Submitted:
21 February 2024
Posted:
22 February 2024
You are already at the latest version
Abstract
Keywords:
1. Introduction
2. Materials and Methods
2.1. Floristic and cenopopulation analyses
2.2. Assessment of plant resources
2.3. Statistical processing
3. Results and discussion
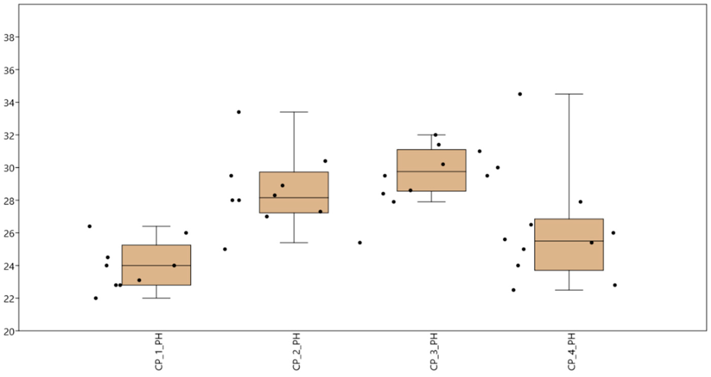
3.1. Structure of coenopopulations of Alhagi pseudalhagi
3.2. Floristic composition of A. pseudalhagi cenopopulations
3.3. Morphological differences between cenopopulations and resource potential of A. pseudalhagi
3.4. Resource potential of the cenopopulation A. pseudalhagi
4. Conclusions
Supplementary Materials
Author Contributions
Funding
Institutional Review Board Statement
Data Availability Statement
Acknowledgments
Conflicts of Interest
References
- Chen, X.; Jiang, F.Q.; Wang, Y.J.; Li, Y.M.; Hu, R.J. Characteristics of the Eco-geographical pattern in arid land of central Asia. Arid Zone Res. 2013, 30, 385–390. [Google Scholar]
- Sagyndykova, M.S.; Imanbayeva, A.A.; Ishmuratova, M.Yu.; Gassanova, G.G. Analysis of flora of the medicinal plants of the Atyrau region. Bulletin of the Karaganda University, series biology, medicine, geography, 2021, 1 (101), 67–73. [Google Scholar] [CrossRef]
- Grudzinskaya, L.M.; Gemedjieva, N.G.; Nelina, N.V.; Karzhaubekova, Zh. Annotated list of medicinal plants of Kazakhstan: a reference edition. Almaty, 2010, 200 p. (In Russian).
- Myrzagalieva, A.B. Comparative analysis of the species composition and resources of medicinal plants of the Kazakhstan Altai. Bulletin of KazNU, biological series, 2013, 2 (58), 3–9. [Google Scholar]
- Galaktionova, E.V. Medicinal plants included in the flora of the North Kazakhstan region. Studies in the natural sciences, 2012, 5. (In Russian).
- Nature's pharmacy, our treasure chest: why we must conserve our natural heritage. A native plant conservation campaign report. New-York, 2008. 19 p.
- Aidarkhanova, G.S.; Novak, A.P.; Imasheva, B.S.; Tashev, A. Evaluation of resources of medicinal plants in the forests of the Kazakhstan part of the Altai and their ecological state. Bulletin of Karaganda University, series Biology, Medicine, Geography, 2019, 3 (95), 73–79. [Google Scholar]
- Kotukhov, Yu.A.; Danilova, A.N.; Kubentaev, S.A. List of medicinal plants Kazakhstan Altai. Ridder, 2015, 70 p. (In Russian).
- Kubentayev, S.A.; Suleimenov, A.N.; Kotukhov, J.A.; Danilova, A.N.; Sumbembayev, A.A. Phytocenotic characteristics and stock of the main medicinal plants of the South-Western Altai (East Kazakhstan). Eurasian Journal of BioScience 2018, 12, 355–368. [Google Scholar]
- Patsaev, A.K.; Makhatov, B.K.; Kucherbaev, K.D.; Bukharbaeva, A.E.; Anes, A.T. The study of medicinal plants of southern Kazakhstan. Bulletin of the Kyrgyz State Medical Academy named after I.K. Akhunbaev 2017, 5, 96–97. [Google Scholar]
- Yerekeyeva, S.Zh.; Gemejiyeva, N.G.; Balan, I.M. Northern Tien Shan medicinal herbs. Journal LucrăriȘtiințifice Management Agricol. 2019, 20/3, 399. [Google Scholar]
- Ishmuratova, M.Y.; Murzalieva, G.T.; Kraschanovskaya, T.R.; Sivolobova, O.A.; Kaldybaeva, A.K.; Temireeva, K.S.; Tukubaeva, G.N.; Isina, J.A.; Amanzhan, A. Wild medicinal plants of Karaganda region. Monograph. Karaganda: Bolashak-Baspa, 2016, 205 p. (In Russian).
