Preprint
Article

This version is not peer-reviewed.

On Gohar Fractional Calculus

A peer-reviewed article of this preprint also exists.

Submitted:

24 February 2024

Posted:

29 February 2024

You are already at the latest version

Abstract
Recently, Gohar et al. introduced a novel, local, and well-behaved fractional calculus. It possesses all the classical properties, and Its locality imposes simplicity and accuracy in modeling fractional order systems. In this article, we further develop the definitions and extend the classical properties of Gohar fractional calculus to address some of the open problems in Calculus. The fractional Gronwall's integral inequality, Taylor power series expansion, and Laplace transform are defined and applied to overcome some of the limitations in the classical integer-order calculus. The fractional Laplace transform is applied to solve Bernoulli-type logistic and Bertalanffy nonlinear fractional differential equations, and the criteria under which it can be applied to solve linear differential equations are investigated.
Keywords: 
;  ;  ;  ;  

1. Introduction

Over the last two decades, the impact of fractional calculus in both theoretical and practical domains of science and engineering has grown substantially [1,2,3]. The dynamical behaviors can be more precisely modeled and investigated within the framework of fractional calculus, as fractional-order models of dynamical systems retain the memory of their earlier states [4], thereby offering a more accurate and realistic description of their dynamical behavior. Until recently, many real-world applications of fractional calculus have been confined to the well-known Riemann-Liouville and Caputo fractional derivatives [5]. While these fractional derivatives offer certain desirable advantages, such as memory storage and hereditary effects in natural phenomena, their "non-local" integral definitions, which involve weakly singular kernels, give rise to theoretical limitations and computational complexities. Among these limitations, we highlight their failure to satisfy some basic properties such as the product rule, quotient rule, and chain rule. In addition, they do not meet Rolle’s theorem or the mean value theorem.
Beyond these limitations, A. A. Gohar et al. [6] have recently introduced a novel, simple, and well-behaved fractional calculus that preserves all the aforementioned basic properties and theorems, which makes it a promising mathematical tool for modeling fractional-order systems. Some functions are not differentiable in the classical sense, while others do not have Taylor power series expansions over the neighborhood of certain points. However, as we shall see, all of these constraints can be broken within the context of Gohar fractional calculus. In this article, we aim to develop new definitions and properties of Gohar fractional calculus to fill in some gaps in the integer-order Calculus and broaden its scope of application.
The article is organized as follows: In Section 2, the left and right Gohar fractional derivatives and integrals of higher fractional orders α > 1 are defined, the sequential fractional derivative is introduced, and the Gronwall integral inequality is extended into the Gohar fractional domain. Furthermore, the relationship between Gohar and Riemann-Liouville fractional integrals is examined, and the interaction between Gohar fractional derivatives and integrals is discussed. Finally, section 2 concludes with the partial Gohar fractional derivative of a function with several variables. In Section 3, the fractional power series expansion is defined, and the series expansions for some functions that do not have Taylor power series expansion in classical calculus are obtained. In Section 4, the Gohar fractional Laplace transform is defined and applied to solve the Bernoulli-type logistic and Bertalanffy nonlinear fractional differential equations. Furthermore, the Validity of applying the Gohar fractional Laplace transform to solve linear fractional differential equations is investigated and discussed in detail.

