Submitted:
23 February 2024
Posted:
23 February 2024
You are already at the latest version
Abstract
Keywords:
1. Introduction
2. Materials and Methods
Statistical analyses
3. Results
3.1. Patients’ characteristics at baseline
![]() |
3.2. Benralizumab reduced exacerbations and inflammatory markers
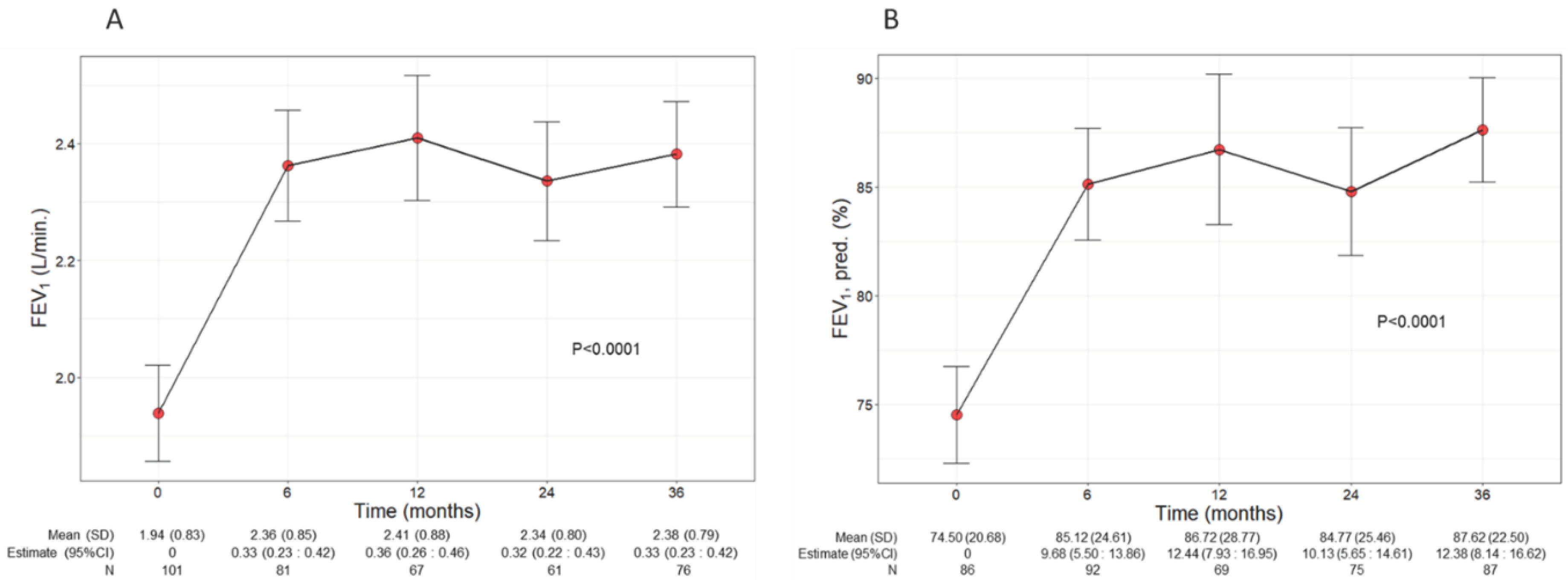
3.3. Benralizumab improved lung function
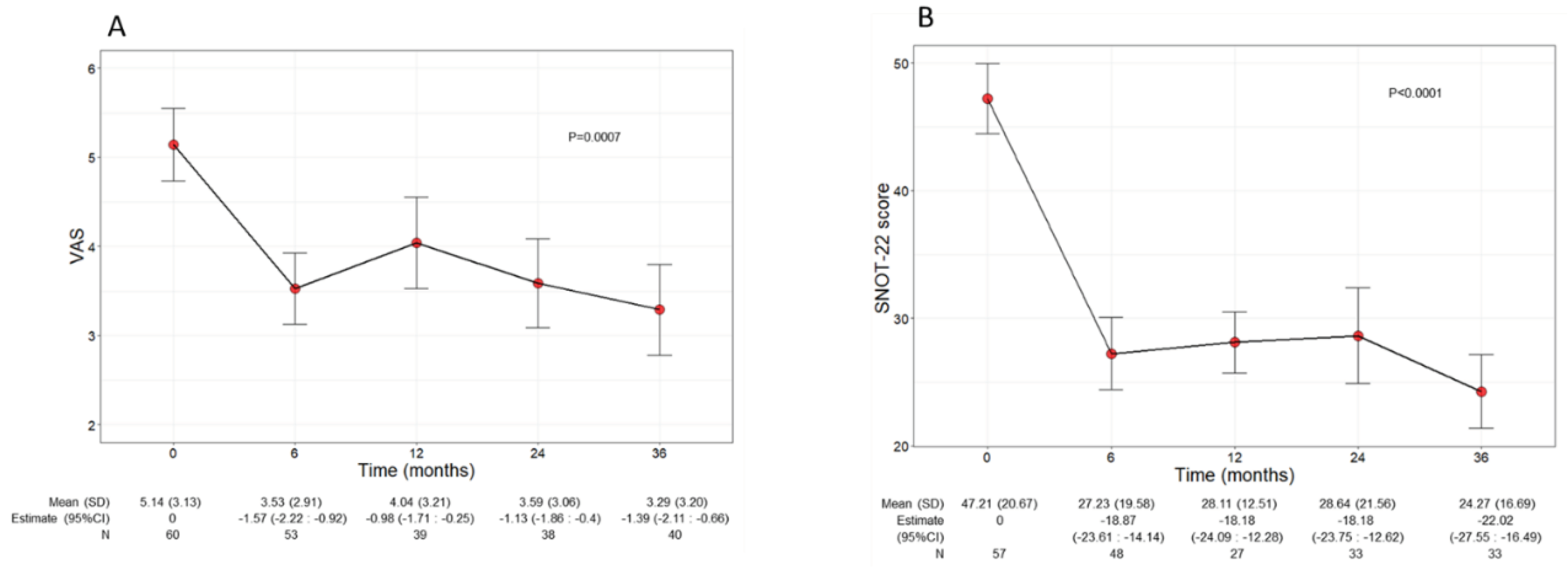
3.4. Benralizumab increased asthma control and QoL
3.5. Benralizumab alleviated sinonasal symptoms in comorbid patients
3.6. Benralizumab decreased the use of OCS
3.7. Benralizumab reduced the need for asthma background medication
3.8. Benralizumab promoted the achievement of CR
4. Discussion
Supplementary Materials
Author Contributions
Funding
Institutional Review Board Statement
Informed Consent Statement
Data Availability Statement
Acknowledgments
Conflicts of Interest
References
- Chung KF, Wenzel SE, Brozek JL, Bush A, Castro M, Sterk PJ, et al. International ERS/ATS guidelines on definition, evaluation and treatment of severe asthma. Eur Respir J. 2014;43:343–. [CrossRef]
- Hekking P-PW, Wener RR, Amelink M, Zwinderman AH, Bouvy ML, Bel EH. The prevalence of severe refractory asthma. J Allergy Clin Immunol. 2015;135:896–. [CrossRef]