- Ishmuratova, M.Yu.; Zhunussova, M.A.; Tyrzhanova, S.S.; Silant'eva, M.M. Study of spreading and plant resources of herbs Scabiosa ochroleuca L. and Scabiosa isetensis L. on the territory of Karaganda region. Bulletin of the Karaganda University, series biology, medicine, geography 2020, 1 (97), 47–53. [Google Scholar] [CrossRef]
- Arezoo, A.; Younes, A.; Assadi, M.; Mehregan, I. Systematics of Alhagi: molecular phylogeny and morphology revisited. Rostaniha 2020, 21(2), 174–184. [Google Scholar] [CrossRef]
- Imanbayeva, A.A.; Duysenova, N.I.; Tuyakova, A.T. Resources of Mentha longifolia (L.) Huds. and Alhagi pseudoalhagi (M. Bieb.) Desv. in the territory of Mangystau region. Proceedings of National Academy of Science. Series Biol. & Med 2013, 4(298), 110–115. [Google Scholar]
- Sagyndykova, M.S.; Imanbayeva, A.A.; Ishmuratova, M.Y.; Gassanova, G.G. Analysis of medicinal flora of Atyrau region (preliminary study). Actual problems of biology and ecology: abstract of Republic Scientific Practical Conf. Karaganda: KarU, 2020, 38-39.
- Amini, M.H.; Ahmady, A.; Zhakfar, A.M.; Sediqi, M.N.; Babak, G. Preliminary Phytochemical Profile, in vitro Antioxidant and Sun Protective Activities of Alhagi pseudalhagiand Elaeagnus angustifolia L. Journal of Pharmaceutical Research International 2019, 12, 1–13. [Google Scholar] [CrossRef]
- State Pharmacopoeia of the Republic of Kazakhstan. Vol. 2. Almaty, 2009. 803 p. (In Russian).
- State Pharmacopoeia of the USSR. Issue XI. Moscow: Medicine, 1989. Vol. 2. 398 p.(In Russian).
- Srivastava, B.; Sharma, H.; Dey, H.S.; Wanjari, M.M.; Jadhav, A.D. Alhagi pseudoalhagi: a review of its phytochemistry, pharmacology, folklore claims and Ayurvedic studies. International Journal of Herbal Medicine 2014, 2(2), P. 47-51. [Google Scholar]
- Nishanbaev, S.Z.; Shamyanov, I.J.; Bobakulov, K.M.; Sagidullaev, Sh. Chemical composition and biological activity of metabolites of the genus Alhagi (review). Chemistry of plant raw materials 2019, 4, 5–28. [Google Scholar] [CrossRef]
- Xu, X.; Zhang, J.; Chen, L.; Sun, Yu.; Qing, D.; Xin, X.; Yan, Ch. Alhagi pseudalhagiExtract Exerts Protective Effects Against Intestinal Inflammation in Ulcerative Colitis by Affecting TLR4-Dependent NF-κB Signaling Pathways. Front. Pharmacol. 2021, 764602. [Google Scholar] [CrossRef] [PubMed]
- Paiheerding, M.; Rehebati, N.; Lu, Ch.; Hibaier, H.; Aytursun, A.; Abulimiti, Y. Extraction, purification, and characterization of polysaccharides from Alhagy pseudoalhagi with antioxidant and hypoglycemic activities. Process Biochemistry 2022, 121, 339–348. [Google Scholar] [CrossRef]
- Tavassoli, A.P.; Anushiravani, M.; Hoseine, S.M.; Nikakhtar, Z.; Baghdar, H.N.; Ramezani, M.; Ayati, Z.; Amiri, M.S.; Sahebkar, A.; Emami, S.A.; Sendmailto, E.S.A. Phytochemistry abd therapeutic effects of Alhagi spp. and Taganda bin in traditional and modern medicine: a review. Journal of herb Med Pharm. 2020, 9(2), 86–104. [Google Scholar] [CrossRef]
- Wei, F.; Yang, X.; Pang, K.; Tanh, H. Traditional uses, chemistry, pharmacology, toxicology and quality control of Alhagi sparsifoliaShap.: a review. Frontiers in Pharmacology 2021, 1214, 761811. [Google Scholar] [CrossRef]
- Janalieva, K.M.; Budnikova, T.I.; Veselov, E.N. Physical Geography of the Republic of Kazakhstan. Almaty: Kazak University, 1998, 266 p. (In Russian).
