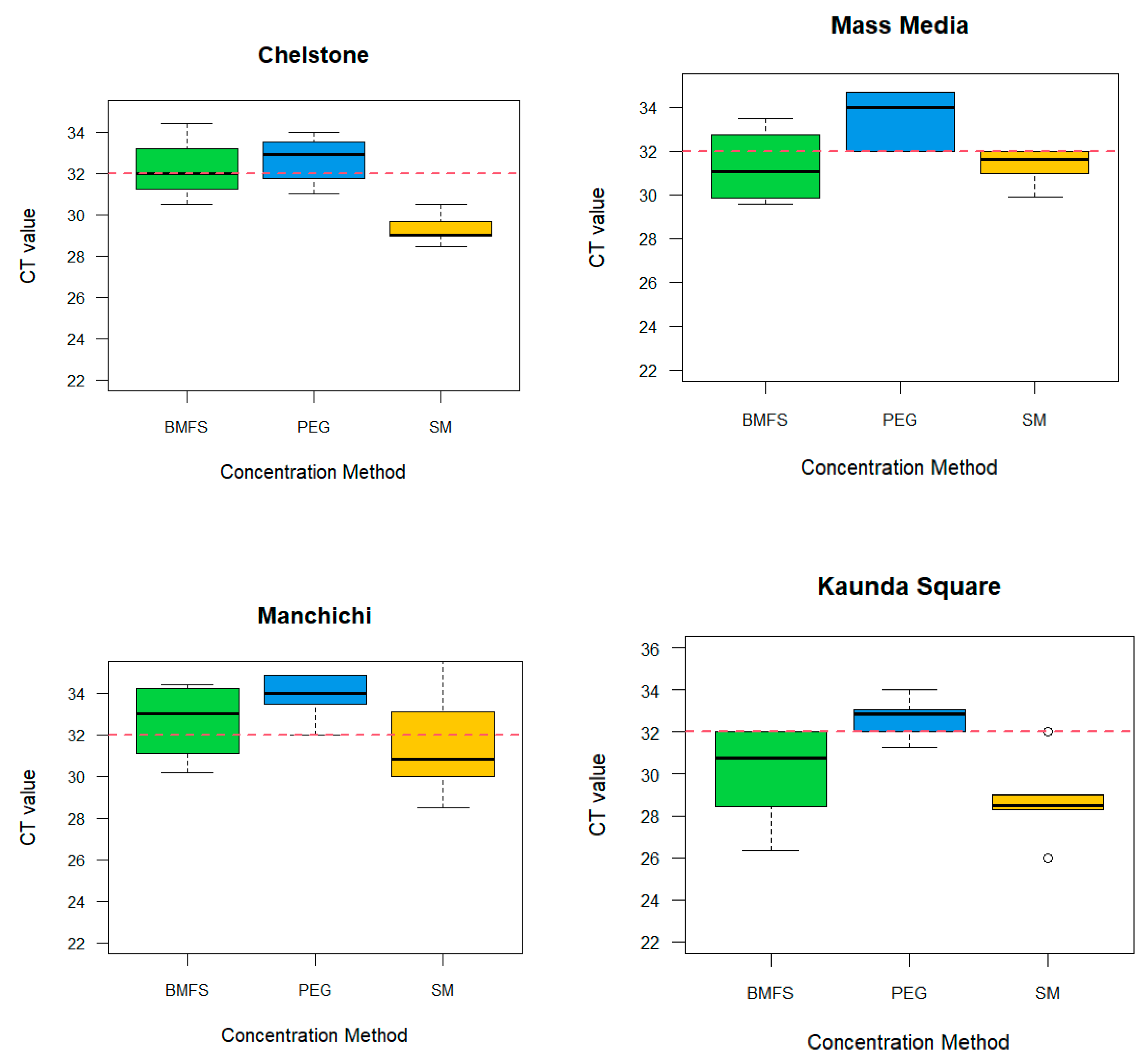
3.2. Comparison of Viral Concentration Methods



4. Discussion
5. Conclusions
6. Patents
Supplementary Materials
Author Contributions
Funding
Institutional Review Board Statement
Informed Consent Statement
Data Availability Statement
Acknowledgments
Conflicts of Interest
References
- Fong TT, Phanikumar MS, Xagoraraki I, Rose JB. Quantitative detection of human adenoviruses in wastewater and combined sewer overflows influencing a Michigan river. Appl Environ Microbiol 2010;76. [CrossRef]
- Ali W, Zhang H, Wang Z, Chang C, Javed A, Ali K, et al. Occurrence of various viruses and recent evidence of SARS-CoV-2 in wastewater systems. J Hazard Mater 2021;414. [CrossRef]
- Allayeh AK, Al-Daim SA, Ahmed N, El-Gayar M, Mostafa A. Isolation and Genotyping of Adenoviruses from Wastewater and Diarrheal Samples in Egypt from 2016 to 2020. Viruses 2022;14. [CrossRef]
- Osuolale O, Okoh A. Incidence of human adenoviruses and Hepatitis A virus in the final effluent of selected wastewater treatment plants in Eastern Cape Province, South Africa. Virol J 2015;12. [CrossRef]
- El-Senousy WM, Barakat AB, Ghanem HE, Kamel MA. Molecular epidemiology of human adenoviruses and rotaviruses as candidate viral indicators in the Egyptian sewage and water samples. World Appl Sci J 2013;27. [CrossRef]
- Soltane R, Allayeh AK. Occurrence of enteroviruses, noroviruses, rotaviruses, and adenoviruses in a wastewater treatment plant. Journal of Umm Al-Qura University for Applied Sciences 2023;9. [CrossRef]
- Adefisoye MA, Nwodo UU, Green E, Okoh AI. Quantitative PCR Detection and Characterisation of Human Adenovirus, Rotavirus and Hepatitis A Virus in Discharged Effluents of Two Wastewater Treatment Facilities in the Eastern Cape, South Africa. Food Environ Virol 2016;8. [CrossRef]
- Steele AD, Victor JC, Carey ME, Tate JE, Atherly DE, Pecenka C, et al. Experiences with rotavirus vaccines: can we improve rotavirus vaccine impact in developing countries? Hum Vaccin Immunother 2019;15. [CrossRef]
- Duncan Steele A, Groome MJ. Measuring rotavirus vaccine impact in Sub-Saharan Africa. Clinical Infectious Diseases 2020;70. [CrossRef]
- Atabakhsh P, Kargar M, Doosti A. Detection and evaluation of rotavirus surveillance methods as viral indicator in the aquatic environments. Brazilian Journal of Microbiology 2021;52. [CrossRef]
- Sinclair RG, Choi CY, Riley MR, Gerba CP. Chapter 9 Pathogen Surveillance Through Monitoring of Sewer Systems. Adv Appl Microbiol, vol. 65, 2008. [CrossRef]
- Xagoraraki I, O’Brien E. Wastewater-Based Epidemiology for Early Detection of Viral Outbreaks, 2020. [CrossRef]
- Qi R, Huang Y ting, Liu J wei, Sun Y, Sun X feng, Han HJ, et al. Global Prevalence of Asymptomatic Norovirus Infection: A Meta-analysis. EClinicalMedicine 2018;2–3. [CrossRef]