- Bagnasco D, Paggiaro P, Latorre M, Folli C, Testino E, Bassi A, et al. Severe asthma: One disease and multiple definitions. World Allergy Organization Journal. 2021;14:. [CrossRef]
- Buhl R, Humbert M, Bjermer L, Chanez P, Heaney LG, Pavord I, et al. Severe eosinophilic asthma: a roadmap to consensus. Eur Respir J. 2017;49:. [CrossRef]
- Perez-de-Llano L, Tran TN, Al-ahmad M, Alacqua M, Bulathsinhala L, Busby J, et al. Characterization of Eosinophilic and Non-Eosinophilic Severe Asthma Phenotypes and Proportion of Patients with These Phenotypes in the International Severe Asthma Registry (ISAR). C21 ADVANCES IN ADULT AND PEDIATRIC ASTHMA PHENOTYPING AND ENDOTYPING. American Thoracic Society; p. A4525–A.
- Maio S, Baldacci S, Bresciani M, Simoni M, Latorre M, Murgia N, et al. RItA: The Italian severe/uncontrolled asthma registry. Allergy. 2018;73:683–. [CrossRef]
- Bakakos A, Loukides S, Bakakos P. Severe Eosinophilic Asthma. J Clin Med. 2019;
- de Groot JC, Ten Brinke A, Bel EHD. Management of the patient with eosinophilic asthma: a new era begins. ERJ Open Res. 2015;1:00024–.
- Heaney LG, Perez de Llano L, Al-Ahmad M, Backer V, Busby J, Canonica GW, et al. Eosinophilic and Noneosinophilic Asthma: An Expert Consensus Framework to Characterize Phenotypes in a Global Real-Life Severe Asthma Cohort. Chest. 2021;160:814–.