2. Definitions, theorems, and further properties

2.1. Gohar Fractional Derivatives

Definition 2.1.1.
The “left” Gohar fractional derivative of a function f : [ a , ) R of order 0 < α 1 denoted by G α a f ( x ) , is defined by
G α a f x = lim Δ x 0 1 Δ x f x + l n 1 + Δ x Γ ( η ) Γ ( η α + 1 ) x a α x a f ( x ) ,
and the “right” Gohar fractional derivative of f : ( , b ] R of order 0 < α 1 denoted by G α   f x ,   b is defined by
G α   f x   b = lim Δ x 0 1 Δ x f x + l n 1 + Δ x Γ ( η ) Γ ( η α + 1 ) b x α b x f ( x ) ,
for η R + .
If f : [ a , ) R is G α a -differentiable on a , , and lim x a + G α a f x exists, then G α a f a = lim x a + G α a f x . Similarly, If f : [ , b ) R is G α b -differentiable on , b , and lim x b G α b f x exists, then G α b f b = lim x b G α b f x .
For a = 0 we write G α f x to denote the Gohar fractional derivative of f .
Lemma 2.1.1.
Let f : [ a , ) R and g : ( , b ] R be differentiable functions on a , and , b , respectively. Then we have
G α a f x = Γ ( η ) Γ ( η α + 1 ) x a 1 α f ( x ) ,
G α     b g x = Γ η Γ η α + 1 b x 1 α g x .
Proof. 
With the aid of Maclaurin series expansion for the logarithmic function
l n 1 + Δ x Γ ( η ) Γ ( η α + 1 ) x a α   = Δ x Γ η Γ η α + 1 x a α + O Δ x 2 ,
we have
G α a f x = lim Δ x 0 1 Δ x f x + Δ x Γ η Γ η α + 1 x a 1 α + O Δ x 2 f ( x ) ,
and the result (2.3) is obtained with the substitution h = Δ x Γ η Γ η α + 1 x a 1 α + O Δ x 2 . The relation for the right derivative (2.4) can be obtained by following the same argument.
Corollary 2.1.1.
Assume that f , φ : [ a , ) R are G α a -differentiable functions on a , . If f is differentiable and
G α a f x = Γ ( η ) Γ ( η α + 1 ) x a 1 α φ x ,
then φ x = f ' x , x > a .
Proof. 
The result is a direct consequence of (2.3).
We define the “left” nth-sequential Gohar fractional derivative of order 0 < α 1 as
G α a n f x = G α a G α a G α a G α a n t i m e s f x ,
and the “right” nth-sequential Gohar fractional derivative of order 0 < α 1 as
G α n b f x = G α     b G α     b G α     b G α     b n t i m e s f x .
Definition 2.1.2.
For α n , n + 1 , n Z + and β = α n . The “left” Gohar fractional derivative of the n times differentiable function f : [ a , ) R of order α , denoted by G α a f x , is defined by
          G α a f x = G β a f ( n ) x ,
and the “right” Gohar fractional derivative of the n times differentiable function f : [ , b ) R of order α , denoted by G α     b f x , is defined by
        G α     b f x = ( 1 ) n + 1 G β   f ( n ) x   b .
If f : [ a , ) R is G α a -differentiable on a , , and lim x a + G α a f x exists, then G α a f a = lim x a + G α a f x . Similarly, If f : [ , b ) R is G α b -differentiable on , b , and lim x b G α b f x exists, then G α b f b = lim x b G α b f x .
Now, let us extend Lemma 2.1.1 for α n , n + 1 , n Z + .
Lemma 2.1.2.
Let f : [ a , ) R and g : [ , b ) R be differentiable functions on a , and , b , respectively. Then for α n , n + 1 , n Z + and β = α n we have
G α a f x = Γ ( η ) Γ ( η α + n + 1 ) x a n + 1 α f ( n + 1 ) ( x ) ,
G α     b g x = 1 n Γ η Γ η α + n + 1 b x n + 1 α g ( n + 1 ) x .
Proof. 
The results are obtained by substituting (2.3) and (2.4) into (2.9) and (2.10), respectively.
For α = n + 1 , (2.11) and (2.12) reduce to G α a f x = f ( n + 1 ) ( x ) and G α b g x = ( 1 ) n g ( n + 1 ) x , respectively.
