Submitted:
01 March 2024
Posted:
01 March 2024
You are already at the latest version
Abstract
Keywords:
1. Introduction
2. Attitude Control System Model
2.1. Calculation of Desired Attitude for Target Tracking Based on Image Feedback
2.2. Reaction Wheel Model
2.3. Microsatellite Attitude Model
3. High-Precision Attitude Adaptive Integral Sliding Mode - Tracking Control Algorithm Based on Feedforward Compensation Disturbance Observer
3.1. Design of Feedforward Compensation Disturbance Observer
3.2. Design of Adaptive Integral Sliding Mode Variable Structure Controller
4. Simulation Results and Analysis
5. Conclusions
- The designed disturbance observer can accurately estimate the flywheel's friction torque. Specifically, a larger parameter and a smaller parameter make the observer less sensitive to abrupt changes in frictional force.
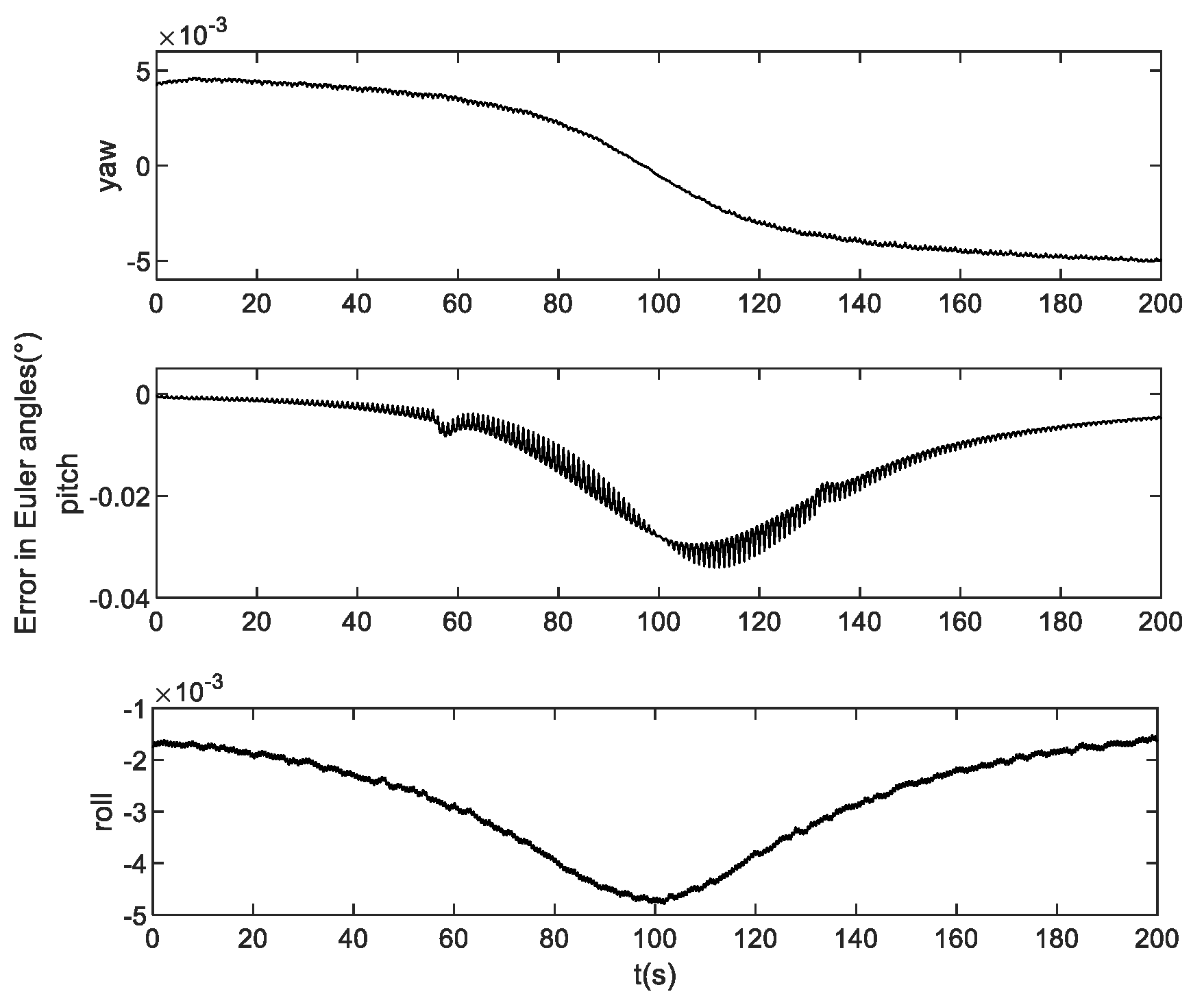
- Under the simulation conditions of this paper, with the existence of flywheel friction torque and external disturbance torque, the designed controller ensures Euler angle precision of 0.009° and angular velocity control accuracy of 0.005°/s during the process of tracking high-speed moving targets validating the effectiveness of the proposed algorithm.
