Submitted:
08 March 2024
Posted:
11 March 2024
You are already at the latest version
Abstract
Keywords:
1. Introduction
2. Numerical Theory
2.1. Basis Equations for Fluid-Structure Interaction
2.2. Theory of Internal Solitary Wave
3. Modeling and Validations
3.1. ISW Numerical Tank and Submersible Model
3.2. Numerical Validations
4. Results and Discussions
4.1. Dynamic Responses of the Suspended Submersible under ISW
4.2. The Effect of the Initial Suspended Depth on the Motion Response of the Suspended Submersible
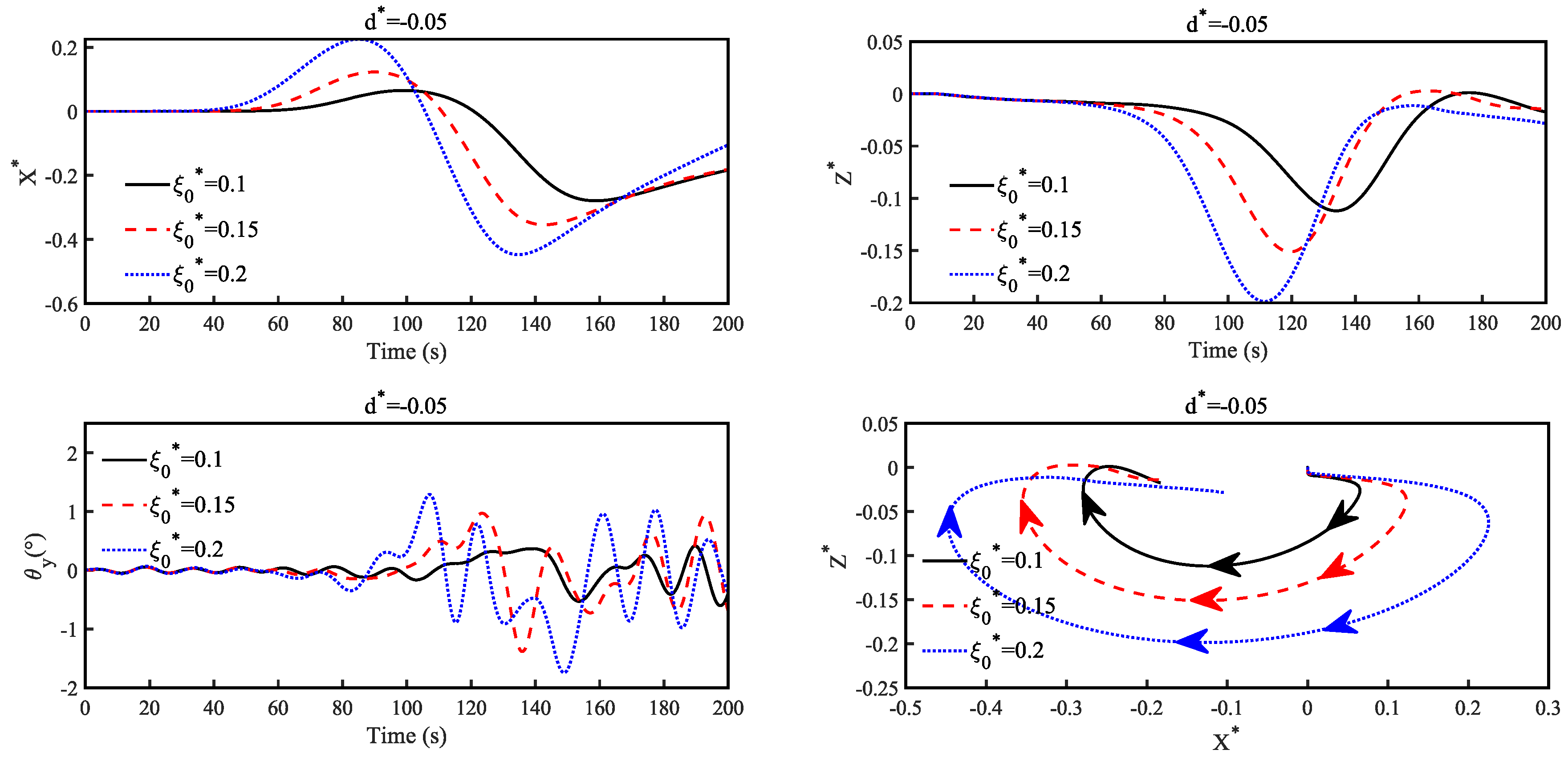
4.3. The Effect of the Wave Amplitude on the Motion Response of the Suspended Submersible
5. Conclusion
- (1)
- While the suspended submersible encounters the ISW fluid filed, the motions of the submersible in the x-o-z plane significantly changes. The submersible always drifts with the nearby ISW surface, gradually dives to the amplitude and then floats quickly under the action of the fluid field. During the whole motion process, the submersible does not penetrate the wave surface. Moreover, the change in the pitch angle is not significant due to the action of its own stability.