Theorem 2.1.1.
Let  f , g : [ a , ) R  be  G α a -differentiable functions on  a , . Then for  x > a ,   g ( x ) 0  we have
G α a f g x = Γ η α + 1 Γ η ( g x a ) α 1 G α a f g x G α a g x .
Proof. 
Since f   a n d   g are G α a -differentiable functions on a , . Then their composition f g is G α a -differentiable on a , and its left Gohar fractional derivative is given by
G α a f g x = lim Δ x 0 1 Δ x [ f g x + l n 1 + Δ x Γ η Γ η α + 1 x a α x a f g x ] = lim Δ x 0 1 Δ x [ f g x + Δ x Γ η Γ η α + 1 x a α + O Δ x 2 f g x ] ,
where we used the Maclaurin series expansion of the logarithmic function (5).
By taking ξ = x + Δ x Γ η Γ η α + 1 x a α + O Δ x 2 , with the aid of the continuity of g , we proceed as follows
G α a f g x = Γ η Γ η α + 1 x a 1 α lim ξ x f g ξ f g x ξ x = Γ η Γ η α + 1 x a 1 α l i m g ξ g x f g ξ f g x g ξ g x l i m ξ x g ξ g x ξ x = Γ η α + 1 Γ η · g x a α 1 · Γ η Γ η α + 1 g x a 1 α l i m g ξ g x f g ξ f g x g ξ g x · Γ η Γ η α + 1 x a 1 α l i m ξ x g ξ g x ξ x = Γ η α + 1 Γ η ( g x a ) α 1 G α a f g x G α a g x .
Theorem 2.1.2.
Let  f : [ a , ) R  be a non-constant two times differentiable function on  a ,  and  α , β 0,1  such that  α + β 1,2 .  Then
G α a G β a f x = Γ η Γ η β + 1 [ Γ η α + β + 2 Γ η α + 1 G α + β a f x + 1 β x a β G α a f x ] .
Proof. 
With the aid of (2.3) and the Gohar fractional product rule in [9], we have
G α a G β a f x = G α a Γ η Γ η β + 1 x a 1 β f x = Γ η Γ η α + 1 Γ η β + 1 ( x a ) 1 α d d x Γ η Γ η β + 1 x a 1 β f x = Γ η 2 Γ η α + 1 Γ η β + 1 x a 1 α [ x a 1 β f x + 1 β x a β f x ] = Γ η Γ η α + β + 2 Γ η α + 1 Γ η β + 1 Γ η Γ η α + β + 2 x a 2 α + β f x + Γ η Γ η β + 1 1 β x a β Γ η Γ η α + 1 x a 1 α f x = Γ η Γ η β + 1 Γ η α + β + 2 Γ η α + 1 G α + β a f x + 1 β x a β G α a f x .
Theorem 2.1.2.
reveals the non-commutativity of the Gohar fractional operator for  α β ,  as we can obviously see that
G β a G α a f x = Γ η Γ η α + 1 Γ η α + β + 2 Γ η β + 1 G α + β a f x + 1 α x a α G β a f x G α a G β a f x .
Also, it is obvious that G α a G β a f x G α + β a f x for α , β 0,1 and the equality holds for 0 < α 1 , β = 1 .
In the following definition, we introduce the partial derivative of a function of several variables in the Gohar fractional sense; such a derivative is useful for modeling a wide variety of physical phenomena via partial fractional differential equations
Definition 2.1.3.
Let f : R n R be a function of n variables x 1 , x 2 , x 3 , , x n . The partial Gohar fractional derivative of f of order 0 < α 1 with respect to the variable x k , denoted by G α ; x k f , is defined by
G α ; x k f = lim h 0 1 h [ f ( x 1 , x 2 , , x k 1 , x k + l n 1 + h Γ η Γ η α + 1 x k α x k , x k + 1 , , x n ) f ( x 1 , x 2 , , x n ) ] ,
where 1 k n , n N ; η R + .
Lemma 2.1.3.
Let f : R n R be a function of n variables x 1 , x 2 , x 3 , , x n whose first partial derivative f x k , 1 k n exists and continuous over D R n . Then
G α ; x k f x 1 , x 2 , x k , , x n = Γ η Γ η α + 1 x k 1 α x k f x 1 , x 2 , x k , , x n .
Proof. 
With the aid of Maclaurin series expansion for the logarithmic function (5), we have
G α ; x k f = lim h 0 1 h [ f x 1 , x 2 , , x k 1 , x k + h Γ η Γ η α + 1 x k 1 α + O h 2 , x k + 1 , , x n f ( x 1 , x 2 , , x n ) ] ,
and the result follows directly by taking ε = h Γ η Γ η α + 1 x k 1 α + O h 2 .