- Kitajima M, Ahmed W, Bibby K, Carducci A, Gerba CP, Hamilton KA, et al. SARS-CoV-2 in wastewater: State of the knowledge and research needs. Science of the Total Environment 2020;739. [CrossRef]
- Savolainen-Kopra C, Paananen A, Blomqvist S, Klemola P, Simonen ML, Lappalainen M, et al. A large Finnish echovirus 30 outbreak was preceded by silent circulation of the same genotype. Virus Genes 2011;42. [CrossRef]
- Hellmér M, Paxéus N, Magnius L, Enache L, Arnholm B, Johansson A, et al. Detection of pathogenic viruses in sewage provided early warnings of hepatitis A virus and norovirus outbreaks. Appl Environ Microbiol 2014;80. [CrossRef]
- Prevost B, Lucas FS, Goncalves A, Richard F, Moulin L, Wurtzer S. Large scale survey of enteric viruses in river and waste water underlines the health status of the local population. Environ Int 2015;79. [CrossRef]
- Shachakanza J, Zulu JM, Maimbolwa M. Incidence of Rotavirus Infection among Under-Five Children Attending Health Centres in Selected Communities of Ndola, Copperbelt Province, Zambia. Health N Hav 2019;11. [CrossRef]
- Chisenga CC, Bosomprah S, Makabilo Laban N, Mwila- Kazimbaya K, Mwaba J, Simuyandi M, et al. vAetiology of Diarrhoea in Children Under Five in Zambia Detected Using Luminex xTAG Gastrointestinal Pathogen Panel. Pediatric Infectious Diseases: Open Access 2018;03. [CrossRef]
- Prata C, Ribeiro A, Cunha Â, Gomes NCM, Almeida A. Ultracentrifugation as a direct method to concentrate viruses in environmental waters: Virus-like particle enumeration as a new approach to determine the efficiency of recovery. Journal of Environmental Monitoring 2012;14. [CrossRef]
- Fagnant CS, Sánchez-Gonzalez LM, Zhou NA, Falman JC, Eisenstein M, Guelig D, et al. Improvement of the Bag-Mediated Filtration System for Sampling Wastewater and Wastewater-Impacted Waters. Food Environ Virol 2018;10. [CrossRef]
- Philo SE, Keim EK, Swanstrom R, Ong AQW, Burnor EA, Kossik AL, et al. A comparison of SARS-CoV-2 wastewater concentration methods for environmental surveillance. Science of the Total Environment 2021;760. [CrossRef]
- Jothikumar N, Cromeans TL, Hill VR, Lu X, Sobsey MD, Erdman DD. Quantitative real-time PCR assays for detection of human adenoviruses and identification of serotypes 40 and 41. Appl Environ Microbiol 2005;71. [CrossRef]
- Fumian TM, Leite JPG, Castello AA, Gaggero A, Caillou MSL de, Miagostovich MP. Detection of rotavirus A in sewage samples using multiplex qPCR and an evaluation of the ultracentrifugation and adsorption-elution methods for virus concentration. J Virol Methods 2010;170. [CrossRef]