- (2)
- The initial submerged depth of the submersible is a key factor determining the motion response mode: the submersible located at the wave interface and upper fluid layer () continues to moves for a large distance along the propagation direction of ISW. The motion trajectory of the submersible immersed in the upper layer () is similar to an unclosed clockwise ellipse while that of the submersible at wave interface () is similar to a “V” shape; The submersible located at the lower layer fluid () undergoes directional change movements for twice in the longitudinal direction under the action of the flow field and its motion trajectory shaped like an unclosed ellipse clockwise.
- (3)
- For the submersible located at the same medium ( or ), the longitudinal motion is almost unaffected by its initial suspended depth. However, the amplitude of the surge motion slightly increases with the distance to the interface decreases, which is completely consistent with the vertical distribution characteristics of the horizontal velocity in the ISW flow field; The amplitude of the heave motion decreases as the vertical distance from submersible to the wave interface increases. The submersible located at pycnocline () always adheres to the wave surface, and the inclination angle in the pitch direction changes significantly with the fluctuation of the wave surface.
- (4)
- The amplitude of ISW only influences the planar motion amplitude of the submersible and does not determine its natural motion characteristic. The motion responses of the submersible increase with the increase of the amplitude of ISW. Especially for the heave direction, the amplitude of the submersible even increases proportionally with the increase of the amplitude of ISW. Besides, the influence of amplitude of the ISW acting on the pitch motion of the submersible is not significant.
Author Contributions
Funding
Institutional Review Board Statement
Informed Consent Statement
Data Availability Statement
Conflicts of Interest
References
- Garrett, C.; Munk, W. Internal waves in the ocean. Annual review of fluid mechanics 1979, 11, 339–369. [Google Scholar] [CrossRef]
- Osborne, A.R.; Burch, T.L. Internal solitons in the Andaman Sea. Science 1980, 208, 451–460. [Google Scholar] [CrossRef] [PubMed]
- Ebbesmeyer, C.; Coomes, C.A.; Hamilton, R. , et al. New observations on internal waves (solitons) in the South China Sea using an acoustic Doppler current profiler, Mar. Technol. Soc. J. 1991, 91, 165–175. [Google Scholar]
- Vlasenko, V.; Stashchuk, N.; Guo, C.; et al. Multimodal structure of baroclinic tides in the South China Sea. Nonlinear Processes in Geophysics 2010, 17, 529–543. [Google Scholar] [CrossRef]
- Huang,X. ; Chen,Z.; Zhao, W.; et al. An extreme internal solitary wave event observed in the northern South China Sea. Sci. Rep 2016, 6, 30041. [Google Scholar] [CrossRef]
- Zhang, M.; Hu, H.H.; Du, P.; et al. Detection of an internal solitary wave by the underwater vehicle based on machine learning, Phys. Fluids 2022, 34, 115137. [Google Scholar] [CrossRef]
- Gong, Y.; Xie, J.; Xu, J.; et al. Oceanic ISWs at the Indonesian submersible wreckage site, Acta Oceanol. Sin 2022, 41, 109–113. [Google Scholar]
- Wang, T.; Huang, X.D.; Zhao, W.; Zheng, S.H.; Yang, Y.C.; Tian, J.W. Internal Solitary Wave Activities near the Indonesian Submarine Wreck Site Inferred from Satellite Images. J. Mar. Sci. Eng. 2022, 10, 197. [Google Scholar] [CrossRef]
- Chen, M.; Chen. K.; You. Y. Experimental investigation of internal solitary wave forces on a semi-submersible. Ocean Eng 2017, 141, 205–214. [Google Scholar] [CrossRef]
- Chen, M.; Chen, J.; You, Y.X. Forces on a semi-submersible in internal solitary waves with different propagation directions. Ocean Eng 2020, 217, 107864. [Google Scholar] [CrossRef]
- Cui, J.; Dong, S.; Wang, Z.; et al. Experimental research on internal solitary waves interacting with moored floating structures. Mar. Struct 2019, 67, 102641. [Google Scholar] [CrossRef]
- Wang, S.D.; Wei, G.; Du, H.; et al. Experimental investigation of the wave-flow structure of an oblique internal solitary wave and its force exerted on a slender body. Ocean Eng, 2020, 201, 107057. [Google Scholar] [CrossRef]