2.2. Gohar Fractional Integrals

Definition 2.2.1.
The “left” Gohar fractional integral of a function f : [ a , ) R of order 0 < α 1 , denoted by T a α f x , is defined by
T a α f x = Γ η α + 1 Γ η a x f t d t t a 1 α ,   η R + ,
and the “right” Gohar fractional integral of f : [ , b ) R of order 0 < α 1 , denoted by T   α b   f x , is defined by
T   α b   f x = Γ η α + 1 Γ η x b f t d t b t 1 α ,   η R + .
Theorem 2.2.1
(Fundamental theorem of Gohar fractional calculus). Let  f : [ a , ) R  be a continuous function. Then for  x > a  we have
G α a T a α f x = f x ,
T a α G α a f x = f x f a ,
and for the continuous function f : [ , b ) R we have
G α     b T   α b   f x = f x ,
T   α b   G α     b f x = f x f b ,
for 0 < α 1 , η R + .
Proof. 
In view of (2.17) and (2.3), we have
G α a T a α f x = G α a Γ η α + 1 Γ η a x f t d t t a 1 α = Γ ( η ) Γ ( η α + 1 ) x a 1 α d d x Γ η α + 1 Γ η a x f t d t t a 1 α = f x ,
T a α G α a f x = Γ η α + 1 Γ η a x G α a f x d t t a 1 α = Γ η α + 1 Γ η a x Γ ( η ) Γ ( η α + 1 ) t a 1 α f t d t t a 1 α = f x f a .
In a similar manner we can prove the other two relations for the right fractional derivatives and integrals.
Definition 2.2.2.
The Gohar fractional exponential function E α , η a : a , R , is defined by
E α , η a λ , x = e x p λ · Γ η α + 1 Γ η · x a α α ,
where λ R , 0 < α 1 , η R + .
From the above definition we conclude that E 1 , η 0 λ , x = e λ x , from which we obtain the hyperbolic sine and cosine functions as follows:
sinh x = 1 2 E 1 , η 0 λ , x E 1 , η 0 λ , x   a n d cosh x = 1 2 E 1 , η 0 λ , x + E 1 , η 0 λ , x .
Definition 2.2.3.
A function f : a , R is said to be Gohar exponentially bounded if it meets the following inequality
f x Λ · E α , η a λ , x , x a , ,
where 0 < α 1   a n d   λ , Λ , η R + .
Integral inequalities are essential for the qualitative analysis of solutions to differential and integral equations. By extending the Gronwall integral inequality into the Gohar fractional domain, we get a mathematical tool for analyzing the stability of Gohar fractional systems.
Lemma 2.2.1.
Let φ be a nonnegative, continuous function over x [ a , b ) for b , and λ , μ be nonnegative constants such that:
φ x = λ + μ · Γ η α + 1 Γ η a x φ t d t t a 1 α .
Then
φ x λ · E α , η a μ , x .
Proof. 
Let us define Q x = λ + μ · Γ η α + 1 Γ η a x φ t d t t a 1 α = λ + μ T a α φ x , such that Q a = λ and Q x φ x , x a , b . Then
G α a Q x μ Q x = μ φ x μ Q x μ φ x μ φ x = 0 .
Multiplying both sides by the Gohar fractional exponential function E α , η a μ , x , and applying the product rule in [8], we get
G α a E α , η a μ , x Q x Q x G α a E α , η a μ , x μ Q x E α , η a μ , x 0 .
Provided that G α a E α , η a μ , x = μ E α , η a μ , x , the inequality above reduces to
G α a E α , η a μ , x Q x 0 ,
and (2.20) implies that
T a α G α a E α , η a μ , x Q x = E α , η a μ , x Q x E α , η a μ , a Q a = E α , η a μ , x Q x λ 0 ,
which implies that
φ x Q x λ E α , η a μ , x = λ · E α , η a μ , x .
The next Definition extends the left and right Gohar fractional integrals to higher fractional orders α n , n + 1 , n Z + .
Definition 2.2.4.
The “left” Gohar fractional integral of f : [ a , ) R of order α n , n + 1 , n Z + , denoted by T a α f x , is defined by
T a α f x = Γ η β + 1 Γ η Ι a n + 1 x a β 1 f x = Γ η β + 1 Γ η Γ n + 1 a x x t n f t d t t a 1 β ,
and the “right” Gohar fractional integral of f : [ , b ) R of order α n , n + 1 , n Z + , denoted by T   α b   , is defined by
T   α b   f x = Γ η β + 1 Γ η Ι   n + 1 b   b x β 1 f x = Γ η β + 1 Γ η Γ n + 1 x b t x n f t d t b t 1 β ,
where η R + , β = α n ,   Ι a α   a n d Ι   α b   are the “left” and “right” Riemann-Liouville fractional integrals [7], of order α > 0 , respectively, defined by
Ι a α f x = 1 Γ α a x f t d t x t 1 α ,
Ι   α b   f x = 1 Γ α x b f t d t t x 1 α .
Notice that if α = n + 1 , then β = 1 and we have
T a n + 1 f x = 1 Γ n + 1 a x x t n f t d t ,
T   n + 1 b   f x = 1 Γ n + 1 x b t x n f t d t ,
which is, via Cauchy formula, the n + 1 times iterative integrals of f . It is worth mentioning the effect of the Q operator on the left Riemann-Liouville fractional integral: Q Ι a α f x = Ι   α b   Q f x . Accordingly, by means of (2.27) we get
Q T a α f x = Γ η β + 1 Γ η Q Ι a n + 1 x a β 1 f x = Γ η β + 1 Γ η Ι   n + 1 b   b x β 1 Q f x = T   α b   Q f x .
The following semigroup property relates the Gohar fractional integral operators T a α T a β and T a α + β .
Theorem 2.2.2.
Assume that  f : [ a , ) R  is a function and  α , β 0,1  such that  α + β 1,2 .  Then for  x > a we have
T a α T a β f x = Γ η β + 1 β Γ η { x a β T a α f x + Γ η α + 1 [ T a α + β f x Γ η α + β + 2 x a Γ η a x f t d t t a 2 α + β ] } .
Proof. 
With the fact that
T a α + β f x = Γ η α + β + 2 Γ η Ι a 2 x a α + β 2 f x = Γ η α + β + 2 Γ η a x x t f t d t t a 2 α + β ,
we interchange the order of integrals to get
T a α T a β f x = Γ η α + 1 · Γ η β + 1 Γ η 2 a x a s f t d t t a 1 α d s s a 1 β = Γ η α + 1 · Γ η β + 1 Γ η 2 a x f t t x d s s a 1 β d t t a 1 α = Γ η α + 1 · Γ η β + 1 Γ η 2 a x f t x a β β t a β β d t t a 1 α = x a β β · Γ η β + 1 Γ η T a α f x + Γ η α + 1 · Γ η β + 1 β Γ η T a α + β f x Γ η α + β + 2 x a Γ η a x f t d t t a 2 α + β = Γ η β + 1 β Γ η { x a β T a α f x + Γ η α + 1 T a α + β f x Γ η α + β + 1 x a Γ η a x f t d t t a 2 α + β } .
Notice that as α , β 1 , we have T a 1 T a 1 f x = T a 2 f x . Now, let us introduce the generalized version of Theorem 2.2.1.
Theorem 2.2.3
Let  f : [ a , ) R  be a function such that  f n x  is continuous. Then, for x > a , α n , n + 1 , n Z + , β = α n , η R + . we have
G α a T a α f x = f x ,
T a α G α a f x = f x k = 0 n f k a x a k k ! ,
and for the function f : [ , b ) R whose nth derivative is continuous, we have
G α     b T   α b   f x = f x ,
T   α b   G α     b f x = f x k = 0 n 1 k f k b b x k k ! .
Proof. 
By means of (2.9) and (2.27), we get
G α a T a α f x = G β a d n d x n T a α f x = Γ η β + 1 Γ η Γ n + 1 G β a d n d x n a x x t n f t d t t a 1 β = G β a Γ η β + 1 Γ η a x f t d t t a 1 β = G β a T a β f x = f x .
T a α G α a f x = Γ η β + 1 Γ η Ι a n + 1 x a β 1 G α a f x = Γ η β + 1 Γ η Γ n + 1 a x x t n G α a f t d t t a 1 β = Γ η β + 1 Γ η Γ n + 1 a x x t n G β a f n t d t t a 1 β = Γ η β + 1 Γ η Γ n + 1 a x x t n t a 1 β Γ η Γ η β + 1 f n + 1 t d t t a 1 β = Ι a n + 1 f n + 1 x = f x k = 0 n f k a x a k k ! ,
where we used the integration by parts. A similar argument can be followed to prove the relations for the right fractional derivatives and integrals.
Note that if n = 0 , then T a α G α a f x = f x f a and T α b G α b f x = f x f b .