- Karshibaev, H. K. Reproduction characteristics of some species Alhagi Gagnev. in the arid zones of Uzbekistan. Arid ecosystems 2014, 20, 2 (59), 97–104. [Google Scholar]
- Kubentayev, S.A.; Zhumagul, M.Zh.; Kurmanbayeva, M.S.; Alibekov, D.T.; Kotukhov, Yu.A.; Sitpayeva, G.T.; Mukhtubayeva, S.K.; Izbastina, K.S. Current state of population of Rhodiola rosea L. (Crassulaceae) in East Kazakhstan. Botanical Studies 2021, 62 (19), 20 p. [Google Scholar] [CrossRef]
- Zhivotovsky, L.A. Typification of plant population on the basis of their ontogenetic spectra. Contemporary Problems of Ecology 2023, 16, 265–273. [Google Scholar] [CrossRef]
- Kuanbay, Zh.I.; Abiyev, S.A.; Ishmuratova, M.Yu.; Admanova, G.B.; Kukenov, Zh.Zh.; Maksutbekova, G.T. The analysis of the Dongyztau chink flora (Aktobe region). EurAsian Journal of BioSciences 2020, 14(1), 249–254. [Google Scholar]
- Zhang, M. A review on the floristic phytogeography in arid northwestern China and Central Asia. Biodiversity Science 2017, 25(2), 147–155. [Google Scholar] [CrossRef]
- Abduraimov, O.S.; Li, W.; Shomurodov, H.F.; Feng, Y. the main medicinal plants in arid regions of Uzbekistan and their traditional use in folk medicine. Plants 2023, 12, 2950. [Google Scholar] [CrossRef]
- Orazov A, Myrzagaliyeva A, Mukhitdinov N, Tustubayeva S. Callus induction with 6-BAP and IBA as a way to preserve Prunus ledebouriana (Rosaceae), and endemic plant of Altai and Tarbagatai, East Kazakhstan. Biodiversitas Journal of Biological Diversity, 2022. 23(6): 3178–3184. [CrossRef]
- Orazov A, Yermagambetova M, Myrzagaliyeva A, Mukhitdinov N, Tustubayeva S, Turuspekov Y, Almerekova S. Plant height variation and genetic diversity between Prunus ledebouriana (Schlecht.) YY Yao and Prunus tenella Batsch based on using SSR markers in East Kazakhstan. PeerJ. 2024. 12:e16735. [CrossRef]
- Convention on Biological Diversity and the Nagoya Protocol: Intellectual Property Implications. United Nations: UNCTAD, 2014. 215 p.
- WHO Strategy for Traditional Medicine. 2014-2023.
- Myrzagaliyeva A, Seilkhan A, Takirova M, Mukhtubayeva S, Zhumagul M, Nursafina A, Bolgibayeva А, Makhambetov M. Morphological variability of the rare species Linaria cretacea in the conditions of the chalk hills in North-Western Kazakhstan. Caspian Journal of Environmental Sciences, 2023. 21 (5): 1273-1278. [CrossRef]
- Smirnova, O.V.; Zaugolnova, L.B.; Ermakova, I.M. Cenopopulation of Plants; Science Publishing House: Moscow, Russia, 1976; p. 217. [Google Scholar]
- Pavlov N.B. Flora Kazahstana [Flora of Kazakhstan]. 1956. Vol 1. Alma-Ata: AS Kazakh SSR, 347 p.
- Illiustrirovannyi opredelitel rastenii Kazakhstana [Illustrated determinant of plants of Kazakhstan]. AlmaAta: Nauka. 1972. Vol. 2. [in Russian].
- Kamelin, R.V. Key to Plants of Central Asia. A Critical Abstract of Flora; Science Publishing House: Leningrad, Russia, 2015; Volume 11. [Google Scholar]
- International Plant Names Index. Available online: www.ipni.org (accessed on 30 January 2024).
- Serebryakov, I.G. Ecological morphology of plants. Life forms of the overgrowths and conifers. Moscow: High School, 1982, 380 p. (In Russian).