- Wang, S.D.; Du, H.; Wei, G.; et al. Effects of the inhomogeneous vertical structure of an internal solitary wave on the force exerted on a horizontal transverse cylinder. Phys. Fluids 2023, 35. [Google Scholar] [CrossRef]
- Cui, J.; Dong, S.; Wang, Z.; et al. Kinematic response of submerged structures under the action of internal solitary waves. Ocean Eng 2020, 196, 106814. [Google Scholar] [CrossRef]
- Cui, J.; Dong, S.; Wang, Z.; et al. Experimental study on motion response of a submersible spherical model under the action of internal solitary wave propagating over a ridge topography. Ocean Eng 2022, 258, 111700. [Google Scholar] [CrossRef]
- Cai, S.; Long, X.; Gan, Z. A method to estimate the forces exerted by internal solitons on cylindrical piles. Ocean Eng 2003, 30, 673–689. [Google Scholar] [CrossRef]
- Cai, S.; Wang, S.; Long, X. A simple estimation of the force exerted by internal solitons on cylindrical piles. Ocean Eng 2006, 33, 974–980. [Google Scholar] [CrossRef]
- Cai, S.; Long, X.; Wang, S. Forces and torques exerted by internal solitons in shear flows on cylindrical piles. App Ocean Res 2008, 30, 72–77. [Google Scholar] [CrossRef]
- Feng, K.; Yao, Z.; Hu, F.; et al. Motion simulation of submersible passing through internal solitary wave, Chi. J. Hydrodyn. 2022, 37, 467–473. [Google Scholar]
- Liu, X.; Gou, Y.; Teng, B. Research on the Trajectory and Gesture of A Slender Submarine Undergoing Significant Motion Under the Action of Internal Solitary Waves. Chi. J. Acta Armamentarii 2023, 1–12. [Google Scholar]
- Liu, M.; Wei, G.; Sun, Z. Motion response of a horizontal slender submerged ellipsoid induced by head-on interfacial solitary waves. In Proceedings of the 30th National Hydrodynamics Symposium and the 15th National Hydrodynamics Academic Conference, 2019:247-254.
- Wang, J.; et al. An Iterative Updating Method for Dynamic Responses of a Floating Platform Under Action of Internal Solitary Waves. International Conference on Offshore Mechanics and Arctic Engineering. Vol. 58769. American Society of Mechanical Engineers, 2019.
- Cheng, Si. yuan, et al. The influence of internal solitary wave on semi-submersible platform system including mooring line failure. Ocean Eng 2022, 258, 111604. [Google Scholar] [CrossRef]
- Li, J.; Zhang, Q.; Chen, T. Numerical Investigation of internal solitary wave forces on submersibles in continuously stratified fluids, J. Mar. Sci. Eng. 2021, 9, 1374. [Google Scholar] [CrossRef]
- He, G.; Xie, H.; Zhang, Z.; et al; et al. , Numerical Investigation of internal solitary wave forces on a moving submersible, J. Mar. Sci. Eng. 2022, 10, 1020. [Google Scholar] [CrossRef]
- Ding, W.; Sun, H.; Zhao, X.; et al. Numerical study of the interaction between an internal solitary wave and a submerged extended cylinder using OpenFOAM. Ocean Eng 2023, 274, 113985. [Google Scholar] [CrossRef]
- Cheng, L.; Du, P.; Hu, H.; et al. Control of underwater suspended vehicle to avoid ‘falling deep’ under the influence of internal solitary waves. Ships and Offshore Structures 2023, 1–19. [Google Scholar] [CrossRef]
- Wang J, He Z, Xie B, et al. Numerical investigation on the interaction between internal solitary wave and self-propelled submersible. Phys. Fluids 2023, 35. [Google Scholar]
- Wang, C.; Wang, J.; Liu, Q.; et al. Dynamics and “falling deep” mechanism of submerged floating body under internal solitary waves. Ocean Eng 2023, 288, 116058. [Google Scholar] [CrossRef]
- Chen, H.C.; Patel, V.C.; Ju, S. Solutions of Reynolds-averaged Navier-Stokes equations for three-dimensional incompressible flows. J. Sci. Comput. Phys 1990, 88, 305–336. [Google Scholar] [CrossRef]
- Yakhot, V.; Orszag, S. Renormalization group analysis of turbulence. I. Basic theory. J. Sci. Comput. 1986, 1, 3–51. [Google Scholar] [CrossRef]
- Wang, Junrong, et al. Dynamic analysis and swing suppression method of a “Mooring-HLC-Cargo” coupled system. Ocean Eng 2024, 295, 116840. [Google Scholar] [CrossRef]
- Gertler, M.; Hagen, G.R. Standard equations of motion for submersible simulation, NSRDC Report 2510 (2020).