- Elmahdy EM, Ahmed NI, Shaheen MNF, Mohamed ECB, Loutfy SA. Molecular detection of human adenovirus in urban wastewater in Egypt and among children suffering from acute gastroenteritis. J Water Health 2019;17. [CrossRef]
- Haramoto E, Malla B, Thakali O, Kitajima M. First environmental surveillance for the presence of SARS-CoV-2 RNA in wastewater and river water in Japan. Science of the Total Environment 2020;737. [CrossRef]
- Bonanno Ferraro G, Mancini P, Veneri C, Iaconelli M, Suffredini E, Brandtner D, et al. Evidence of Saffold virus circulation in Italy provided through environmental surveillance. Lett Appl Microbiol 2020;70. [CrossRef]
- Asghar H, Diop OM, Weldegebriel G, Malik F, Shetty S, Bassioni L El, et al. Environmental surveillance for polioviruses in the global polio eradication initiative. Journal of Infectious Diseases 2014;210. [CrossRef]
| Site | Sewer catchment Area |
|---|---|
| Chelstone pumping station | Chelstone Zambia airways, Waterfalls mall |
| Kaunda square stabilisation ponds | PHI, Nyumba Yanga, Ibex hills, Chamba valley, Chainama, Kaunda square Stage 1, Kaunda square stage 2, Mtendere east, Salama park, Mtendere, part of Kabulonga, part of Woodlands, Helen Kaunda, part of Kalingalinga, East park mall, part of Handsworth |
| Mass media pumping station | University of Zambia, part of Showgrounds, part of Longacres, Mass media, Arcades mall up to National Assembly |
| Manchinchi sewage treatment plant and Garden stabilisation ponds | Part of Woodlands, Chilenje, Libala, Villa Elizabetha, Kabwata, Northmead, Parts of Emmasdale, part of Rhodes park, Mass media, part of Central business district, Thorn park, Part of a light industrial area bordered by Great North road, Sheki road, Lumumba road, and Kalambo road. |
| No. | Name | Sequence | Tm(°C) | Reference |
|---|---|---|---|---|
| 1 | JTVXF_18895Fw | 5’-GGACGCCTCGGAGTACCTGAG-3’ | [23] | |
| 2 | JTVXR_18990Rv | 5’-ACIGTGGGGGTTTCTGAACTTGTT-3’ | 60 | |
| 3 | Probe JTVXP_18923Fw | 5’-CTGGTGCAGTTCGCCCGTGCCA-3’ | ||
| 4 | Hex1DegFw(1) | 5’-GCCSCARTGGKCWTACATGCACATC-3’ | 54 | [20] |
| 5 | Hex2DegRv(1) | 5’-CAGCACSCCICGRATGTCAAA-3’ | ||
| 6 | Adeno Cap 17467Fw(2) | 5’-CTGTAGGTTCCGTTCCCGTT-3’ | 54 | |
| 7 | Adeno Hex 18185Rv (2) | 5’-CGGTGCCTGAGCAAAGGTAT-3’ | ||
| 8 | RotaA-NSP3Fw | 5’-ACCATCTWCACRTRACCCTCTATGAG-3’ | [24] | |
| 9 | RotaA-NSP3Rv | 5’-GGTCACATAACGCCCCTATAGC-3’ | 60 | |
| 10 | Probe RotaA-NSP3Pr | 5’-AGTTAAAAGCTAACACTGTCAAA-3’ |
| Site | HAdV | cPCR HAdV | RVA |
|---|---|---|---|
| Chelstone | 3/5 | 3/5 | 3/5 |
| Mass media | 5/5 | 4/5 | 4/5 |
| Kaunda square | 5/5 | 3/5 | 4/5 |
| Manchinchi | 5/5 | 5/5 | 3/5 |
| Total | 18/20 (90%) | 18/20 (90%) | 14/20 (70%) |
| Sites | Difference | Lower | Upper | P-value | |
|---|---|---|---|---|---|
| K-C | -7.2674762 | -10.559266 | -3.975686 | 0.0000018 | |