- Laidlaw TM, Mullol J, Woessner KM, Amin N, Mannent LP. Chronic Rhinosinusitis with Nasal Polyps and Asthma. The Journal of Allergy and Clinical Immunology: In Practice. 2021;9:1133–.
- Massoth L, Anderson C, McKinney KA. Asthma and Chronic Rhinosinusitis: Diagnosis and Medical Management. Medical Sciences. 2019;7:. [CrossRef]
- 2023 GINA MAIN REPORT. Available from: https://ginasthma.org/wp-content/uploads/2023/05/GINA-2023-Full-Report-2023-WMS.pdf.
- Price DB, Trudo F, Voorham J, Xu X, Kerkhof M, Ling Zhi Jie J, et al. Adverse outcomes from initiation of systemic corticosteroids for asthma: long-term observational study. J Asthma Allergy. 2018;11:193–. [CrossRef]
- Lee H, Ryu J, Nam E, Chung SJ, Yeo Y, Park DW, et al. Increased mortality in patients with corticosteroid-dependent asthma: a nationwide population-based study. Eur Respir J. 2019;54:. [CrossRef]
- Bourdin A, Molinari N, Vachier I, Pahus L, Suehs C, Chanez P. Mortality: a neglected outcome in OCS-treated severe asthma. Eur Respir J. 2017;50:. [CrossRef]
- Lommatzsch M, Brusselle GG, Levy ML, Canonica GW, Pavord ID, Schatz M, et al. A2BCD: a concise guide for asthma management. The Lancet Respiratory Medicine. 2023;11:573–. [CrossRef]
- Chen W, Tran TN, Sadatsafavi M, Murray R, Wong NCB, Ali N, et al. Impact of Initiating Biologics in Patients With Severe Asthma on Long-Term Oral Corticosteroids or Frequent Rescue Steroids (GLITTER): Data From the International Severe Asthma Registry. The Journal of Allergy and Clinical Immunology: In Practice. 2023;11:2732–. [CrossRef]
- Chen M, Shepard K 2nd, Yang M, Raut P, Pazwash H, Holweg CTJ, et al. Overlap of allergic, eosinophilic and type 2 inflammatory subtypes in moderate-to-severe asthma. Clin Exp Allergy. 2021;51:546–.
- Canonica GW, Blasi F, Carpagnano GE, Guida G, Heffler E, Paggiaro P, et al. Severe Asthma Network Italy Definition of Clinical Remission in Severe Asthma: A Delphi Consensus. The Journal of Allergy and Clinical Immunology: In Practice. 2023;S. [CrossRef]
- Lommatzsch M, Brusselle GG, Canonica GW, Jackson DJ, Nair P, Buhl R, et al. Disease-modifying anti-asthmatic drugs. The Lancet. 2022;399:1664–. [CrossRef]
- fasenra-epar-medicine-overview_en.pdf.
- Dagher R, Kumar V, Copenhaver AM, Gallagher S, Ghaedi M, Boyd J, et al. Novel mechanisms of action contributing to benralizumab’s potent anti-eosinophilic activity. Eur Respir J. 2022; [CrossRef]
- Caminati M, Bagnasco D, Vaia R, Senna G. New horizons for the treatment of severe, eosinophilic asthma: benralizumab, a novel precision biologic. Biologics. 2019;13:89–. [CrossRef]
- Menzella F, Biava M, Bagnasco D, Galeone C, Simonazzi A, Ruggiero P, et al. Efficacy and steroid-sparing effect of benralizumab: has it an advantage over its competitors? DIC. 2019;8:1–.