3. Gohar Fractional Power Series Expansions

Certain functions that lack infinite differentiability at some points do not possess a Taylor power series expansion at those points. In this section, we proceed to develop the Gohar fractional power series expansions to ensure the existence of fractional power series expansions for these functions at such points.
Theorem 3.1.
Let  f x  be an infinitely  G α x 0 -differentiable function on the neighborhood of a point  x 0 . Then, for  0 < α 1 ,  the Gohar fractional power series expansion of  f  is defined by
f x = k = 0 Γ η α + 1 α Γ η k G α x 0 k f x 0 x x 0 α k k ! ,
where x 0 < x < x 0 + R 1 α , R > 0 , η R + .
Proof. 
Let us expand f as an infinite power series of the form
f x = i = 0 c i x x 0 i α , x 0 < x < x 0 + R 1 α , R > 0 .
Consequently,
f x 0 = c 0 G α x 0 f x 0 = α Γ η Γ η α + 1 c 1 c 1 = Γ η α + 1 α Γ η G α x 0 f x 0 G α x 0 2 f x 0 = α Γ η Γ η α + 1 2 · 2 c 2 c 2 = Γ η α + 1 α Γ η 2 G α x 0 2 f x 0 2 . . . G α x 0 n f x 0 = α Γ η Γ η α + 1 n · n ! c n c n = Γ η α + 1 α Γ η n G α x 0 n f x 0 n ! .
Example 3.1.
The Gohar fractional exponential function E α , η x 0 λ , x is not classically differentiable at x = x 0 , and so it does not possess a Taylor power series expansion on the neighborhood of x 0 for 0 < α 1 . However, G α x 0 k f x 0 = λ k f o r   a l l   k , which means that f can be expanded in the Gohar fractional sense as
E α , η x 0 λ , x = k = 0 λ · Γ η α + 1 α Γ η k x x 0 α k k ! .
The ratio test confirms the convergence of the series above to f over x x 0 , .
Example 3.2.
The fractional trigonometric functions f x = s i n x x 0 α   and g x = c o s x x 0 α are not classically differentiable at x = x 0 , and so they do not possess a Taylor power series expansion over the neighborhood of x 0 for 0 < α 1 . However
G α x 0 f x = α Γ η Γ η α + 1 g x   a n d   G α x 0 g x = α Γ η Γ η α + 1 f x ,
and hence
s i n x x 0 α = k = 0 1 k x x 0 2 k + 1 α 2 k + 1 ! ,     x x 0 , ,  
c o s x x 0 α = k = 0 1 k x x 0 2 k α 2 k ! ,                         x x 0 , .
Example 3.3.
Consider the initial value problem
G α a f x = λ f x ,     f x 0 = f 0
whose solution is differentiable over x 0 , .
Applying the left Gohar fractional integral to both sides of (3.5), we get
f x = f 0 + λ T a α f x ,
And hence
f n + 1 x = f 0 + λ T a α f n x ,         n = 0,1 , 2 ,
For n = 0 , we have
f 1 x = f 0 + λ f 0 Γ η α + 1 α Γ η x x 0 α = f 0 1 + λ Γ η α + 1 α Γ η x x 0 α ,
for n = 1 , we have
f 2 x = f 0 1 + λ Γ η α + 1 α Γ η x x 0 α + λ 2 Γ η α + 1 α Γ η 2 · x x 0 2 α 2 .
By means of Mathematical induction, the solution to (45) is given by
f n x = f 0 k = 0 n λ Γ η α + 1 α Γ η k · x x 0 k α k ! .
As n , the obtained solution is expressed in terms of the Gohar fractional exponential function (2.23) as follows
f n x = f 0 k = 0 λ Γ η α + 1 α Γ η k · x x 0 k α k ! = f 0 E α , η x 0 λ , x .
For α = 1 the solution (3.7) reduces to f x = f 0 E 1 , η x 0 λ , x = f 0 e   λ ( x x 0 ) , which is compatible with the exact solution of (3.5) at α = 1 .