- He, G.; Zhang, C.; Xie, H.; et al. The Numerical Simulation of a Submarine Based on a Dynamic Mesh Method. J. Mar. Sci. Eng 2022, 10, 1417. [Google Scholar] [CrossRef]
- Yu, T.; Chen, X.; Tang, Y.; Wang, J.; Wang, Y.; Huang, S. Numerical modelling of wave run-up heights and loads on multi-degree-of-freedom buoy wave energy converters. Applied. Energy 2023, 344, 121255. [Google Scholar] [CrossRef]
- Koop, C.; Butle, G. An investigation of ISWs in a two-fluid system. J. Fluid Mech. 1981, 112, 225–251. [Google Scholar] [CrossRef]
- Kakutani, T.; Yamasaki, N. “Solitary waves on a two-layer fluid,” J. Phys. Soc. Jpn. 1978, 45, 674–679. [Google Scholar] [CrossRef]
- Kang, X.L.; Wang, J.R.; Xie, B.T.; He, Z.Y. Numerical Study on the Fluid Structure Interaction of internal Solitary Waves and a Spar-Type FOWT. J. Ocean. Uni. Chi 2023, 53, 98–105. [Google Scholar]
- Groves, N.; Huang, T.; Chang, M. Geometric characteristics of DARPA (Defense Advanced Research Projects Agency) SUBOFF models (DTRC model numbers 5470 and 5471), David Taylor Research Center Bethesda MD Ship Hydromechanics Dept (1989).
- Liu, H.; Huang, T. Summary of DARPA SUBOFF experimental program data, Naval Surface Warfare Center Carderock Div Bethesda MD Hydromechanics Directorate (1998).
- Sukas, O.F.; Kinaci, O.K.; Cakici, F.; et al. Hydrodynamic assessment of planing hulls using overset grids. Appl Ocean Res 2017, 65, 35–46. [Google Scholar] [CrossRef]




















| Velocity(kn) | Numerical Results (N) | Experimental Results (N) | Relative Error (%) |
| 10 | 282 | 284 | -0.704 |
| 11.85 | 387 | 389 | -0.514 |
| 13.92 | 526 | 527 | -0.190 |
| 16 | 680 | 676 | 0.592 |
| 17.79 | 827 | 821 | 0.731 |
| Position | Distance to pycnocline () | Density() |
| Upper fluid | 0.1 | 998 |
| 0.05 | 998 | |
| Pycnocline | 0 | 1013 |
| Lower fluid | -0.05 | 1025 |
| -0.15 | 1025 | |
| -0.25 | 1025 | |
| -0.35 | 1025 | |
| -0.45 | 1025 |
| Position | ) | ) |
|---|---|---|
| Upper layer fluid | 0.05 | 0.1 |
| 0.15 | ||
| 0.2 | ||
| Lower layer fluid | 0.05 | 0.1 |
| 0.15 | ||
| 0.2 |
Disclaimer/Publisher’s Note: The statements, opinions and data contained in all publications are solely those of the individual author(s) and contributor(s) and not of MDPI and/or the editor(s). MDPI and/or the editor(s) disclaim responsibility for any injury to people or property resulting from any ideas, methods, instructions or products referred to in the content. |
© 2024 by the authors. Licensee MDPI, Basel, Switzerland. This article is an open access article distributed under the terms and conditions of the Creative Commons Attribution (CC BY) license (http://creativecommons.org/licenses/by/4.0/).