- Vultaggio A, Aliani M, Altieri E, Bracciale P, Brussino L, Caiaffa MF, et al. Long-term effectiveness of benralizumab in severe eosinophilic asthma patients treated for 96-weeks: data from the ANANKE study. Respir Res. 2023;24:. [CrossRef]
- Bergantini L, d’Alessandro M, Pianigiani T, Cekorja B, Bargagli E, Cameli P. Benralizumab affects NK cell maturation and proliferation in severe asthmatic patients. Clinical Immunology. 2023;253:. [CrossRef]
- Korn S, Bourdin A, Chupp G, Cosio BG, Arbetter D, Shah M, et al. Integrated Safety and Efficacy Among Patients Receiving Benralizumab for Up to 5 Years. J Allergy Clin Immunol Pract. 2021;9:4381-4392.e. [CrossRef]
- Vitale C, Maglio A, Pelaia C, D’Amato M, Ciampo L, Pelaia G, et al. Effectiveness of Benralizumab in OCS-Dependent Severe Asthma: The Impact of 2 Years of Therapy in a Real-Life Setting. JCM. 2023;12:. [CrossRef]
- Sposato B, Scalese M, Camiciottoli G, Carpagnano GE, Pelaia C, Santus P, et al. Severe asthma and long-term Benralizumab effectiveness in real-life. Eur Rev Med Pharmacol Sci. 2022;26:7461–. [CrossRef]
- Caminati M, Marcon A, Guarnieri G, Miotti J, Bagnasco D, Carpagnano GE, et al. Benralizumab Efficacy in Late Non-Responders to Mepolizumab and Variables Associated with Occurrence of Switching: A Real-Word Perspective. JCM. 2023;12:. [CrossRef]
- Fyles F, Nuttall A, Joplin H, Burhan H. Long-Term Real-World Outcomes of Mepolizumab and Benralizumab Among Biologic-Naive Patients With Severe Eosinophilic Asthma: Experience of 3 Years’ Therapy. The Journal of Allergy and Clinical Immunology: In Practice. 2023;11:2715–. [CrossRef]
- Risco M, Sotomayor J, Alvarez-Sala P, Piorno I, Diaz-Campos R, Moya B, et al. LONG-TERM EFFECTIVENESS AND SAFETY OF BENRALIZUMAB FOR UNCONTROLLED EOSINOPHILIC ASTHMA IN REAL-WORD PRACTICE. Journal of Allergy and Clinical Immunology. 2022;149:AB. [CrossRef]
- Numata T, Araya J, Okuda K, Miyagawa H, Minagawa S, Ishikawa T, et al. Long-Term Efficacy and Clinical Remission After Benralizumab Treatment in Patients with Severe Eosinophilic Asthma: A Retrospective Study. JAA. 2022;Volume 15:1731–. [CrossRef]
- Piano terapeutico AIFA per la prescrizione SSN di Fasenra (benralizumab) nell’asma grave eosinofilico refrattario [Internet]. Gazzetta Ufficiale della Repubblica Italiana; Available from: https://www.gazzettaufficiale.it/atto/serie_generale/caricaDettaglioAtto/originario?atto.dataPubblicazioneGazzetta=2019-02-12&atto.codiceRedazionale=19A00829&elenco30giorni=false.
- https://www.r-project.org/.
- Toma S, Hopkins C. Stratification of SNOT-22 scores into mild, moderate or severe and relationship with other subjective instruments. Rhin. 2016;54:129–.
- FitzGerald JM, Bleecker ER, Bourdin A, Busse WW, Ferguson GT, Brooks L, et al. Two-Year Integrated Efficacy And Safety Analysis Of Benralizumab In Severe Asthma. J Asthma Allergy. 2019;12:401–. [CrossRef]
- Nolasco S, Crimi C, Pelaia C, Benfante A, Caiaffa MF, Calabrese C, et al. Benralizumab Effectiveness in Severe Eosinophilic Asthma with and without Chronic Rhinosinusitis with Nasal Polyps: A Real-World Multicenter Study. J Allergy Clin Immunol Pract. 2021;9:4371-4380.e. [CrossRef]
- Lombardo N, Pelaia C, Ciriolo M, Della Corte M, Piazzetta G, Lobello N, et al. Real-life effects of benralizumab on allergic chronic rhinosinusitis and nasal polyposis associated with severe asthma. Int J Immunopathol Pharmacol. 2020;34:. [CrossRef]
- Bagnasco D, Brussino L, Bonavia M, Calzolari E, Caminati M, Caruso C, et al. Efficacy of Benralizumab in severe asthma in real life and focus on nasal polyposis. Respiratory Medicine. 2020;171:. [CrossRef]
- Santomasi C, Buonamico E, Dragonieri S, Iannuzzi L, Portacci A, Quaranta N, et al. Effects of benralizumab in a population of patients affected by severe eosinophilic asthma and chronic rhinosinusitis with nasal polyps: a real life study. Acta Biomedica Atenei Parmensis. 2023;94:e. [CrossRef]
- Kanda A, Kobayashi Y, Asako M, Tomoda K, Kawauchi H, Iwai H. Regulation of Interaction between the Upper and Lower Airways in United Airway Disease. Medical Sciences. 2019;7:. [CrossRef]
- Menzies-Gow A, Gurnell M, Heaney LG, Corren J, Bel EH, Maspero J, et al. Oral corticosteroid elimination via a personalised reduction algorithm in adults with severe, eosinophilic asthma treated with benralizumab (PONENTE): a multicentre, open-label, single-arm study. Lancet Respir Med. 2022;10:47–. [CrossRef]
- Jackson DJ, Heaney LG, Humbert M, Kent BD, Hiljemark L, Olinger L, et al. Late Breaking Abstract - SHAMAL: reduction of maintenance inhaled corticosteroids in patients with severe eosinophilic asthma treated with benralizumab: a randomised phase 4 study. Airway pharmacology and treatment [Internet]. European Respiratory Society; 2023 [cited 2023 Nov 12]. p. RCTAvailable from: http://erj.ersjournals.com/lookup/doi/10.1183/13993003.congress-2023.RCT798.