4. Gohar Fractional Laplace Transform

4.1. Basic Definitions and Results

Definition 4.1.1.
Let f : [ t 0 , ) R be a real-valued function. Then the Gohar fractional Laplace transform of f of order 0 < α 1 , denoted by L α t 0 f t , is defined by
L α t 0 f t = F α t 0 S = Γ η α + 1 Γ η t 0 E α , η S , t f t d t t t 0 1 α   ,
provided the integral exists, where t 0 R , η R + .
Lemma 4.1.1.
Let f : [ t 0 , ) R be twice differentiable real-valued function. Then its Gohar fractional Laplace transform satisfies the following relations:
L α t 0 G α t 0 f t = S L α t 0 f t f t 0 ,
L α t 0 G α t 0 2 f t = S 2 L α t 0 f t S f t 0 G α t 0 f t 0 .
Proof. 
The result (3.9) can be obtained by applying (3.8) and (2.3) and using the integration by parts, while (3.10) is a direct consequence of (3.9).
The following Lemma highlights one of the most interesting results: the relation between the classical and the Gohar fractional Laplace transforms.
Lemma 4.1.2.
Let f : [ t 0 , ) R be a real-valued function such that L α t 0 f t = F α t 0 S exists. Then
    L α t 0 f t = F α t 0 S = L f α Γ η Γ η α + 1 t 1 + t 0 , 0 < α 1 ,
where
L f t = 0 e S t f t d t .
Proof. 
The result follows directly by taking the substitution x = Γ η α + 1 Γ η · t t 0 α α in (3.8).
Theorem 4.1.1.
Let  f , g : [ t 0 , ) R be real-valued functions and λ , μ , c R . Then, if F α t 0 S = L α t 0 f t and H α t 0 S = L α t 0 h t exist for S 0 ,   0 < α 1 , then
L α t 0 λ f t + μ h t = λ F α t 0 S + μ H α t 0 S , S > 0 ,
L α t 0 E α , η t 0 λ , t f t = F α t 0 S λ ,
L α t 0 Γ η α + 1 α Γ η n t t 0 n α f t = 1 n d n d S n F α t 0 S ,
L α t 0 f * h t = F α t 0 S · H α t 0 S , S > 0 ,
L α t 0 T t 0 α f t = F α t 0 S S , S > 0 .
Proof. 
The relations (3.13), (3.14), (3.15), and (3.16) are direct consequences of (3.11) and the properties of the classical Laplace transform, and for (3.17) we have
L α t 0 G α t 0 T t 0 α f t = F α t 0 S = S L α t 0 T t 0 α f t T t 0 α f t 0 = S L α t 0 T t 0 α f t ,
which implies that
L α t 0 T a α f t = F α t 0 S S , S > 0 ,
where G α t 0 T t 0 α f t = f t by (2.19) and L α t 0 G α t 0 T t 0 α f t = S L α t 0 T t 0 α f t T t 0 α f t 0 by (3.9) and T t 0 α f t 0 = 0 by (2.17).
Example 4.1.1.
In this example we obtain the Gohar fractional Laplace transform for some functions.
  • L α t 0 c = c S , c R , S > 0
  • L α t 0 E α , η t 0 λ , t = 1 S λ , S > λ
  • L α 0 t n = α Γ η Γ η α + 1 n α Γ n α + 1 S n α + 1 , n Z + , S > 0
  • L α 0 t n E α , η 0 λ , t = α Γ η Γ η α + 1 n α Γ n α + 1 S λ n α + 1 , n Z + , S > λ
  • L α t 0 E α , η t 0 λ , t s i n k Γ η α + 1 Γ η · t t 0 α α = k S λ 2 + k 2 , k R , S > λ .
Example 4.1.2
(The logistic model). Consider the nonlinear Gohar fractional logistic-type differential equation
G α f t = 1 E α , η 0 1 , t f t f t ,   0 < α 1 ,
Subject to the initial condition f 0 = f 0 = 1 2 .
With the transformation φ t = f t 1 , we can linearize (3.18) as follows
G α φ t = E α , η 0 1 , t φ t .
Applying the Gohar fractional Laplace transform to both sides we get
L α 0 G α φ t = L α 0 E α , η 0 1 , t φ t , S Φ α 0 S 2 = 1 S + 1 Φ α 0 S , Φ α 0 S = 1 S + 1 2 + 2 S + 1 .
Applying the inverse Gohar fractional Laplace transform to both sides, the solution to (3.18) is given by
f t = Γ η α + 1 α Γ η t α + 2 1 · E α , η 0 1 , t .
Example 4.1.3
(The Bertalanffy model). The nonlinear Gohar fractional Bertalanffy differential equation is defined as
G α f t = f t 2 3 f t ,   0 < α 1 ,
under the initial condition f 0 = f 0 .
With the transformation φ t = f t 1 3 , we can linearize (3.20) as follows:
G α φ t = 1 3 1 φ t , φ 0 = f 0 1 3 .
Applying the Gohar fractional Laplace transform to both sides we get
Φ α 0 S = 1 S + φ 0 1 S + 1 3 1 .
Applying the inverse Gohar fractional Laplace transform to both sides, we get
f t = 1 + f 0 1 3 1 · E α , η 0 1 3 , t 3 .