Author Contributions
Funding
Data Availability Statement
Conflicts of Interest
References
- AF Pei, Wenjing.” Staring Imaging Attitude Tracking Control Laws for Video Satellites Based on Image Information by Hyperbolic Tangent Fuzzy Sliding Mode Control” Computational Intelligence and Neuroscience. [CrossRef]
- Huang, XW, Dong, ZY, Zhang, K, Zhang, F and Zhang, LH Approximation-Free Attitude Fault-Tolerant Tracking Control of Rigid Spacecraft with Global Stability and Appointed Accuracy. IEEE Transactions on Aerospace and Electronic Systems. [CrossRef]
- Zhang Gaowang, S. Qiu, and F. Wang. "Adaptive Fuzzy Fault-Tolerant Control of Flexible Spacecraft with Rotating Appendages." International Journal of Fuzzy Systems, 25.1(2023):326-337. [CrossRef]
- Wu, Shunan, et al. "Robust attitude maneuver control of spacecraft with reaction wheel low-speed friction compensation." Aerospace Science & Technology, 2015:213-218. [CrossRef]
- Fan, Shaoyan, et al. "Quick-response attitude takeover control using multiple servicing spacecraft based on inertia properties identification." Advances in Space Research: The Official Journal of the Committee on Space Research(COSPAR) (2022). [CrossRef]
- Yu, Xiang, et al. "Antidisturbance Controllability Analysis and Enhanced Antidisturbance Controller Design with Application to Flexible Spacecraft." IEEE Transactions on Aerospace and Electronic Systems 57-5(2021). [CrossRef]
- He, Tongfu, and Z. Wu. "Iterative Learning Disturbance Observer Based Attitude Stabilization of Flexible Spacecraft Subject to Complex Disturbances and Measurement Noises." IEEE/CAA Journal of Automatica Sinica 008.009(2021):P.1576-1587. [CrossRef]
- He, Tongfu, and Z. Wu. "Neural network disturbance observer with extended weight matrix for spacecraft disturbance attenuation." Aerospace Science and Technology, Jul.(2022):126. [CrossRef]
- Chen, Zhaoyue, H. Zhang, and B. Xiao. " Appointed-time nonsingular sliding mode control of spacecraft attitude stabilization." IET Control Theory and Applications. [CrossRef]
- Xiao, B, Wu, XW, Cao, L and Hu, XX Prescribed Time Attitude Tracking Control of Spacecraft with Arbitrary Disturbance. IEEE Transactions on Aerospace and Electronic Systems. [CrossRef]
- Cao, Lei Ding, Zhengtao. "Event-triggered anti-disturbance attitude control for rigid spacecrafts with multiple disturbances." International Journal of Robust and Nonlinear Control, 31.2(2021). [CrossRef]
- Qiao, Jianzhong, et al. "Composite Nonsingular Terminal Sliding Mode Attitude Controller for Spacecraft with Actuator Dynamics Under Matched and Mismatched Disturbances." IEEE Transactions on Industrial Informatics, (2020). [CrossRef]
- Xiao, Bing, L. Cao, and D. Ran. "Attitude Exponential Stabilization Control of Rigid Bodies via Disturbance Observer." IEEE Transactions on Systems, Man, and Cybernetics: Systems PP.99(2019):1-9. [CrossRef]
- Eshghi, Samira, and R. Varatharajoo. "Singularity-Free Integral-Augmented Sliding Mode Control for Combined Energy and Attitude Control System." Advances in Space Research 59.2(2016):631-644. [CrossRef]