| M-C | -5.945 | -9.293064 | -2.596936 | 0.0001053 | |
| MM-C | 0.6635714 | -2.684492 | 4.011635 | 0.952498 | |
| M-K | 1.3224762 | -1.969314 | 4.614266 | 0.7117219 | |
| MM-K | 7.9310476 | 4.639258 | 11.222837 | 0.0000003 | |
| MM-M | 6.6085714 | 3.260508 | 9.956635 | 0.0000168 |
| Sites | Difference | Lower | Upper | P-value |
|---|---|---|---|---|
| K-C | -0.3621429 | -3.1344001 | 2.410114 | 0.9855481 |
| M-C | 1.7621429 | -1.0575068 | 4.581793 | 0.3560394 |
| MM-C | 1.1164286 | -1.7032211 | 3.936078 | 0.7208473 |
| M-K | 2.1242857 | -0.6479715 | 4.896543 | 0.1892019 |
| MM-K | 1.4785714 | -1.2936858 | 4.250829 | 0.4959797 |
| MM-M | -0.6457143 | -3.465364 | 2.173935 | 0.9292786 |
|
Sample ID |
Sampling site | Week of collection | RVA qPCR |
HAdV qPCR |
HAdV cPCR | GenBank Accession no. (HAdV) |
% nucleotide Identity | |
|---|---|---|---|---|---|---|---|---|
| 1 | CB | 1 | Negative | Negative | Negative | |||
| 2 | MMP | 1 | positive | Positive | Positive | PP341455 | 99.30 | |
| 3 | KSP | 1 | positive | Positive | Positive | |||
| 4 | MP | 1 | positive | Positive | Positive | PP341456 | 98.31 | |
| 5 | CB | 2 | Negative | Negative | Negative | |||
| 6 | MMP | 2 | Negative | Positive | Positive | PP341457 | 98.92 | |
| 7 | KSP | 2 | positive | Positive | Positive | PP341458 | 98.85 | |
| 8 | MP | 2 | Negative | Positive | Positive | |||
| 9 | CB | 3 | positive | Positive | Positive | PP341459 | 99.01 | |
| 10 | MMP | 3 | Positive | Positive | Positive | PP341460 | 98.62 | |
| 11 | KSP | 3 | Positive | Positive | Positive | PP341461 | 99.53 | |
| 12 | MP | 3 | Positive | Positive | Positive | |||
| 13 | CB | 4 | Positive | Positive | Positive | |||
| 14 | MMP | 4 | Positive | Positive | Positive | PP341462 | 98.48 | |
| 15 | KSP | 4 | Positive | Positive | Positive | PP341463 | 99.03 | |
| 16 | MP | 4 | Negative | Positive | Positive | |||
| 17 | CB | 5 | Positive | Positive | Positive | |||
| 18 | MMP | 5 | Positive | Positive | Positive | PP341464 | 99.03 | |
| 19 | KSP | 5 | Negative | Positive | Positive | PP341465 | 98.68 | |
| 20 | MS | 5 | Positive | Positive | Positive |
Disclaimer/Publisher’s Note: The statements, opinions and data contained in all publications are solely those of the individual author(s) and contributor(s) and not of MDPI and/or the editor(s). MDPI and/or the editor(s) disclaim responsibility for any injury to people or property resulting from any ideas, methods, instructions or products referred to in the content. |
© 2024 by the authors. Licensee MDPI, Basel, Switzerland. This article is an open access article distributed under the terms and conditions of the Creative Commons Attribution (CC BY) license (http://creativecommons.org/licenses/by/4.0/).