4.2. Validity of the Gohar Fractional Laplace Transform for Solving Linear Fractional Differential Equations

Now we shall investigate the validity of the Gohar fractional Laplace transform for solving linear fractional differential equations of the form
G α t 0 f t + P f t = ψ t , t t 0 , ; f a = f 0 ,
where f : t 0 , R , P R , a n d ψ : t 0 , R is a continuous function.
Theorem 4.2.1.
Let  f : t 0 , R  be a piecewise continuous Gohar exponentially bounded function. If  F α t 0 S = L α t 0 f t ,  then  F α t 0 S 0   a s   S .
Proof. 
The Gohar exponential boundedness of f implies the existence of λ , Λ 1 R + a n d   τ t 0 , such that f t Λ 1 · E α , η t 0 λ , t , t τ . Furthermore, the piecewise continuity of f on t 0 , τ implies its boundedness there; that is,   Λ 2 > 0   s u c h   t h a t   f t Λ 2 ,   t 0 t τ .
This means that f t Λ · E α , η t 0 λ , t , t t 0 , , where Λ = m a x Λ 1 , Λ 2 . Therefore,
Γ η α + 1 Γ η t 0 T E α , η t 0 S , t f t d t t t 0 1 α Γ η α + 1 Γ η t 0 T E α , η t 0 S , t f t d t t t 0 1 α Λ Γ η α + 1 Γ η t 0 T E α , η t 0 S + λ , t d t t t 0 1 α = Λ S λ Λ S λ E α , η t 0 S + λ , T .
As T , we have F α t 0 S Λ S λ , S > λ .
According to Theorem 4.2.1, the functions U S = c o s S , V S = S 2 ,   a n d   W S = e S S are not Gohar fractional Laplace transforms of any function f .
Theorem 4.2.2.
Let  f : t 0 , R  be a unique continuous solution to the linear fractional differential equation (4.1); if the forcing function ψ : t 0 , R  is continuous and Gohar exponentially bounded over its domain, then the solution  f t  and its Gohar fractional derivative  G α t 0 f t  are Gohar exponentially bounded and their Gohar fractional Laplace transform exist.
Proof. 
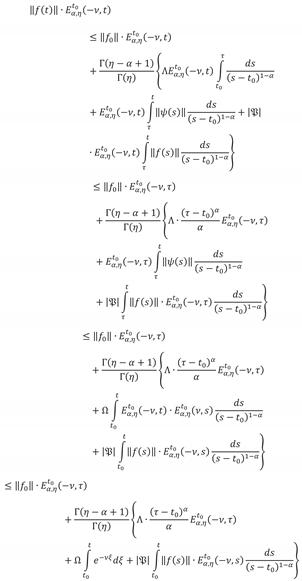
Since ψ t is Gohar exponential bounded over t 0 , , then there exist ν , Ω R + and sufficiently large τ t 0 , ,   such that ψ t Ω E α , η t 0 ν , t ,   t τ . Furthermore, f t is a solution to the Volterra integral equation
f t = f 0 + Γ η α + 1 Γ η t 0 t ψ s P f s d s s t 0 1 α .
For t τ , we can write it as
f t = f 0 + Γ η α + 1 Γ η t 0 τ ψ s P f s d s s t 0 1 α + τ t ψ s P f s d s s t 0 1 α .
The continuity of f t leads to the boundedness of ψ t P f t over t 0 , τ ; that is, Λ > 0 s u c h t h a t ψ t P f t Λ , t 0 t τ . Consequently we have
f t f 0 + Γ η α + 1 Γ η Λ t 0 τ d s s t 0 1 α + τ t ψ s d s s t 0 1 α + P τ t f s d s s t 0 1 α .
Multiplying both sides by the Gohar fractional exponential function E α , η t 0 ν , t and noting that E α , η t 0 ν , t E α , η t 0 ν , τ and ψ t Ω E α , η t 0 ν , t , t τ , we get
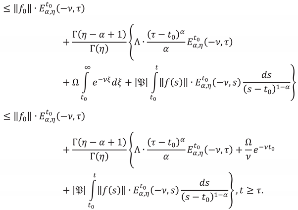
Preprints 99793 i001
Preprints 99793 i002
By taking
λ = f 0 · E α , η t 0 ν , τ + Γ η α + 1 Γ η Λ · τ t 0 α α E α , η t 0 ν , τ + Ω ν e ν t 0 ,
and
φ t = f t · E α , η t 0 ν , t , μ = P ,
we get the Gronwall integral inequality (2.25)
φ t = λ + μ · Γ η α + 1 Γ η t 0 t φ s d s s t 0 1 α , t τ .
In view of Lemma 2.2.1, we have
φ t λ E α , η t 0 μ , t ,
which implies that
f t λ E α , η t 0 μ + ν , t , t τ .
From (4.1), we get
G α t 0 f t P f t + ψ t λ P E α , η t 0 μ + ν , t + Ω E α , η t 0 ν , t , t τ .
This completes the proof.