- Van, Mien. "Higher-order terminal sliding mode controller for fault accommodation of Lipschitz second-order nonlinear systems using fuzzy neural network." Applied Soft Computing 104.4(2021):107186. [CrossRef]
- Mazare, Mahmood, M. Taghizadeh, and P. Ghaf-Ghanbari. "Fault-tolerant control based on adaptive super-twisting nonsingular integral-type terminal sliding mode for a delta parallel robot." Journal of the Brazilian Society of Mechanical Sciences and Engineering 42.8(2020):1-15. [CrossRef]
- Yang, YX, Chen, M, Peng, KX and Yu, M. Adaptive Sliding Mode Fault-tolerant Control for Attitude Tracking of Spacecraft with Actuator Faults. International Journal of Control Automation and Systems. [CrossRef]
- Lu K, Xia Y, Zhu Z, et al. Sliding mode attitude tracking of rigid spacecraft with disturbances. Journal of the Franklin Institute, 2012, 349(2):413-440. [CrossRef]
- Gao S, Jing Y, Liu X, et al. Finite-time attitude-tracking control for rigid spacecraft with actuator failures and saturation constraints. International Journal of Robust and Nonlinear Control, 2019, 30(2). [CrossRef]
- Wu Y D, Wu S F, Gong D R, et al. Spacecraft Attitude Maneuver Using Fast Terminal Sliding Mode Control Based on Variable Exponential Reaching Law. International Conference on Aerospace System Science and Engineering. Springer, Singapore, 2019. [CrossRef]
- Wang C, Xia H, Wang Y, et al. Discrete-time Sliding Mode Control with Adaptive Reaching Law via Implicit Euler Method. International Journal of Control, Automation, and Systems, 2023. [CrossRef]
- Ma H, Xiong Z, Li Y, et al. Sliding Mode Control for Uncertain Discrete-Time Systems Using an Adaptive Reaching Law. IEEE Transactions on Circuits and Systems II: Express Briefs, 2020. [CrossRef]
- Wang Z, Li Q, Li S. Adaptive Integral-Type Terminal Sliding Mode Fault Tolerant Control for Spacecraft Attitude Tracking. IEEE Access, 2019:35195-35207. [CrossRef]
- Wang, Jie, Y. S. Hu, and W. Ji. "Barrier Function-Based Adaptive Integral Sliding Mode Finite-time Attitude Control for Rigid Spacecraft." Nonlinear Dynamics :1-16. [CrossRef]










| Parameter | Value |
|---|---|
| Maximum torque | 0.4 |
| Maximum angular velocity | ±5000 |
| Moment of inertia | 0.025 |
| Viscous friction coefficient | 0.0000318 |
| Coulomb friction torque | 0.0040 |
| Maximum static friction torque | 0.0055 |
| Empirical coefficient | 2 |
| Maximum torque | 0.4 |
| Maximum angular velocity | ±5000 |
| Moment of inertia | 0.025 |
| Set 1 | Set 2 | Set 3 | Set 4 | |
|---|---|---|---|---|
| -0.5 | -2 | -1 | -1 | |
| 0.03 | 0.03 | 0.01 | 0.06 |
Disclaimer/Publisher’s Note: The statements, opinions and data contained in all publications are solely those of the individual author(s) and contributor(s) and not of MDPI and/or the editor(s). MDPI and/or the editor(s) disclaim responsibility for any injury to people or property resulting from any ideas, methods, instructions or products referred to in the content. |
© 2024 by the authors. Licensee MDPI, Basel, Switzerland. This article is an open access article distributed under the terms and conditions of the Creative Commons Attribution (CC BY) license (http://creativecommons.org/licenses/by/4.0/).