- Menzies-Gow A, Hoyte FL, Price DB, Cohen D, Barker P, Kreindler J, et al. Clinical Remission in Severe Asthma: A Pooled Post Hoc Analysis of the Patient Journey with Benralizumab. Adv Ther. 2022;39:2065–.
- Jackson D, Pelaia G, Padilla-Galo A, Watt M, Kayaniyil S, Boarino S, et al. Asthma Clinical Remission with Benralizumab in an Integrated Analysis of the Real-World XALOC-1 Study. Journal of Allergy and Clinical Immunology. 2023;151:AB. [CrossRef]
- Campisi R, Nolasco S, Pelaia C, Impellizzeri P, D’Amato M, Portacci A, et al. Benralizumab Effectiveness in Severe Eosinophilic Asthma with Co-Presence of Bronchiectasis: A Real-World Multicentre Observational Study. JCM. 2023;12:3953. [CrossRef]






| Extent of OCS reduction | Month 6 (n=64) | Month 12 (n=47) | Month 24 (n=43) | Month 36 (n=45) |
| Any reduction | 52 (81.25%) | 41 (87.23%) | 39 (90.7%) | 42 (93.33%) |
| ≥90 % | 39 (60.94%) | 34 (72.34%) | 34 (79.07%) | 38 (84.44%) |
| ≥75 % | 42 (65.62%) | 38 (80.85%) | 37 (86.05%) | 39 (86.67%) |
| ≥50 % | 50 (78.12%) | 41 (87.23%) | 38 (88.37%) | 42 (93.33%) |
| ≥25 % | 51 (79.69%) | 41 (87.23%) | 39 (90.7%) | 42 (93.33%) |
| No reduction | 12 (18.75%) | 6 (12.77%) | 4 (9.3%) | 3 (6.67%) |
| Elimination | 39 (60.94%) | 34 (72.34%) | 33 (76.74%) | 38 (84.44%) |
| Extent of OCS reduction | Month 6 (n=64) | Month 12 (n=47) | Month 24 (n=43) | Month 36 (n=45) |
| Any reduction | 52 (81.25%) | 41 (87.23%) | 39 (90.7%) | 42 (93.33%) |
| ≥90 % | 39 (60.94%) | 34 (72.34%) | 34 (79.07%) | 38 (84.44%) |
| ≥75 % | 42 (65.62%) | 38 (80.85%) | 37 (86.05%) | 39 (86.67%) |
| ≥50 % | 50 (78.12%) | 41 (87.23%) | 38 (88.37%) | 42 (93.33%) |
| ≥25 % | 51 (79.69%) | 41 (87.23%) | 39 (90.7%) | 42 (93.33%) |
| No reduction | 12 (18.75%) | 6 (12.77%) | 4 (9.3%) | 3 (6.67%) |
| Elimination | 39 (60.94%) | 34 (72.34%) | 33 (76.74%) | 38 (84.44%) |
![]() |
Disclaimer/Publisher’s Note: The statements, opinions and data contained in all publications are solely those of the individual author(s) and contributor(s) and not of MDPI and/or the editor(s). MDPI and/or the editor(s) disclaim responsibility for any injury to people or property resulting from any ideas, methods, instructions or products referred to in the content. |
© 2024 by the authors. Licensee MDPI, Basel, Switzerland. This article is an open access article distributed under the terms and conditions of the Creative Commons Attribution (CC BY) license (http://creativecommons.org/licenses/by/4.0/).