- Shay, J.E.; Pennington, L.K.; Mandussi Montiel-Molina, J.A.; Toews, D.J.; Hendrickson, B.T.; Sextov, J.P. Rules of plants species ranges: application for conservation strategies. Frontiers in Ecology and Evolution, 2021, 9, 700962. [CrossRef]
- Kew Royal Botanical Garden. Plants of the World Online. Available online: www.powo.science.kew.org (accessed on 30 January 2024).
- Komarov, A.S.; Palenova, M.M.; Smirnova, O.V. The concept of discrete description of plant ontogenesis and cellular automata models of plant populations. Ecological Modeling 2003, 170, 427–439. [Google Scholar] [CrossRef]
- Fedorova, S.V. Methodological approaches in population botany and plant ecology. American Journal of BioScience 2020, 8(3), 73–90. [Google Scholar] [CrossRef]
- Elzinga, C.L.; Salzer, D.W.; Willoughby, J.W. Measuring & Monitoring plant populations. U.S. Nebraska, 2019, 497 p.
- Kuziev, R.K.; Sektimenko, V.E. Soils of Uzbekistan; Extremum Press Publishing House: Tashkent, Uzbekistan, 2009; p. 351. (In Russian) [Google Scholar]
- Kuziev, R.K.; Yuldashev, G.Y.U.; Akramov, I.A. Bonitization of Soils; The Way of Science Publishing House: Tashkent, Uzbekistan, 2004; p. 127. [Google Scholar]
- Joshi SP, Gupta VS, Aggarwal RK, Ranjekar PK, Brar DS. 2000. Genetic diversity and phylogenetic relationship revealed by inter simple sequence repeat (ISSR) polymorphism in the genus Oryza. Theoretical and Applied Genetics 100(8):1311–1320. [CrossRef]
- Rohlf F. 1998. NTSYSpc: numerical taxonomy and multivariate analysis system, Version 2.02. Setauket, New York: Exeter Software.






| Name | Geographical location | Coordinates | Height above sea level | Administrative location |
|---|---|---|---|---|
| Cenopopulation 1 | the vicinity of Imankara Mountain | 47°19'49"N 54°22'12"E | 370 m above sea level | Atyrau region, Zhylyoysky district |
| Cenopopulation 2 | Zhangyr river valley | 46°40'05"N 49°23'50"E | 281 m below sea level | Atyrau region, Kurmangazinsky district |
| Cenopopulation 3 | in the Coneu River valley | 46°40'00"N 49°23'50"E | 284 m below sea level | Atyrau region, Kurmangazinsky district |
| Cenopopulation 4 | described in Taisoigan sands | 48°49'23"N 53°44'36"E | 225 m above sea level | Atyrau region, Kzylkoginsky district |
| Name | Generative plant height, cm | Number of generative individualsper 1 m2, pcs. | Number of generative shoots per individual, pcs. |
|---|---|---|---|
| Cenopopulation 1 | 24.4±1.2 | 0.8±0.02 | 3.2±0.5 |
| Cenopopulation 2 | 28.3±1.3 | 2.6±0.03 | 5.6±0.8 |
| Cenopopulation 3 | 30.5±1.5 | 2.2±0.01 | 6.1±0.03 |
| Cenopopulation 4 | 26.2±1.4 | 0.5±0.02 | 2.9±0.4 |
| Number of cenopopulations | Area, ha | Yield, kg/ha | Operational reserve, tons | The volumeof possible raw material collecting, tons |
|---|---|---|---|---|
| Cenopopulation 1 | 96.0 | 2847 ± 180 | 273.30 | 136.65 |
| Cenopopulation 2 | 52.0 | 976 ± 42 | 50.76 | 25.38 |
| Cenopopulation 3 | 80.0 | 850 ± 94 | 68.04 | 34.02 |
| Cenopopulation 4 | 12.3 | 2148 ± 122 | 26.42 | 13.21 |
| Total | 240.3 | - | 418.52 | 209.26 |
Disclaimer/Publisher’s Note: The statements, opinions and data contained in all publications are solely those of the individual author(s) and contributor(s) and not of MDPI and/or the editor(s). MDPI and/or the editor(s) disclaim responsibility for any injury to people or property resulting from any ideas, methods, instructions or products referred to in the content. |
© 2024 by the authors. Licensee MDPI, Basel, Switzerland. This article is an open access article distributed under the terms and conditions of the Creative Commons Attribution (CC BY) license (http://creativecommons.org/licenses/by/4.0/).