5. Conclusions

In this work, we developed new definitions, fundamental theorems, and classical properties of Gohar fractional calculus. The left and right Gohar fractional derivatives and integrals are defined and extended to higher fractional orders. The fractional Gronwall's inequality, power series expansion, and Laplace transform are defined and applied to overcome some of the limitations in the classical integer-order calculus. The fractional Laplace transform is applied to solve the logistic and Bertalanffy nonlinear fractional differential equations. The fractional Gronwall inequality is used to demonstrate the exponential boundedness of the solutions to linear fractional differential equations, which validates the Gohar fractional Laplace transform for solving such equations. However, it is essential for the forcing function to be continuous and Gohar exponentially bounded.

Statements and Declarations

Author’s contributions:

A. A. Gohar: Conceptualization, Methodology, Writing-Original draft, Review & Editing. M. S. Younes: Conceptualization, Methodology, Writing- Review & Editing. S. B. Doma: Conceptualization, Methodology, Supervision, Review & Editing. All authors have read and agreed to the published version of the manuscript.

Data Availability Statement

This manuscript has no associated data.

Declaration of competing interest

The authors declare that they have no known competing financial interests or personal relationships that could have appeared to influence the work reported in this paper.

References

  1. M. Kumar, U. Mehta, and G. Cirrincione. Enhancing neural network classification using fractional-order activation functions. AI Open, 5: 10-22, (2024). [CrossRef]
  2. S. Maity, M. Saha, P. Saha and M. Khanra. Fractional calculus-based modeling and state-of-charge estimation of supercapacitor. Journal of Energy Storage, 81: 110317, (2024). [CrossRef]
  3. A. El Allati, S. Bukbech, K. El Anouz, and Z. El Allali. Entanglement versus Bell non-locality via solving the fractional Schrödinger equation using the twisting model. Chaos, Solitons & Fractals, 179: 114446, (2024). [CrossRef]
  4. L. C. D. Barros, M. M. Lopes, F. S. Pedro, E. Esmi, J. Paulo, C. Santos, D. E. Sánchez. The memory effect on fractional calculus: an application in the spread of COVID-19. Comp. Appl. Math, 40: 72, (2021). [CrossRef]
  5. C. Li, D. Qian, Y. Q. Chen. On Riemann-Liouville and Caputo Derivatives. Discrete Dyn. Nat. Soc, 2011: 562494, (2011). [CrossRef]
  6. A. A. Gohar, M. S. Younes, S. B. Doma. Gohar Fractional Derivative: Theory and Applications. J. Frac. Calc. & Nonlinear Sys, 4:17-34, (2023). [CrossRef]
  7. X. J. Yang, F. Gao, Y. Ju. Fractional derivatives with singular kernels, in: General Fractional Derivatives with Applications in Viscoelasticity, Academic Press, 2020, pp. 95-207. [CrossRef]
Disclaimer/Publisher’s Note: The statements, opinions and data contained in all publications are solely those of the individual author(s) and contributor(s) and not of MDPI and/or the editor(s). MDPI and/or the editor(s) disclaim responsibility for any injury to people or property resulting from any ideas, methods, instructions or products referred to in the content.
Copyright: This open access article is published under a Creative Commons CC BY 4.0 license, which permit the free download, distribution, and reuse, provided that the author and preprint are cited in any reuse.
Prerpints.org logo

Preprints.org is a free preprint server supported by MDPI in Basel, Switzerland.

Subscribe

Disclaimer

Terms of Use

Privacy Policy

Privacy Settings

© 2026 MDPI (Basel, Switzerland) unless otherwise stated